Skip to content

An Alternative Equation for the Wavefunction and its Eigenfunctions

Featured Replies

I'm not seeing the utility of making this idea incorporate relativity when there are so many unanswered questions about the original proposal.

2 hours ago, John Henke said:

50087180_5-12pg1.thumb.PNG.761d83412df21e48b2d7e70b4c79f89d.PNG

 

What is the point of having one particle measure another one? A particle in a well has only one particle.

Why are we worrying about time evolution? Let's get the time-independent solutions checked first.

Whether it's a wave or a point particle should be apparent from the solution, and it doesn't directly depend on whether the particle has spin. If I have a particle in a box, the position and momentum will not be single-valued, but the energy will be, if it's in a single energy eigenstate.

 

Quote

274499565_5-12pg2.thumb.PNG.9129d0cb96556594a414a7a286796543.PNG

 

That's not an explanation of what s actually is.

Physically what is different between these two cases? Please answer without referring to the variable s. We know that s is different. What is it about the system that is different, that would give rise to a different value of s.

Now, do the same for n and theta.

 

Quote

398191031_5-12pg4.thumb.PNG.56eee2079d72a8f0f2bb6917eaa2c88d.PNG

And k bar.

 

 

 

Quote

1985958630_5-12pg13.thumb.PNG.e418c3425e3477f8fb8c3786285a01f5.PNG

 

Time is a gamma component without spin? Well, good, I guess, since time does not have spin, but otherwise this makes no sense.

And now we have j, which is both positive and negative and almost infinite? Simultaneously?

And now time is the resultant vector of x, y, z and some 4th dimension? How do the units work out here?

 

You're calling it the mass eigenfunction but it's not mass, and not something that exists in nature. You don't think that's confusing? (not that it's more or less confusing than a dozen variable with no obvious connection to physical reality, which you refuse to adequately explain.

Can you solve the particle in a potential well problem or not? By solve, I mean give us the time-independent wave function (as a function of position) and the energy eigenvalues?

 

 

 

 

  • Author
1 hour ago, Mordred said:

Why would you believe 

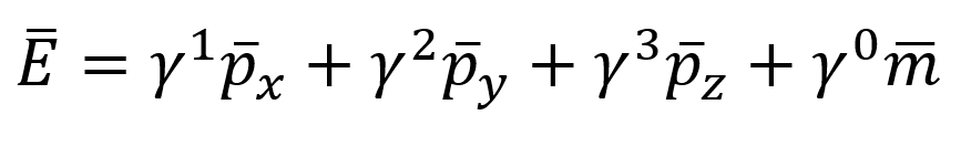
E=px+py+pz+m

That's exactly what the Dirac equation uses.

Edited by John Henke

29 minutes ago, John Henke said:
2 hours ago, Mordred said:

Why would you believe 

E=px+py+pz+m

That's exactly what the Dirac equation uses.

Not exactly, no.

You have missed out some very important terms and variables.

And since you once again can't be bothered to acknowledge my offer of help (as in my last post), I don't feel very inclined to do so.

  • Author
1 hour ago, swansont said:

What is the point of having one particle measure another one? A particle in a well has only one particle.

I'm not sure what you're referring to, but if you're referring to the "components," they are just that. They are "components" of a particle, of one particle.

1 hour ago, swansont said:

That's not an explanation of what s actually is.

No, it's not. The value of s is just what nature uses to control curvature. As I don't know anything more about curvature, I don't know more about s. I just found a way of getting rid of charge and thought the universe might use it, so I threw it in the equation.

1 hour ago, swansont said:

Physically what is different between these two cases? Please answer without referring to the variable s. We know that s is different. What is it about the system that is different, that would give rise to a different value of s.

Now, do the same for n and theta.

The point I was trying to make above is that nothing changes with these except the curvature in spacetime, which is very slight.

1 hour ago, swansont said:

And k bar.

For particles in a quantum state, k determines the angular frequency. For point particles, k bar determines the momentum. If k bar is one and you put the particle into its momentum eigenfunction form, then the wavefunction would not scale. This is because both h bar and k bar are one. If k bar is 2 then the momentum eigenfunction is scaled by 2, etc.

1 hour ago, swansont said:

Time is a gamma component without spin? Well, good, I guess, since time does not have spin, but otherwise this makes no sense.

Yes, let's stick to the fundamentals for now.

1 hour ago, swansont said:

And now we have j, which is both positive and negative and almost infinite? Simultaneously?

What's the correct term? It is continuous and it starts at a negative number the absolute value of which is large and ends at a high positive value.

