Jump to content

Rigorous definition of "Differential"

Featured Replies

First of all I want to clarify that I posted this question on many forums and Q&A websites so the chances of getting an answer will be increased. So don't be surprised if you saw my post somewhere else.
Now let's get started:


When it comes to definitions, I will be very strict. Most textbooks tend to define differential of a function/variable in a way like this:

--------------------------------------------------------------------------------

Let [latex]f(x)[/latex] be a differentiable function. By assuming that changes in [latex]x[/latex] are small, with a good approximation we can say:

[latex]\Delta f(x)\approx {f}'(x)\Delta x[/latex]

Where [latex]\Delta f(x)[/latex] is the changes in the value of function. Now if we consider that changes in [latex]f(x)[/latex] are small enough then we define differential of [latex]f(x)[/latex] as follows:

[latex]\mathrm{d}f(x):= {f}'(x)\mathrm{d} x[/latex]

Where [latex]\mathrm{d} f(x)[/latex] is the differential of [latex]f(x)[/latex] and [latex]\mathrm{d} x[/latex] is the differential of [latex]x[/latex].

--------------------------------------------------------------------------------

What bothers me is this definition is completely circular. I mean we are defining differential by differential itself. Although some say that here [latex]\mathrm{d} x[/latex] is another object independent of the meaning of differential but as we proceed it seems that's not the case:

First of all we define differential as [latex]\mathrm{d} f(x)=f'(x)\mathrm{d} x[/latex] then we deceive ourselves that [latex]\mathrm{d} x[/latex] is nothing but another representation of [latex]\Delta x[/latex] and then without clarifying the reason, we indeed treat [latex]\mathrm{d} x[/latex] as the differential of the variable [latex]x[/latex] and then we write the derivative of [latex]f(x)[/latex] as the ratio of [latex]\mathrm{d} f(x)[/latex] to [latex]\mathrm{d} x[/latex]. So we literally (and also by stealthily screwing ourselves) defined "Differential" by another differential and it is circular.

Secondly (at least I think) it could be possible to define differential without having any knowledge of the notion of derivative. So we can define "Derivative" and "Differential" independently and then deduce that the relation [latex]f'{(x)}=\frac{\mathrm{d} f(x)}{\mathrm{d} x}[/latex] is just a natural result of their definitions (using possibly the notion of limits) and is not related to the definition itself.

Though I know many don't accept the concept of differential quotient([latex]\frac{\mathrm{d} f(x)}{\mathrm{d} x}[/latex]) and treat this notation merely as a derivative operator([latex]\frac{\mathrm{d} }{\mathrm{d} x}[/latex]) acting on the function([latex]f(x)[/latex]) but I think that it should be true that a "Derivative" could be represented as a "Differential quotient" for many reasons. For example think of how we represent derivatives with the ratio of differentials to show how chain rule works by cancelling out identical differentials. Or how we broke a differential into another differential in the [latex]u[/latex]-substitution method to solve integrals. And it's especially obvious when we want to solve differential equations where we freely take [latex]\mathrm{d} x[/latex] and [latex]\mathrm{d} y[/latex] from any side of a differential equation and move it to any other side to make a term in the form of [latex]\frac{\mathrm{d} y}{\mathrm{d} x}[/latex], then we call that term "Derivative of [latex]y[/latex]". It seems we are actually treating differentials as something like algebraic expressions.

I know the relation [latex]\mathrm{d} f(x)=f'(x)\mathrm{d} x[/latex] always works and it will always give us a way to calculate differentials. But I (as an strictly axiomaticist person) couldn't accept it as a definition of Differential.

So my question is:

Can we define "Differential" more precisely and rigorously?

Thank you in advance.

P.S. I prefer the answer to be in the context of "Calculus" or "Analysis" rather than the "Theory of Differential forms". And again I don't want a circular definition. I think it is possible to define "Differential" with the use of "Limits" in some way(though it's just a feeling).

The definition you quote is a bit ambiguous (though whether most textbooks use it or not depends upon which ones you have read)

 

This version brings out the meaning more rigorously.

