Jump to content

Sum of energy not constant

Featured Replies

Hello,

It is my first message, I hope I have the right to ask a question about the sum of energy, if not you can delete the thread.

I don't find the mistake in a device. I hope someone could help me. I drew the device at start, at end, and I made an animation to see how the device is deformed. It is not a cycle, I study the sum of energy during the deformation, from start to end. The white color is lightweight matter like polystyrene and the blue color is a fluid, water for example. There is gravity. At start the device is near full with the polystyrene, there is few water, just thin layers between the walls. The container passed from a parallelogram to a square. Each white rectangle of polystyrene rotate counterclockwise around its axis noted A2 to A20. The axes of rotation are fixed to the ground.

I took gravity at 10 m/s² and the depth of the device is 1 m for the calculations.

N is the number of the white rectangles. I drew the device with 19 rectangles but I can take more, why more ? because like that the calculations are easier, there is no problem from the upper and lower parts, look with the device drew with 4 rectangles. So I can take N=1000 or more in theory. At start, the volume of the polystyrene is near 100 %, at final it is 100*(1-sqrt(2)/2) = 29.3 %. At start, the volume of water inside the device is near 0 %, at final it is 29.3 %.

When the device is deformed, I keep constant:

  - the volume of the container

  - H, the height of the device

  - L, the width of the device

  - E, the thickness of each white rectangle of polystyrene

I drew the device at start with 4 rectangles to show more details (I changed the name of the axes). To keep constant H, L, E, I need to reduce the length of each white rectangle, for that I move out the parts of the white rectangles from the bottom (the white rectangles rotate) I will recover an energy. Like it is at bottom, the pressure is constant at 10000 Pa. The volume moving out is 1-sqrt(2)/2 m³. So the energy recover is 2928 J

Like I want the volume of the container constant, I need to move in water. The stockpile of water is not like I drew in the animation but at 0.5m like the image with 4 white rectangles is showing. Like that, I don't need to move up or down, in mean, the water. The mean pressure to move in is 5000 Pa. The volume to move in is the same than before 1-sqrt(2)/2 m³. The energy needed is 1464 J

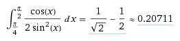
Now, I need to rotate all the white rectangles, for that, I can take N bigger than I drew. The energy needed to rotate the white rectangles is : 10000 * integrate cos(x-pi/4)*cos(x)/2 dx from x=pi/4 to x=pi/2 it is : 1388 J

Like the water never lost/won a potential energy, I didn't count it.

The sum of energy is 76 J

The difference is 2.5% of the energy recovered and I don't find where is my mistake, have you an idea ?

Notes:

1/ If you move in the white rectangle (not water) the energy needed to rotate the white rectangles is 10000 * integrate cos(x)/2 dx from x=pi/4 to x=pi/2 it is exactly 1464 J

2/ A small torque appears on each rectangle when I move in the white parts, but the energy from the sum of that torques is divided by N and if these torques (when N is high) could give an energy the sum of energy counldn't be at 0 in the case of moving in the white parts.

 

Have a good day

 

device-at-start.png

device-at-final.png

animation.gif

device-4-rectangles.png

I am having considerable trouble following what you think is happening and what you are taking into account.

You say there is more water at the end in a vessel of constant volume?

Where does this water come from?

 

Clearly if there is more water, there is less polystyrene and you say you shorten the polystyrene strips.

How?

 

You say the volume remains constant. You also say the width and height remain constant.

But you have marked none of these on your diagram so it is not clear what these dimensions refer to.

Obviously to maintain these values constant the third dimension must change, can you indicate that as well?

 

I don't see how you have calculated your energy values.

Have you taken bouyancy into account?

 

  • Author
58 minutes ago, studiot said:

Have you taken bouyancy into account?

Yes, I do. I calculated the work to rotate the white rectangles.

 

59 minutes ago, studiot said:

But you have marked none of these on your diagram so it is not clear what these dimensions refer to.