 

1 hour ago, swansont said:

You're calling it the mass eigenfunction but it's not mass, and not something that exists in nature. You don't think that's confusing?

Yes, I did have a bad feeling when I wrote that in, but I promised I'd post that today, and I haven't yet gotten around to revising that out. I will.

 

1 hour ago, swansont said:

By solve, I mean give us the time-independent wave function (as a function of position) and the energy eigenvalues?

So my mathematics are in their simplest forms x eigenfunctions. Do you think it's unreasonable to say, therefore, that if we are to use these equations as the basis of explaining nature, that it's unreasonable to say that the output determines the position and the input is time? The solution I already gave you was time independent because initial time is not time. Evolving time is what we would consider time. The energy eigenfunctions I've calculated many times for free particle on this thread, but if you want the calculation for the confined version, that's not difficult, and I will post it tomorrow.

3 minutes ago, studiot said:

Not exactly, no.

You have missed out some very important terms and variables.

And since you once again can't be bothered to acknowledge my offer of help (as in my last post), I don't feel very inclined to do so.

Oh, I see, I just forgot to put the bars over those. My shorthand for eigenfunctions is to put bars over them.

9 minutes ago, studiot said:

since you once again can't be bothered to acknowledge my offer of help (as in my last post)

I'm not sure what you're talking about.

Edited by John Henke

 

42 minutes ago, John Henke said:

I'm not sure what you're talking about.

 

43 minutes ago, studiot said:

(as in my last post)

What exactly does someone who claims to understand both higher quantum theory and higher relativity theory not understand about the reference to "my last post"  ?

 

And why did you not post the correct Dirac Equation?

42 minutes ago, John Henke said:

Oh, I see, I just forgot to put the bars over those.

How on Earth can you put bars over missing terms and variables?

 

But then this is from the stable that made the astounding claim that the imaginary axis coincides with a real one.

Quote

John Henke

henke1.jpg.67e25d8dcf9ff508b1251140272777dd.jpg

 

42 minutes ago, John Henke said:

I'm not sure what you're referring to, but if you're referring to the "components," they are just that. They are "components" of a particle, of one particle.

Key images, item 1. (I can't easily quote you because you posted images) You say you allow particles to measure each other's relative positions.

 

42 minutes ago, John Henke said:

No, it's not. The value of s is just what nature uses to control curvature. As I don't know anything more about curvature, I don't know more about s. I just found a way of getting rid of charge and thought the universe might use it, so I threw it in the equation.

Curvature of what? Caused by what?

 

42 minutes ago, John Henke said:

The point I was trying to make above is that nothing changes with these except the curvature in spacetime, which is very slight.

Why are you worrying about curvature in spacetime?  

 

42 minutes ago, John Henke said:

For particles in a quantum state, k determines the angular frequency. For point particles, k bar determines the momentum. If k bar is one and you put the particle into its momentum eigenfunction form, then the wavefunction would not scale. This is because both h bar and k bar are one. If k bar is 2 then the momentum eigenfunction is scaled by 2, etc.

What is the equation that relates kbar to momentum? Why is this an input rather than an output? The equation often tells you what the momentum will be, though I suppose in some problems it would be a boundary condition. What you should do is work a problem like that.

hbar is not one. 

 

42 minutes ago, John Henke said:

Yes, let's stick to the fundamentals for now.

What's the correct term? It is continuous and it starts at a negative number the absolute value of which is large and ends at a high positive value.

I don't know the correct term, because I don't know what it's supposed to represent. This is your model. When you say it starts at a negative number, what does that mean? It's going to be negative regardless of the problem you are trying to solve? Independent of the boundary conditions or particle properties? That it's going to vary and become positive, again independent of the boundary conditions or particle properties? With repect to what variable is it varying? Position? Time? (Physics time, not the abomination you've come up with)

What significance does it have? You look at QM and every variable represents an observable quantity or something of physical significance. 

42 minutes ago, John Henke said:

So my mathematics are in their simplest forms x eigenfunctions. Do you think it's unreasonable to say, therefore, that if we are to use these equations as the basis of explaining nature, that it's unreasonable to say that the output determines the position and the input is time?

By x eigenfunction, I would interpret this as saying you are getting the wave function as a function of position for a 1-D system

Is that correct?

The input can be time if you have a system that varies in time. But then I don't see why you would get a function as an answer. But I'm asking about a system that is not varying in time, so the answer will not depend on time.