 

[math]\Delta f\left( {{x_1}} \right) \approx f'\left( {{x_1}} \right)\Delta x[/math]
Basically in words it states
The change in the value of the function of x, f(x) at the point x1 is approximately equal to the value of the derived function f'(x) at x1 multiplied by the change in the value of x.
There is nothing circular about that definition.
All you need to do is distinguish between functions and their values.
  • Author

[math]\Delta f\left( {{x_1}} \right) \approx f'\left( {{x_1}} \right)\Delta x[/math]

Basically in words it states
The change in the value of the function of x, f(x) at the point x1 is approximately equal to the value of the derived function f'(x) at x1 multiplied by the change in the value of x.
There is nothing circular about that definition.
All you need to do is distinguish between functions and their values.

 

 

Actually in that statement "The change in the value of a function/variable" is previously defined:

[latex]\Delta f(x)= f(x_2)-f(x_1)[/latex] or [latex]\Delta x= x_2-x_1[/latex]

But how we defined [latex]\mathrm{d} f(x)[/latex] or [latex]\mathrm{d} x[/latex] is not precisely elaborated. One may say it's the same as a change in the variable/function when the change is small enough but what "small enough" means here again isn't precisely elaborated. I actually attempted to think of a definition for differential as like it's simply the limit of a difference as the difference approaches zero:

[latex]\mathrm{d}x= \lim_{\Delta x \to 0}\Delta x[/latex]

But because of the so called "Archimedean property" of the "Real number system", that makes a differential simply zero:

[latex]\mathrm{d}x= 0[/latex]

and it's not logical.

 

Can we make this situation better?

Actually in that statement "The change in the value of a function/variable" is previously defined:

[latex]\Delta f(x)= f(x_2)-f(x_1)[/latex] or [latex]\Delta x= x_2-x_1[/latex]

But how we defined [latex]\mathrm{d} f(x)[/latex] or [latex]\mathrm{d} x[/latex] is not precisely elaborated. One may say it's the same as a change in the variable/function when the change is small enough but what "small enough" means here again isn't precisely elaborated. I actually attempted to think of a definition for differential as like it's simply the limit of a difference as the difference approaches zero:

[latex]\mathrm{d}x= \lim_{\Delta x \to 0}\Delta x[/latex]

But because of the so called "Archimedean property" of the "Real number system", that makes a differential simply zero:

[latex]\mathrm{d}x= 0[/latex]

and it's not logical.

 

Can we make this situation better?

 

 

 

Let's do this a bit at a time shall we?

 

 

Actually in that statement "The change in the value of a function/variable" is previously defined:

[latex]\Delta f(x)= f(x_2)-f(x_1)[/latex] or [latex]\Delta x= x_2-x_1[/latex][/center]

 

Yes delta [anything] is defined as [anything2] - [anything1]

 

So what?

 

That is just notation for the difference between the value of anything at point 1 and point 2

 

So the previous statement defines a notation for delta f(x).

 

Then the statement says (your words) "a good approximation" is given by (defined by if you like) the expression with the approximately equals sign.

 

This says exactly what I wrote out prevciously.

 

 

But how we defined [latex]\mathrm{d} f(x)[/latex] or [latex]\mathrm{d} x[/latex] is not precisely elaborated. One may say it's the same as a change in the variable/function when the change is small enough but what "small enough" means here again isn't precisely elaborated. I actually attempted to think of a definition for differential as like it's simply the limit of a difference as the difference approaches zero:

[latex]\mathrm{d}x= \lim_{\Delta x \to 0}\Delta x[/latex]

But because of the so called "Archimedean property" of the "Real number system", that makes a differential simply zero:

[latex]\mathrm{d}x= 0[/latex]

 

and it's not logical.

 

Can we make this situation better?

 

 

There is no reason to expect an explanation or definition of how to form d (f(x)) any more than to expect a definition of how to form say x3+x+3 or sin(x) in the definition of f(x).

In fact d(f(x)) is quite rightly not mentioned at all.

 

So why bring it up?

 

You have not even acknowledged my comment about the difference between a function and the value of a function at some point.