In the last image, I noted: H and L at 1 m and E, do you see it ?

 

1 hour ago, studiot said:

Obviously to maintain these values constant the third dimension must change, can you indicate that as well?

No, the depth never change. H=constant, L=constant, E=constant. In my first message I type the volume of polystyrene at final is 29.3% but it is 100-29.3=70.7 % sorry, maybe you're confused about that.

 

1 hour ago, studiot said:

Clearly if there is more water, there is less polystyrene and you say you shorten the polystyrene strips.

How?

I move out the container the polystyrene and I move in (in the same time) the water. Look at the animation: the stockpile of water decreases and the stockpile of the polystyrene increases in volume, I drew an image.

 

1 hour ago, studiot said:

You say there is more water at the end in a vessel of constant volume?

Where does this water come from?

There is more water inside the container (the shape which is deformed from a parallelogram to a square), there is less water in the stockpile.  The water comes from the stockpile. Note, the stockpile is not well drew, it is at the altitude 0.5m like that the water never lost/won a potential energy from start to end.

 

Thanks for your message

stockpiles.png

With respect you have spent too much effort on clever drawing/animation and not enough on laying out the maths properly.

A much simpler drawing would be adequate, accompanied by better presented maths.

 

  • Author

For the maths:

I move out the parts of the white rectangles from the bottom (I cut small parts of the rectangles when they rotate), at the bottom the pressure is always the same : 10000 Pa. The volume I move out is 29.3% of the volume of the container, so it is 293 l. The energy recover to move out the white parts is 0.293*10000 = 2930 J. Are you agree with that ?

I move in the water at the mean pressure of 5000 Pa because the barycenter of the device is always at the same altitude when it is deformed. So I need the half of the energy of 2930 J. Are you agree with that ?

To rotate the white rectangles I use an integral. I suppose the number of white rectangles is big.The white rectangle rotate from pi/4 to pi/2, so I integrate from pi/4 to pi/2. The force of buoyancy on each white rectangle is always vertical so I need to have cos(x). The force of buoyancy is applied always at the altitude of 0.5m. I apply the force of all the rectangles, it is cos(x-pi/4) because at start the polystyrene is at 100% inside the container and at final it is at 70.7%. So I  integrate :

10000 * integrate cos(x-pi/4)*cos(x)/2 dx from x=pi/4 to x=pi/2

Are you agree with that ?

Edited by xyrth

  • Author
Just now, swansont said:

How much of this work ends up as thermal energy?

Thermal energy is an energy, even I suppose there is friction, I need no take in account, and at final the sum of the energy is constant with thermal energy. If I move out/in the white parts (I don't move in water but white rectangles) the sum of energy is well at 0.

1 hour ago, xyrth said:

Thermal energy is an energy, even I suppose there is friction, I need no take in account, and at final the sum of the energy is constant with thermal energy. If I move out/in the white parts (I don't move in water but white rectangles) the sum of energy is well at 0.

I don't understand what your problem is, then. You said that you couldn't account for some small fraction of the energy. Now you appear to be saying that there is no problem.

 

  • Author
28 minutes ago, swansont said:

I don't understand what your problem is, then. You said that you couldn't account for some small fraction of the energy. Now you appear to be saying that there is no problem.

It is possible to consider 2 cases:

1/ Like I explained, I move out the polystyrene from the bottom and I move in the water between rectangles: the sum of energy I calculated is not constant

2/ I move out the polystyrene from the bottom and I move in polystyrene between rectangles: here the sum of energy is well constant

There is very few difference between the case 1 and the case 2, and like water never change its center of gravity, I don't find what I forgot to count.