42 minutes ago, John Henke said:

The solution I already gave you was time independent because initial time is not time. Evolving time is what we would consider time. The energy eigenfunctions I've calculated many times for free particle on this thread, but if you want the calculation for the confined version, that's not difficult, and I will post it tomorrow.

We were talking about a particle in a potential well, rather than a free particle. I want the time-independent solution as a function of position, as well as the energy eigenvalues.

 

  • Author
12 minutes ago, studiot said:

And why did you not post the correct Dirac Equation?

As I said in the post, I'm still working on a more philosophical representation of the Dirac equation.

 

14 minutes ago, studiot said:

How on Earth can you put bars over missing terms and variables?

I'm pretty sure you just skim through my posts at best and don't know the first thing about my mathematics, but I can calculate eigenfunctions, and by definition those are p overbar, E overbar etc.

 

15 minutes ago, studiot said:

But then this is from the stable that made the astounding claim that the imaginary axis coincides with a real one.

Please find a quote of me saying that. I have no idea what you're referring to.

4 minutes ago, John Henke said:

I'm pretty sure you just skim through my posts at best and don't know the first thing about my mathematics, but I can calculate eigenfunctions, and by definition those are p overbar, E overbar etc.

And I'm pretty sure you don't read what others are saying to you.

I told you that there were terms not included (missing from) the equation you posted as the Dirac equation.

Your response was that you had missed some overbars from your terms.

So I asked you how do you put overbars over terms that are missing?

And you respond with a personal insult about my mathematics skills.

7 minutes ago, John Henke said:

Please find a quote of me saying that. I have no idea what you're referring to.

Once again proof positive that you are not reading what is said to you.

I posted said quote from you post immediately after my statement.

Can you not read your own writing?

  • Author
1 hour ago, swansont said:

Key images, item 1. (I can't easily quote you because you posted images) You say you allow particles to measure each other's relative positions.

Then I apologize for the oversight. I meant to say the components can measure one another.

 

1 hour ago, swansont said:

Curvature of what? Caused by what?

So if you look at some of my graphs where they just look like lines. They look like lines but there's actually an incredibly small curvature. This curvature, I would argue, is the same curvature Einstein described in spacetime. The cause has to do with the definition of e: (1+1/n)^n. If we were to put in the a value of 1 for n, we would get 2. Then if we put in 2, we would get 2.25. If we put in 3, we get 2.37, etc. Now at the high values of n, you saw that it was linear, but here it was not linear. If it were linear we would expect n=3 to have a value of 2.5. This is because the lower the value of n, the higher the curvature and at these extremely low values in n, the curvature is extreme, but at the extremely high values in n that are actually used, the curvature is imperceptible.

 

1 hour ago, swansont said:

Why are you worrying about curvature in spacetime?  

Gravity at the least

 

1 hour ago, swansont said:

What is the equation that relates kbar to momentum? Why is this an input rather than an output? The equation often tells you what the momentum will be, though I suppose in some problems it would be a boundary condition. What you should do is work a problem like that.

hbar is not one. 

Well I do have the momentum eigenfunction which is scaled by k bar. Do you have any recommendations, hopefully something relatively easy that might fit with my work?

 

1 hour ago, swansont said:

I don't know the correct term, because I don't know what it's supposed to represent. This is your model. When you say it starts at a negative number, what does that mean? It's going to be negative regardless of the problem you are trying to solve? Independent of the boundary conditions or particle properties? That it's going to vary and become positive, again independent of the boundary conditions or particle properties? With repect to what variable is it varying? Position? Time? (Physics time, not the abomination you've come up with)

Well, Mathematica knows exactly what I mean, so it has to be well defined in the sense that it can be read programmatically. But in my new relativistic model ji and je basically do the work that ti and te had done before. It is difficult for me to explain. I think I'll write a longer post on this some time soon.

 

1 hour ago, swansont said:

By x eigenfunction, I would interpret this as saying you are getting the wave function as a function of position for a 1-D system

Is that correct?

I think the problem we're having is in equivocation of the term "function." I've talked about this before, but function is a word I've been meaning to avoid (although I'll admit I've forgotten to do so). What these are is a series of inputs and their outputs. You first input ever possible value of ji to get every possible output. From that point je evolves as a discrete value that is added to every single one of the inputs. The outputs are any of the equations. And this is complicated but time is an ouput given in the paper I just posted and it essentially works the same as j, serving as initial and evolving inputs for the other equations. I talked a lot about this at the end of my May 5 post on page 4 although that was before I introduced j. Just look at any of my graphs involving varying frames of evolving time, and if you can figure out why the axis is shifting over time, then you probably understand what I mean.