 

Do you actually know what a function is?

PLEASE Wait while I sort out the fact that this stupid site is not Parsing post properly

Edited by swansont
by mod

I've always looked at dy/dx to be "The change in the value of y for a change in the value of x" - like a gradient. It is about changes in one value with respect to another. For 2 given values of x we just work out y in each case and subtract, but dy/dx as f'(x) gives a algebraic relation.

 

Sorry - I know that isn't a text book definition and may not be what you are looking for, but I think it really is just as simple as that.


I can see that your response is thoroughly messed up by the machine - but I cannot get it to replicate. Could you just try a simple quote and response now that I have posted in between


I can see that your response is thoroughly messed up by the machine - but I cannot get it to replicate. Could you just try a simple quote and response now that I have posted in between

 

The rest of the site seems to work normally but this post is obstinate.

 

The whole page changes when I open this thread and the text entry box is wider.

 

Also it did not correctly post your quote, on my screen at least.

**************************************************************************************************************************************************************************
Edit it is still playing up for me so the following should have been in a separate post.
Hamed
Here at least is one part of quite a long explanation I wrote.
I am sorry that much of it is missing: I will try to add back more later.
I had broken it into parts before as promised.
There is no reason to expect an explanation or definition of how to form d (f(x)) in the definition of a differential any more than to expect a definition of how to form say x3+x2+x+3 or sin(x) in the definition of f(x).
In fact d(f(x)) is quite rightly not mentioned at all.
So why bring it up?
You have not even acknowledged my comment about the difference between a function and the value of a function at some point.
I did indicate that this was key to answering your question.
Do you actually know what a function is?

Edited by studiot

This page is not rendering properly. Note the line down the sides are missing:

 

post-14463-0-42154400-1483639587_thumb.png

 

Edit: Just noticed that the blue lines stop at post No.5 as you scroll down from the top.

Edited by StringJunky

  • Author

 

Do you actually know what a function is?

 

 

A function is a "Relation(which is a subset of a cartesian product of two sets)" where the second entries of the ordered pair elements of the resultant set aren't pairwisely equal.

 

 

You have not even acknowledged my comment about the difference between a function and the value of a function at some point.
I did indicate that this was key to answering your question.

 

 

Yes but I'm not talking about the value of the functions or their differential at a point. Sure it's important but it's not everything. For example we may show the derivative of function [latex]f(x)[/latex] at some point like [latex]x_0[/latex] as follows:

[latex]\frac{\mathrm{d} f(x)}{\mathrm{d} x}|_{x=x_0}={f}'(x_0)[/latex]

 

But we define something else and name it "Derivative function" which renders derivative as a function -and not the value of [latex]{f}'[/latex] at [latex]x_0[/latex]- which its outcome is a function(and not a value) and we show it like this::

[latex]\frac{\mathrm{d} f(x)}{\mathrm{d} x}={f}'(x)[/latex]

 

And I'm actually talking about "Differential function" -not the value of [latex]\mathrm{d} f(x)[/latex] at [latex]x_0[/latex]- and I think it should have a precise definition(as the Derivative function has a definition too).

 

 

There is no reason to expect an explanation or definition of how to form d (f(x)) in the definition of a differential any more than to expect a definition of how to form say x3+x2+x+3 or sin(x) in the definition of f(x).
In fact d(f(x)) is quite rightly not mentioned at all.
So why bring it up?

 

 

I didn't get what you meant here. Could you explain more?

Edited by Hamed.Begloo

First thanks to imatfaal for sorting out the Augean stable.

 

:)

 

Then to return to just before we left off.

 

A previously missing question and answer was

 

 

Actually in that statement "The change in the value of a function/variable" is previously defined:

9ce919bc91702791f236f8aa4e818671-1.png or c53a2928272659af2909c71d0d0bf451-1.png

 

Yes delta [anything] is defined as [anything2] - [anything1]

So what?

That is just notation for the difference between the value of anything at point 1 and point 2

So the previous statement defines a notation for delta f(x).

Then the statement says (your words) "a good approximation" is given by (defined by if you like) the expression with the approximately equals sign.