 

  • Author

Hello,

I think I made a mistake, the sum of energy recovered it greater than I calculated because the water I move in at bottom needs to be move out a time after. I move in/out the same water several times. So the volume I move out is sqrt(2)/1=0.414 m³ so the energy recovered from the "move out the white parts and move in water" is 0.414*5000 = 2070J because I move out at the bottom where the pressure is 10000 Pa and I move in at mean at 5000 Pa. To rotate the white parts, I need the same energy I calculated: 1388 J. So the sum of energy is  682 J. It is a lot. So what I forgot ?

I can pass the white rectangles through the lower wall instead of move out small parts of the polystyrene, it is the same sum of energy. Like that I don't need to move out the polystyrene, just pass through the wall, the white rectangles keep their length constant, at final the device like I drew. I need only gaskets.

 

 

fin2.png

Edited by xyrth

  • Author
1 minute ago, Endy0816 said:

What is making the water move?

It is a question about technology or about the sum of energy ? If it is for the sum of energy, I count only the energy I need to move in water and the potential energy of the water. The center of gravity of the water never change from start to end. And I counted all the energy I need to move in. If you want a solution for technology, it could be a pump but like the efficiency of the pumps is bad (remember even you think about friction, heat is an energy), it is better have a stockpile of water: a big tank of 100 m³ of 1 m height and I have thin pipes to move in the water.

  • 2 weeks later...
  • Author

Description of the device:

I use small spheres and springs to have a gradient of pressure like gravity can do with water in a glass. But here, no mass, no gravity, no friction to simplify the calculations. The blue color is like water, blue spheres are like molecules of water, gravity is replaced by the springs. Like that, I can have a rotational attraction (the angle of attraction change when the device is deformed) with the source of attraction in the device itself.

There is no mass , no friction. The volume of the container is constant. The force of the springs is constant: doesn’t depend of the length of the spring. The volume of the springs is zero. There is one spring for each blue sphere. The axes A1 and A2 are fixed to the ground. The axes I1 to I18 axe fixed to the ground. I indicate the pressure ‘P’. I drew 18 white rectangles, but in theory it could be have 1000, like that there is no torque on them and the parts at left between the left wall and the left rectangle and the part between the right wall and the right rectangle is near 0, again, just to simplify the calculations. The force of the springs is 1N/m³ with the volume, the volume of a sphere. It is possible to study the device with a depth (perpendicularly to the screen) at 1 m or only one layer of blue spheres.

At start, the device is fulled with the white parts, there is near no blue sphere inside the container, just to have the pressure between walls and rectangles. At final, there is 29.3% of the volume of the container fulled with the blue spheres inside the container, like the volume is constant: I move out the white parts and I move in the blue spheres, there is an animation here: https://i.imgur.com/sgjch9Z.gifv

 

The device at start: image e6.png

The device a short time after: image e2.png

The device at final: e3.png

The details for move out/int: e4.png

 

Question:

Where is my mistake in the calculations ?

 

the calculations for a small angle:

I drew the device with δ=1° (from 45° to 46°). With a force of the spring equal to 1 N/m³ the depth of the device is 1 m.

I studied the sum of energy for a small angle of rotation δ.

The lateral walls need the energy -√2/2*√2/√2*δ = √2/2*δ , because the force of pressure is √2/√2=1 N (pressure is 1/√2 and the length is √2), the radius is √2/2 m, the angle of rotation δ :

Look at the images:

a1.png

a2.png

a3.png

a4.png

The energy I recover to move out the white parts is δ*5/4*√2 because the mean pressure is 5/4*√2

The energy I recover to move in the blue spheres is δ*3/4*√2 (noted the energy to move out/in is √2/2*δ it is equal to the energy of the walls like I explained before)
The energy lost from the springs is √2*δ/2*δ/2 because for a small angle the difference of length is √2*δ and I need to divide by 2 because the springs with a length of √2 lost √2*δ but a spring with a length near 0 lost 0 (I mean), the volume of the springs is δ/2 because the springs at start lost all the length but the springs I add at final lost near nothing (I mean), I drew what I explained.