1 hour ago, swansont said:

We were talking about a particle in a potential well, rather than a free particle. I want the time-independent solution as a function of position, as well as the energy eigenvalues.

I think you're sensing there's a problem with me using equations that have position outputs rather than inputs. This is not the case and I will illustrate that in an example soon.

1 hour ago, studiot said:

And you respond with a personal insult about my mathematics skills.

I'm sorry if I insulted you. I know to a certainty that you're better at math than I am. But you've been a bit insulting yourself. What goes around comes around.

Edited by John Henke

6 hours ago, John Henke said:

That's exactly what the Dirac equation uses.

Given that the energy of a massive particle is

[math]e=mc^2 [/math] which quite frankly is one of the more famous formulas and incredibly well tested.

While the energy for a massless particle is [math] e=pc[/math]

How can you possibly believe [math] e=p_x+p_y+p_z+m [/math]

And please don't try and tell me that is according to Diracs equation.

  • Author
9 hours ago, Mordred said:

How can you possibly believe e=px+py+pz+m

And please don't try and tell me that is according to Diracs equation.

Why I say it's from the Dirac equation should become clear in this video starting at 12:30. But a summary is that E^2=(pc)^2+(mc^2)^2 in natural units is E^2=p^2+m^2. Dirac used the gamma matrices to get E=p+m. And then at 12:50 it says that Dirac substituted in the momentum and energy operators in for the equation E=p+m. Note that I used a bar over my E, p and m and that is my shorthand for my energy eigenfunction, momentum eigenfunction and the theoretical mass eigenfunction (although, again, these are not actually functions).

Now the mass eigenfunction is an obvious weak point as it doesn't seem to occur in nature (but then again, if it did it might be hard to measure because there's no movement through the 4th dimension). At any rate, I only have a vague understanding of QFT and so if I make a mistake, correct me, but it's my understanding the mass is the minimum frequency of a particle. My interpretation of this is that the particle is moving through the fourth dimension and the rate it's moving determines this minimum frequency as omega overbar4=mu overbar where omega overbar4 determines the minimum frequency and mu overbar determines the rate through the fourth dimension.

But my model is not simply based on copying and pasting the mathematics of others. I also have my own intuitions on why it makes sense. Momentum in a particular spatial dimension is determined by the rate the particle is moving through that dimension, and I've shown why that is. I've also shown why mass is almost the same but is movement through the fourth dimension. I've argued that the resultant vector of these is energy. The x and 4th dimension are at a right angle where the rate of each is determined by px overbar and m overbar respectively. If the rates through the y and z dimensions are zero, then energy for this particle reduces to the resultant vector of these two. This forms a right triangle with energy on the hypotenuse and mass and momentum on the adjacent and opposite sides. If m=E, then the particle is moving through the fourth dimension at the speed of light. If px=E, then the particle is only moving through the x dimension at the speed of light. More generally, v=p/m. I believe this will get the correct rotations in the x' and t' axes such that this will be Lorentz invariant, and if that's not clearly the case, let me know. So momentum and mass determine a ratio that gets the speed while the hypotenuse, the energy, represents the overall scale of the triangle and therefore the scale of the ability of p and m to affect the momentum and mass of other particles.

My next long post will be on a model of the Dirac matrices that is more philosophical, but until then the equation that can be used is

961685824_Diraclikeversion.PNG.5c3dbccb021859de4c51e8dfdf6c1906.PNG

 

Edited by John Henke

  • Author

I should add, that I believe this equation should apply to both confined and free particles.

You would just need to apply boundary conditions and use V overbar and underbar and its energy, momentum and mass eigenfunctions.

56 minutes ago, John Henke said:

I should add, that I believe this equation should apply to both confined and free particles.

You would just need to apply boundary conditions and use V overbar and underbar and its energy, momentum and mass eigenfunctions.

Thank you for posting this information and the video. +1

Hopefully it gives a guide to your thinking.

But the video also shows exactly what I said.

You have missed out a term from the simplest form of the Dirac equation.

At about two and a half minutes the video introduces an equation which includes a Ψ.
This is maintained right through the subsequent development from Schrodinger to Klein Gordon  to Dirac.
It is discussed in detail at 10 minutes and appears in the finale display of the Diract equation at fifteen and a half minutes.

So you are missing this.

BTW the video is not bad but carefully emphasises it is the Dirac equation for an isolated particle only.