This says exactly what I wrote out previously.

 

 

Yes but I'm not talking about the value of the functions or their differential at a point. Sure it's important but it's not everything. For example we may show the derivative of function 50bbd36e1fd2333108437a2ca378be62-1.png at some point like 3e0d691f3a530e6c7e079636f20c111b-1.png as follows:

82ea5e160138024210af03d85a623785-1.png

But we define something else and name it "Derivative function" which renders derivative as a function -and not the value of 52670a1f735e4c82da92eff5ce52b229-1.png at 3e0d691f3a530e6c7e079636f20c111b-1.png- which its outcome is a function(and not a value) and we show it like this::

383446b450a52907092b842c8ec0e7e3-1.png

 

Whether you realize it or not, you included both functions and the values of those functions in your question and mixed them up in your thinking.

 

I have said this before and already indicated that there are two functions involved

 

The derived (not derivative) function and the original function.

(That by the way is how the name derivative came about)

 

Both of these are functions in their own right and therefore have values.

 

You can only subtract values to obtain a Delta [something]

 

 

 

I didn't get what you meant here. Could you explain more?

 

Because you introduced additional quantities that were not in the original definition you posted as a question.

  • Author

Whether you realize it or not, you included both functions and the values of those functions in your question and mixed them up in your thinking.

 

Yes, and... :unsure: honestly I still don't know how I included the values of the functions in my question. I just wanted a definition for "Differential function" which haven't any other differentials in its definition as the definition of "Derivative function" doesn't contain any other derivative either.

 

I have said this before and already indicated that there are two functions involved

 

The derived (not derivative) function and the original function.

(That by the way is how the name derivative came about)

 

Both of these are functions in their own right and therefore have values.

Sorry but I didn't find what you mean by "Derived function"(if it's not the derivative function). Again would you explain more about what you meant here?

You can only subtract values to obtain a Delta [something]

Now I guess I know what you mean. You're saying since "Difference of function" is tied to two values of the function, then necessarily "Differential of function" is defined by the values of the function(if I'm right). So does it mean there is nothing such as a "Differential function"? And it's only meaningful at some points?
P.S. I would appreciate if you answer more descriptively and again consider the fact that... :rolleyes: you know... I'm not a native English speaker :).

 

 

Yes, and... :unsure: honestly I still don't know how I included the values of the functions in my question. I just wanted a definition for "Differential function" which haven't any other differentials in its definition as the definition of "Derivative function" doesn't contain any other derivative either.

 

Sorry but I didn't find what you mean by "Derived function"(if it's not the derivative function). Again would you explain more about what you meant here?
Now I guess I know what you mean. You're saying since "Difference of function" is tied to two values of the function, then necessarily "Differential of function" is defined by the values of the function(if I'm right). So does it mean there is nothing such as a "Differential function"? And it's only meaningful at some points?
P.S. I would appreciate if you answer more descriptively and again consider the fact that... :rolleyes: you know... I'm not a native English speaker :).

 

 

Good to see the interest.

 

An English note: we say the "derived function" or just the "derivative" we do not usually say the derivative function

 

It is, however, difficult to guess the level to answer at since you are discussing a very simple function of a single variable but some of your comments hint at a much higher level of mathematics. For example you mentioned differential forms and your answer about the definition of a function.

 

There are a lot of different notations about for calculus.

Further many different sorts of people use calculus for different purposes.

Some of the people are much more rigorous than others.

Many people mix up the notation and/or terminology.

 

None of this really matters for the calculus of a single variable and people muddle through.

 

More rigor becomes important with multivariable calculus.

This is where the 'differential becomes important.