The area that moves out/in:   δ

The energy wins by the green line (bottom wall where the springs are attached) is δ/2*√2/2*2δ , the √2/2 because the force has an angle of 45° and I counted the half surface δ/2 because at 45° there are 0 springs to help to move to the right and at final there are δ of the volume to help so I took the mean, the bottom wall moves in translation of the length of 2δ. The green line wins √2/2*δ*δ.

The energy lost by the springs:

Look at the image a5.png

The energy wins by the green line:

Look at the image a6.png

The sum of energy by integrals or by infinitesimal calculations is the same: √2/4*δ² or 0.000107

The exact result of the integral is 0.000104611 J vs 0.000107598 J with my formula for a small angle. But I take approximation with my little angle and the difference is only 3%. If I take an angle of 0.01° the difference is only of 3 pour 10000.

 

The calculations for a big angle:

Note each blue sphere has a spring. The surface of the container is constant at 1 m². The thickness 'e' of the device is only one layer of blue sphere. The volume of the container is 1*1*e. I think it is possible to take e=1 m

Case 1/ The container is fulled of blue spheres

Image b1.png

The energy lost by the springs is -(sqrt(2)/2-0.5)*V with V the volume of the container because at start the mean length of the springs is sqrt(2) and at final it is 0.5. The energy needed by the lateral walls (negative) to rotate them is :

Image b2.png

I need to multiply the last result by the thickness 'e'. I explain the integral: the pressure on the left wall is always cos(x) greater than the pressure at the right wall, so I calculate directly the 2 walls in a single integral (the difference of pressure), and the force is 1/sin(x)*cos(x). I rotate from pi/4 to pi/2. The force is at the middle of the segment, it is at 1/2/sin(x).

The energy recover from the bottom wall (green) because all the springs are attached on the bottom line is :

Image b3.png

The sum of energy is well at 0.

Why I studied that case ? Because I proved the springs lost half of the green line won. Again, I need to multiply the last result by 'e'.

 


Case 2/ The container is fulled of white rectangles, near no blue sphere just enough to have the pressure:

Image b4.png


The work from the walls is the same than the case 1: -0.207e
I move out the white parts of the rectangles and I move in the white parts between the white rectangles, the volume I move out is 0.414e. I think the work is integrate (1/2/sin(x))*cos(x)/sin(x) dx from x=pi/4 to x=pi/2 = 0.207 e

The sum of energy is well at 0.

What that case ? because like that, I'm sure about the work to move out/in.

 

Case 3/ At start, the container is fulled of white rectangle and when the device is deformed, I move out from the bottom the white parts of the rectangles and I move in the blue spheres (each sphere has a spring)

At start: near 100% of the volume of the container is white rectangles
At final: there is 70.7% of the volume of the container with white rectangle, 29.3% with blue spheres


The laterals walls lost always the same: -0.207e
The move out/in is always the same than the case 2, it is +0.207e


The springs lost the energy :

Look at the image b5.png

The term (1-1/(√2*sin(x))) is the volume of springs
The term cos(x) is the mean length lost by the springs


The green line wins the energy:

Look at the image b6.png

The term tan(1/(1-x)) is the angle

It is logical the green line wins at start 2 times than the springs lost but at final the green line wins that the springs lost.

An example with a small angle near at final:

Springs:

Look at the image b7.png

Green line:

Look at the image b8.png

 

 

e6.png

e2.png

e3.png

e4.png

a1.png

a2.png

a3.png

a4.png

a5.png

a6.png

b1.png

b2.png

b3.png

b4.png

b5.png

b6.png

b7.png

b8.png

18 minutes ago, xyrth said:

Where is my mistake in the calculations ?

I have absolutely no idea what you are calculating or what your diagrams represent but my guess as to the source of the error is:

19 minutes ago, xyrth said:

But here, no mass, no gravity, no friction to simplify the calculations.