It doesn't tell you but this is because it is developed from the original energy statement which only accounts for kinetic energy it is deficient.

The fun arrives when you include a potential term or terms (as Dirac did).

 

I also said your posting graphs on a 'sheet of paper' along with the stament that the blue squiggles are real and the gold imaginary (ie a single plane) amounts to saying that you are claiming the imaginary and real  axes are one and the same thing.

The gold squiggles can only appear on the same plane as the blue at isolated points since the imaginary axis must, of necessity, be orthogonal to the two real ones.

Sadly your video also made this mistake, although other than that it makes a creditable fist of a short introduction to Dirac.


 

Edited by studiot

  • Author
1 hour ago, studiot said:

At about two and a half minutes the video introduces an equation which includes a Ψ.

Though the mathematics vary from QM, my graphs do not, and I haven't seen anyone provide evidence otherwise. The graphs of the wavefunction, the x eigenfunction, p eigenfunction and E eigenfunction all seem to look precisely the same. My goal is not to get an equation that equates to Dirac's because there's only one equation that does that, and that's Dirac's. My goal is to get an equation that physicla phenomena could be based on, and if my mathematics lead to all the measurably same results as Diracs (i.e. the graphs of the two equate), then I see no problems with any discrepancies between the equations.

1 hour ago, studiot said:

I also said your posting graphs on a 'sheet of paper' along with the stament that the blue squiggles are real and the gold imaginary (ie a single plane) amounts to saying that you are claiming the imaginary and real  axes are one and the same thing.

You've misread the graphs. This wasn't my choice, I would have preferred a 3D model as well, but this is just the way Mathematica graphs complex functions. You just have to take the graph at a particular point in the function and look at its blue value which tells you the real part and the gold value which tells you the imaginary part and then you can write that on a piece of paper if it helps, but that's the value you would get if you put that particular input into the equation.

1 hour ago, studiot said:

Thank you for posting this information and the video. +1

I'm glad you enjoyed the video. His explanation is very clear.

Edited by John Henke

18 hours ago, John Henke said:

Then I apologize for the oversight. I meant to say the components can measure one another.

Components of what?

Quote

So if you look at some of my graphs where they just look like lines. They look like lines but there's actually an incredibly small curvature. This curvature, I would argue, is the same curvature Einstein described in spacetime.

1. This is QM, not GR.

2. The curvature of spacetime in GR is caused by energy-momentum. It’s not an arbitrary effect. There are equations that relate the curvature to its cause.

 

Quote

The cause has to do with the definition of e: (1+1/n)^n. If we were to put in the a value of 1 for n, we would get 2. Then if we put in 2, we would get 2.25. If we put in 3, we get 2.37, etc. Now at the high values of n, you saw that it was linear, but here it was not linear. If it were linear we would expect n=3 to have a value of 2.5. This is because the lower the value of n, the higher the curvature and at these extremely low values in n, the curvature is extreme, but at the extremely high values in n that are actually used, the curvature is imperceptible.

You’re just kicking the can down the road. These variables need to tie back to some physical property, not just some other variable that has no physical significance 

 

Quote

Gravity at the least

Gravity is a tiny effect. If your model doesn’t predict the behavior of particles we already deal with on the atomic/nuclear scale, it’s not going to matter if it gets gravity right.

 

Quote

 

Well I do have the momentum eigenfunction which is scaled by k bar. Do you have any recommendations, hopefully something relatively easy that might fit with my work?

Do you mean momentum as a function of position, or the wave function in momentum space? Have you graphed this and presented it?

Can you apply an operator to get the position wave function?

Quote

Well, Mathematica knows exactly what I mean, so it has to be well defined in the sense that it can be read programmatically. But in my new relativistic model ji and je basically do the work that ti and te had done before. It is difficult for me to explain. I think I'll write a longer post on this some time soon.

Mathematica is doing math. We’re allegedly doing physics. That means connecting the math to behavior seen in nature

 

Quote

I think the problem we're having is in equivocation of the term "function." I've talked about this before, but function is a word I've been meaning to avoid (although I'll admit I've forgotten to do so). What these are is a series of inputs and their outputs. You first input ever possible value of ji to get every possible output. From that point je evolves as a discrete value that is added to every single one of the inputs. The outputs are any of the equations. And this is complicated but time is an ouput given in the paper I just posted and it essentially works the same as j, serving as initial and evolving inputs for the other equations. I talked a lot about this at the end of my May 5 post on page 4 although that was before I introduced j. Just look at any of my graphs involving varying frames of evolving time, and if you can figure out why the axis is shifting over time, then you probably understand what I mean.