 

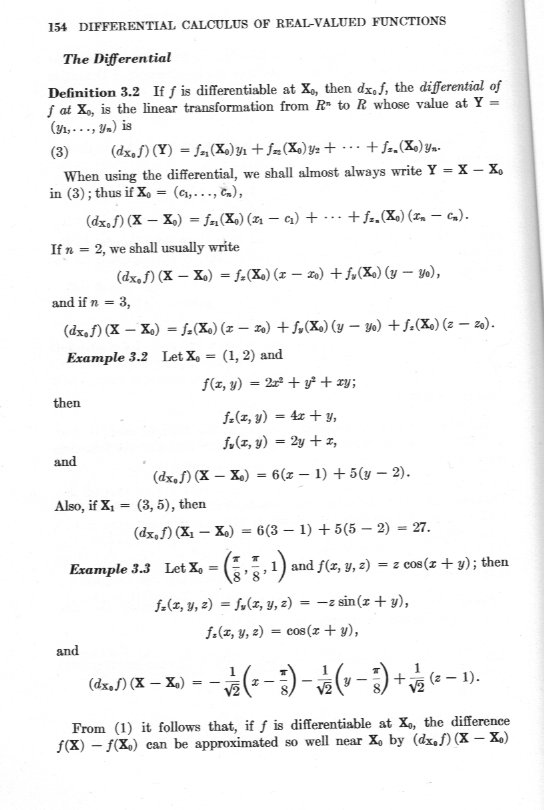
The differential is really defined as a transformation from Rn to R where n is the number of independent variables.

 

I don't know if your studies are ready for this or where to start for you so I am going to post two pages from different textbooks.

 

Please say if anything is familiar.

Or do I need to start further back?

 

I will be away for a few days now so see what you can make of these pages.

 

 

post-74263-0-69789300-1483740495_thumb.jpgpost-74263-0-98957600-1483740496_thumb.jpg

  • Author

It is, however, difficult to guess the level to answer at since you are discussing a very simple function of a single variable but some of your comments hint at a much higher level of mathematics. For example you mentioned differential forms and your answer about the definition of a function.

 

Actually I said I prefer that the answer not to be in the context of "Theory of differential forms" because I have no knowledge of the notion of "Differential forms". However as far as I know the approach used in the discipline is quite different from calculus: introducing new spaces, usage of different geometries, constructing some form of algebras for differentials,... it seems they are treating differentials as some different kind of mathematical objects rather than simply functions.
Anyway considering more lower levels for answer is better. If you wanna consider a level to answer me, I can say for example much of "Calculus and Analytic Geometry, Thomas-Finney" are understandable to me.

 

There are a lot of different notations about for calculus.

Further many different sorts of people use calculus for different purposes.

Some of the people are much more rigorous than others.

Many people mix up the notation and/or terminology.

 

None of this really matters for the calculus of a single variable and people muddle through.

 

I'm still not convinced why it doesn't matter for single variable calculus. If it's just a notation then I think it's really bad to use Leibniz's notation in calculus. We should reformulate calculus using Lagrange's notation for both derivative and antiderivative operations so we get rid of this nonsense differential. Leibniz introduces symbols like "[latex]\int [/latex]" and "[latex]\mathrm{d} [/latex]" which seems to be insisting they must have separate standalone meanings and definitions. But when you talk about them everyone says these symbols has no meaning for themselves alone and we end up that "[latex]\int f(x) \mathrm{d} x[/latex]" and "[latex]\frac{\mathrm{d} f(x)}{\mathrm{d} x} [/latex]" are just mere notations for antiderivative and derivative respectively. Anyway I thought that widespread usage of Leibniz's notation must have an important reason. Not that just this makes them algebraically more flexible so students manipulate them easily... but from a more pure mathematical perspective.

 

More rigor becomes important with multivariable calculus.

This is where the 'differential becomes important.

 

The differential is really defined as a transformation from Rn to R where n is the number of independent variables.

 

I don't know if your studies are ready for this or where to start for you so I am going to post two pages from different textbooks.

 

Please say if anything is familiar.

Or do I need to start further back?

 

I will be away for a few days now so see what you can make of these pages.