 

1 hour ago, xyrth said:

The force of the springs is constant: doesn’t depend of the length of the spring.

Here you have another error.

  • Author

You can add a mass, gravity and friction it is the same. The friction gives heating and heating is an energy. Mass and gravity is not a problem, you can add it if you want.

For the springs, it is a theoretical device I can choose a spring like that, the sum of energy is well conserved in others devices I studied. And like you must know, springs of watches are like that.

So what is the point of your post? Why do you think there is an error in your calculations? (It is, for me, impossible work out what you are talking about from your rambling description and incomprehensible diagrams).

  • Author

I don't know where the mistake comes from, that's why I post.

 

1/ Have you understood the deformation ?

For the images:

The first image shows the device at start

The second, the device a moment after

The third, the device at the end.

I gave a link to the animation

The 5°, 6°, 7°, 8° images shows details for the calculations for a small angle

The 9° and 10° images gives the potential energy lost from the springs and the work won by the green line

The 11°, 12°, 13°  images give the device of the case 1/

The 14° image shows the device at the case 2/

The 15°, 16°, 17°, 18° images show the calculations for the case 3/

2/ Have you understood, the substitution of the gravity+molecules by springs+spheres to have pressure ?

Maybe I lost a work I didn't account or it is in the calculations.

 

  • Author

Because the sum of energy must be at 0, the energy is conserved. I need an energy to rotate the laterals walls. I recover an energy when I move out the white parts. I need an energy to move in the blue spheres. I lost a potential energy from the springs. I recover an energy from the bottom wall (green line). It is for that I gave  the case 1 and the case 2 because I calculated the works and I found well the sum of energy at 0. But even with a small angle, the case I studied (case 3), the sum of energy is not constant like that.

2 minutes ago, xyrth said:

Because the sum of energy must be at 0, the energy is conserved. I need an energy to rotate the laterals walls. I recover an energy when I move out the white parts. I need an energy to move in the blue spheres. I lost a potential energy from the springs. I recover an energy from the bottom wall (green line). It is for that I gave  the case 1 and the case 2 because I calculated the works and I found well the sum of energy at 0. But even with a small angle, the case I studied (case 3), the sum of energy is not constant like that.

But, as you said at the beginning, you have made all sorts of approximations to make the calculations simpler. Therefore your results will be approximate. 

But maybe someone else has the patience to try and decipher your incoherent text and incomprehensible diagrams.

  • Author

No approximation, simplifications, just to simplify the calculations, to have the real values.

  • Author

I know it is a strange device and it seems maybe crazy but it is not so difficult to understand. Maybe if people ask me what is not clear I can reply.

I think, first, it is important to understand the animation: https://i.imgur.com/sgjch9Z.gifv

Second, it is important too, it is not a cycle, I studied the sum of energy during the deformation, I don't return to the start position, but even in the deformation the sum of energy must be constant.

Third, I took simplifications: no mass, no gravity, no friction, the volume of the container constant and the force of the springs constant. It is not to approximate my calculations, in the contrary it is to be exact.

I gave the attraction of the spring at 1N/m³ why it is not in N ? because like that with any radius of the spheres, the pressure is always the same. I take a radius for a sphere, then after the force of each spring is in N.

 

  • Author

It is not the same device, so, I think it could confuse people more. The first uses the gravity the second not. I found my mistake with the device with gravity, it is because I need to move up water when the water moves out from the bottom.

Archived

This topic is now archived and is closed to further replies.

Important Information

We have placed cookies on your device to help make this website better. You can adjust your cookie settings, otherwise we'll assume you're okay to continue.

Configure browser push notifications

Chrome (Android)
  1. Tap the lock icon next to the address bar.
  2. Tap Permissions → Notifications.
  3. Adjust your preference.
Chrome (Desktop)
  1. Click the padlock icon in the address bar.
  2. Select Site settings.
  3. Find Notifications and adjust your preference.