Not knowing what je physically represents renders this meaningless.

 

6 hours ago, John Henke said:

My next long post will be on a model of the Dirac matrices that is more philosophical, but until then the equation that can be used is

!

Moderator Note

It had better not be. You are not complying with our rules, and forging ahead without satisfying our rule about being able to test your model would be a mistake, and may result in locking the thread. You have gotten a lot of leeway thus far, but we need you to be more responsive before you start lecturing further, and we are discussing physics rather than philosophy 

 
  • Author
1 hour ago, swansont said:

Components of what?

You multiply and/or divide the components, and you get x eigenfunctions, wavefunctions, momentum eigenfunctions and energy eigenfunctions.

1 hour ago, swansont said:

1. This is QM, not GR.

The goal of my mathematics is not only to describe physical phenomena but to give the equations that the universe uses to exist. This is because I argue the universe is completely mathematical in structure.

1 hour ago, swansont said:

2. The curvature of spacetime in GR is caused by energy-momentum. It’s not an arbitrary effect. There are equations that relate the curvature to its cause.

Yes, but it's not yet known why there is curvature. I'm providing an answer to that question in a way that ties the micro and macro together seamlessly.

 

1 hour ago, swansont said:

Gravity is a tiny effect. If your model doesn’t predict the behavior of particles we already deal with on the atomic/nuclear scale, it’s not going to matter if it gets gravity right.

I'm a bit baffled as to why you'd say that. My model does predict the behavior or particles and no one has provided evidence to suggest otherwise. Run the numbers yourself if you doubt anything, or just download one of the Mathematica notebooks I've uploaded.

1 hour ago, swansont said:

Do you mean momentum as a function of position, or the wave function in momentum space? Have you graphed this and presented it?

Can you apply an operator to get the position wave function?

Momentum space. Yes. And yes although my mathematics don't exactly involve operators.

I'm surprised and confused why none of this has registered before. I would encourage you to run through the mathematics yourself. They work. Again, you should read the second half of the May 5th post on page 4 of the thread as it explains what seems to be confusing you.

1 hour ago, swansont said:

Mathematica is doing math. We’re allegedly doing physics. That means connecting the math to behavior seen in nature

This statement underlies one of two approaches to explaining physical phenomena. The one that has predominantly been used up to this point is yours. You start by looking at observable phenomena and then describe it using mathematics. By this approach, the only virtue a theory can have is that it correctly describes physical phenomena.

My approach is actually more rigorous. I don't only demand that it describe physical phenomena but I also demand that it fit a complete narrative of how the universe could have come from nothing. By these higher demands, I find the current theories to be insufficient because they provide no explanation of how the universe came from nothing that is free enough from abstraction and some sense of mysticism.

My approach started not by looking at physical phenomena, but by asking the question, how could the universe come from nothing? My answer was that 0=U where U is a universe completely mathematical in structure. Therefore, it required mathematics that were simple enough that the universe could have used them without consciousness to create itself. I believe I may have found such mathematics in the equations I've given.

One downside to starting with philosophy and working my way up to the observable is that I don't know how exactly the universe used some of my mathematics to create itself. So I don't know the exact values used as j, n, or s, although I do know what they do and why it causes my graphs to equate to the QM graphs of the wavefunction, the x eigenfunction, the momentum eigenfunction and the energy eigenfunction, and now I've also argued that I have an equation for Dirac's. I'm very confused as to why none of this seems to be registering with you.

 

Again as far as I can tell, a universe could have been created with the two equations I originally posted, each of which is quite short and simple. And you may disagree, but I would appreciate the evidence as to why.

1 hour ago, swansont said:
7 hours ago, John Henke said:

My next long post will be on a model of the Dirac matrices that is more philosophical, but until then the equation that can be used is

!

Moderator Note

It had better not be. You are not complying with our rules, and forging ahead without satisfying our rule about being able to test your model would be a mistake, and may result in locking the thread. You have gotten a lot of leeway thus far, but we need you to be more responsive before you start lecturing further, and we are discussing physics rather than philosophy 

After going over the second half of my May 5 post on initial time, and my May 7 post on eigenfunctions, both of which are on page 4 of this thread, what would you like to see me go over next? I'm endeavoring to be totally transparent in my mathematics. Partly I'll admit I'm posting things on this thread to get my foot in the door for certain equations, and so if I seem to be jumping ahead, that's the motive. But what else seems problematic? My eigenfunctions have been redefined, but the mechanics are the same.