 

 

attachicon.gifdifferentials11.jpgattachicon.gifdifferentials10.jpg

 

OK, let's see what I get:
Here [latex]X[/latex] and [latex]Y[/latex] seem not to be simple numerical variables but rather [latex]n[/latex]-tuples consisting of numerical variables. So the arguments of [latex]f[/latex] are [latex]n[/latex]-tuples and this is why the domain is [latex]\mathbb{R}^{n}[/latex]. Since the [latex]f[/latex] is a Real-valued function the output must be a number and this also justifies why the range is [latex]\mathbb{R}[/latex]. On the other hand [latex]X_0[/latex] seems to be a determined known point in [latex]\mathbb{R}^{n}[/latex].
And here's what I don't get:
Now this is where my inexperience and knowledgelessness ruins everything. Now I'm going to ask some very basic questions that pops into my mind right now:
1) I know what "Linear transformation" is: Any transformation that carries the properties of "Additivity" and "Homogeneity". But I always have a headache distincting notions such as "Transformation", "Mapping" and "Function". Could you first tell me what are their difference?
2) The definition says about "the differential of [latex]f[/latex] at [latex]X_0[/latex]", but then says about the value of the linear transformation at [latex]Y[/latex]. I'm not sure what is the argument of the function/transformation. [latex]X_0[/latex] or [latex]Y[/latex]?
3)It somehow reminds me of this relation about the differential of a multivariate function:
[latex]\mathrm{d} f(x_1,x_2,\cdots ,x_n)=\mathrm{d}x_1 \frac{\partial }{\partial x_1}f(x_1,x_2,\cdots ,x_n) + \mathrm{d}x_2 \frac{\partial }{\partial x_2}f(x_1,x_2,\cdots ,x_n)+ \cdots + \mathrm{d}x_n \frac{\partial }{\partial x_n}f(x_1,x_2,\cdots ,x_n)[/latex]
But the problem with this definition is again some other differentials([latex]\mathrm{d}x_1 [/latex], [latex]\mathrm{d}x_2 [/latex], [latex]\cdots [/latex] , [latex]\mathrm{d}x_n [/latex]) exists in the definition. However yours are in the form of [latex]y_1[/latex], [latex]y_2[/latex] , [latex]\cdots [/latex] , [latex]y_n[/latex]. So maybe it's different. Anyway are these related?
I stop here so my basic issues would be resolved.
Thank you for helping me. :)

Edited by Hamed.Begloo

But I always have a headache distincting notions such as "Transformation", "Mapping" and "Function". Could you first tell me what are their difference?

No diff at all. Different words used in different contexts that mean the same thing. Function. Like the Eskimos who have 50 different words for snow. Mathematicians have many words for function.

 

Interestingly the Eskimo story has been called a myth but it's actually true. https://www.washingtonpost.com/national/health-science/there-really-are-50-eskimo-words-for-snow/2013/01/14/e0e3f4e0-59a0-11e2-beee-6e38f5215402_story.html

Edited by wtf

Why you want to abandon Leibniz notation? You can talk with Leibniz to do so otherwise he might be disheartened. Lol

Dear old Leibnitz.

 

His notation is so convenient and flexible.

The main difficulty was typng the text, but no longer with modern computers or handwriting.

Writing f'(x) can be done on a single line. That was a good reason to introduce it.

 

Thank you for referring to Thomas & Finney (I have the 9th edition).

I think I have spotted your difficulty.

 

The differential defined on page 251 is dy, not dx

 

Using Leibnitz makes this more obvious

 

[math]y = f\left( x \right)[/math]
[math]\frac{{dy}}{{dx}} = f'\left( x \right)[/math] differentiate with respect to x
[math]dy = f'\left( x \right)dx[/math]
[math]df\left( x \right) = f'\left( x \right)dx[/math]
but isn't dy clearer than the last line which is your original definition in post#1?
Note also that both dy and dx are classed as variables.

Archived

This topic is now archived and is closed to further replies.

Important Information

We have placed cookies on your device to help make this website better. You can adjust your cookie settings, otherwise we'll assume you're okay to continue.

Configure browser push notifications

Chrome (Android)
  1. Tap the lock icon next to the address bar.
  2. Tap Permissions → Notifications.
  3. Adjust your preference.
Chrome (Desktop)
  1. Click the padlock icon in the address bar.
  2. Select Site settings.
  3. Find Notifications and adjust your preference.