Anyway, I get the impression you've just been skimming my posts at best, and so I do have to admit there's a certain sense of boredom to repeating myself constantly. But I will continue to do it, not that it's kept me out of trouble.

I respect your knowledge and intelligence both of which are greater than mine in many respects. But when it comes to this particular mathematical phenomena, I'd hope you'll admit, I'm the world's leading expert and until your expertise on these mathematics rivals mine I would hope your sarcasm and aggression would be minimalized. I'm hoping the expertise of those contributing to this post in conjunction with mine can get this model more accurately describing physical phenomena than it already is. I hope you allow that to happen.

Edited by John Henke

  • Author

Just closely read my May 5 post on pg 4, and then run the mathematics yourself, and that will answer virtually all questions not having to do with relativity.

Edited by John Henke

1 hour ago, John Henke said:

I'm surprised and confused why none of this has registered before. I would encourage you to run through the mathematics yourself. They work. Again, you should read the second half of the May 5th post on page 4 of the thread as it explains what seems to be confusing you.

I can’t. You haven’t explained what these variables mean, and haven’t run through an example in sufficient detail or clarity to figure any of that out.

 

1 hour ago, John Henke said:

This statement underlies one of two approaches to explaining physical phenomena. The one that has predominantly been used up to this point is yours. You start by looking at observable phenomena and then describe it using mathematics. By this approach, the only virtue a theory can have is that it correctly describes physical phenomena.

My approach is actually more rigorous. I don't only demand that it describe physical phenomena but I also demand that it fit a complete narrative of how the universe could have come from nothing. By these higher demands, I find the current theories to be insufficient because they provide no explanation of how the universe came from nothing that is free enough from abstraction and some sense of mysticism.

At the end of it all your model has to match nature. If it doesn’t, it’s wrong.
 

1 hour ago, John Henke said:

My approach started not by looking at physical phenomena, but by asking the question, how could the universe come from nothing? My answer was that 0=U where U is a universe completely mathematical in structure. Therefore, it required mathematics that were simple enough that the universe could have used them without consciousness to create itself. I believe I may have found such mathematics in the equations I've given.

One downside to starting with philosophy and working my way up to the observable is that I don't know how exactly the universe used some of my mathematics to create itself. So I don't know the exact values used as j, n, or s, although I do know what they do and why it causes my graphs to equate to the QM graphs of the wavefunction, the x eigenfunction, the momentum eigenfunction and the energy eigenfunction, and now I've also argued that I have an equation for Dirac's. I'm very confused as to why none of this seems to be registering with you.

You haven’t shown any of this is in a way that be compared with known results.

1 hour ago, John Henke said:

Again as far as I can tell, a universe could have been created with the two equations I originally posted, each of which is quite short and simple. And you may disagree, but I would appreciate the evidence as to why.

I’m not asking about the creation of the universe. Kindly address question I am asking, and refrain from distractions 

 

1 hour ago, John Henke said:

After going over the second half of my May 5 post on initial time, and my May 7 post on eigenfunctions, both of which are on page 4 of this thread, what would you like to see me go over next? I'm endeavoring to be totally transparent in my mathematics.

I would like a time-independent solution to the particle in a potential well. I have been asking for this for some time. 

I’ve been focusing on that, rather than other problems. But your May 5 post has issues. (see below)

1 hour ago, John Henke said:

 

Partly I'll admit I'm posting things on this thread to get my foot in the door for certain equations, and so if I seem to be jumping ahead, that's the motive. But what else seems problematic? My eigenfunctions have been redefined, but the mechanics are the same.

Anyway, I get the impression you've just been skimming my posts at best, and so I do have to admit there's a certain sense of boredom to repeating myself constantly. But I will continue to do it, not that it's kept me out of trouble.

Repeating yourself is the problem. I’m asking for information you haven’t posted. 

 

1 hour ago, John Henke said:

I respect your knowledge and intelligence both of which are greater than mine in many respects. But when it comes to this particular mathematical phenomena, I'd hope you'll admit, I'm the world's leading expert and until your expertise on these mathematics rivals mine I would hope your sarcasm and aggression would be minimalized. I'm hoping the expertise of those contributing to this post in conjunction with mine can get this model more accurately describing physical phenomena than it already is. I hope you allow that to happen.

We’re on page 7. You’ve had plenty of opportunity to address questions.

On 5/5/2020 at 10:19 AM, John Henke said:

Combed through it some more and found more corrections.388095960_Correction11.thumb.PNG.8662a7d2c1220986911729ff683e2f26.PNG1001704499_Correction22.thumb.PNG.f4b47049e9d81315b754559d2c8c9350.PNG133910619_Correction33.thumb.PNG.b7c1e0e986cac3629c0e41bce197c717.PNG941077748_Correction44.thumb.PNG.58135f5f0537e18bcfb4ec7c0a453db4.PNG

OK, your May 5 post.

If P depends on omega bar, s and te, what is the equation for P? How can it be equal to Planck’s constant, which is a constant, and doesn’t have units of momentum?

I’ll leave it at that, for starters.

  • Author

Are you going to bother to deny that you've only been skimming my posts because there's plenty of evidence to the contrary.

I don't mind people skimming my posts. People are busy and they don't want to take the time to sit down and study someone else's speculative theory. I get it. But you being so cynical if that's the case--that's what bothers me.

Edited by John Henke

55 minutes ago, John Henke said:

Are you going to bother to deny that you've only been skimming my posts because there's plenty of evidence to the contrary.

I don't mind people skimming my posts. People are busy and they don't want to take the time to sit down and study someone else's speculative theory. I get it. But you being so cynical if that's the case--that's what bothers me.

I don’t see the utility of going into depth when there are obvious errors and omissions. When you present a variable but don’t explain what it is, I’m not going to understand the equation that includes it. And you’ve introduced multiple unexplained variables.

When you refuse to address questions, that raises alarms. It suggests you can’t.

  • Author
1 hour ago, swansont said:

I don’t see the utility of going into depth when there are obvious errors and omissions. When you present a variable but don’t explain what it is, I’m not going to understand the equation that includes it. And you’ve introduced multiple unexplained variables.

Imagine you're on a distant planet where they use my equations to describe the wavefunction and its eigenfunctions and haven't yet discovered the equations used on Earth. You discover the equations we use on Earth and present them with e^i(kx-wt). One of them asks what e is. It's (1+1/n)^n as n approaches infinity, you explain. Well, what physical property does that express and what is n, they say. You explain that it doesn't express a physical property and that n doesn't either, so they are dismissive of your theory and claim it's incalculable.

Do you have access to mathematica? If you're seriously going to pretend you can't do my calculations, I will do them for you.

Edited by John Henke

10 minutes ago, John Henke said:

Imagine you're on a distant planet where they use my equations to describe the wavefunction and its eigenfunctions and haven't yet discovered the equations used on Earth. You discover the equations we use on Earth and present them with e^i(kx-wt). One of them asks what e is. It's (1+1/n)^n as n approaches infinity, you explain. Well, what physical property does that express and what is n, they say. You explain that it doesn't express a physical property and that n doesn't either, so they are dismissive of your theory and claim it's incalculable.

That’s a math question. A physics question might be to present the solution to hydrogen energy levels. Can you do that?

 

10 minutes ago, John Henke said:

Do you have access to mathematica? If you're seriously going to pretend you can't do my calculations, I will do them for you.

No, I don’t.  But access to software doesn’t tell me what value to assign to a variable, when I don’t know what it represents. 

Do the calculation that solves the particle in a potential well. 

  • Author
7 minutes ago, swansont said:

That’s a math question.

That's exactly my point. Can you tell me what physical phenomena my equations are incapable of expressing and give me some constructive criticism for a change?

Edited by John Henke

4 minutes ago, John Henke said:

Can you tell me what physical phenomena my equations are incapable of expressing

As suggested, why not show us that they can calculate physical. You have just avoided doing this again.

2 minutes ago, John Henke said:

That's exactly my point. Thank you for making it. Can you tell me what physical phenomena my equations are incapable of expressing and give me some constructive criticism for a change?

I don’t know what they are capable or incapable of expressing. You have not mapped your variables to observables, nor have you worked a problem that can be compared to experiment.

At the moment, it looks like the answer is “all of them”

How is “you need to explain what your variables mean” not constructive? Same for “you need to show the time-independent solution” and “this needs to be shown as a function of position”

Archived

This topic is now archived and is closed to further replies.

Important Information

We have placed cookies on your device to help make this website better. You can adjust your cookie settings, otherwise we'll assume you're okay to continue.

Account

Navigation

Search

Search

Configure browser push notifications

Chrome (Android)
  1. Tap the lock icon next to the address bar.
  2. Tap Permissions → Notifications.
  3. Adjust your preference.
Chrome (Desktop)
  1. Click the padlock icon in the address bar.
  2. Select Site settings.
  3. Find Notifications and adjust your preference.