Skip to content

An Alternative Equation for the Wavefunction and its Eigenfunctions

Featured Replies

You should be able to take a wavefunction and identify key properties directly from that wavefunction.

The mass term of the particle has a direct affect on the wavefunction. That is one example parity and charge are others. Even helicity is identifiable.

 Unfortunately many of the details are extremely difficult to find in textbooks and articles on the web. 

Lol it's almost as difficult to identify a particle from LHC scattering experiments the shape of the curl, length etc are pieces of the puzzle to identify the particle.

No one questions you can generate waveforms. What we question is whether or not they accurately represent a given particle beyond your declaration.

Edited by Mordred

4 hours ago, John Henke said:

A lot of your often sarcastic criticisms seem to involve you not taking the time to read the explanations on the forum, much less the article, and then criticizing me based on your confusion and ignorance.

My position is that my confusion and ignorance reflect your poor explanation 

 

4 hours ago, John Henke said:

But you’re right—delta, epsilon and iota could use a more detailed explanation. When I use plus or minus signs I expressly don’t mean that you substitute that plus or minus sign into the equation. In all cases you either substitute in a positive one or a negative one, or a positive i or a negative i. Now with lowercase betas, for example, that would mean there would be four different versions. One would substitute delta=i and epsilon=i OR delta=-i and epsilon=i OR delta=-i, and epsilon=-i OR delta=i and epsilon=-i. Any of these four combinations would result in what I call a lowercase beta component which is a part of the larger category of what I call gamma components and also a part of the category of what I call lowercase gamma components. Each of these four combinations is going to have one of two chiralities (see image). Each chirality has two versions each of a different curvature (and I’ll get around to making a Mathematica notebook concerning curvature soon).  I’m inserting an image of a screen shot I took a long time ago. It’s of a few Mathematica notebooks and on the top left hand side I put the delta value as either i or -i and next to it is an fi (or fraction of i) that gives the epsilon value.

That doesn’t help. It doesn’t explain what the variables are, and how one might determine their value.

Are these observables? What do they represent? If not, how can you determine what they are?

 

 

I normally let others present their arguments and see how the OP respond on their own.

However in this case I concur with Swansont. I have no greater understanding what those variables are than Swansont does.

Here is the scary part both Swansont and I are both accredited Professional physicists. 

2 hours ago, John Henke said:

I think you mean that none of them have odd parity. And that's because I messed up the second equation and not because the equation's messed up. I think I would have to use a different type of component to get the phases to align correctly for k bar=1 vs k bar=9.

No an even parity graph must satisfy

[math]|\psi(x)|^2=|\psi(-x)|^2[/math] for even parity. Your graphs do not.

(Assigning x axis as direction of momentum of particle in lab frame)

So here is a challenge.

What is the formula for the condition of a wavefunction ?

Second challenge 

 How is charge identified  identification in a waveform ? What formula can you apply ?

Third question can you identify the helicity from a waveform ? And how would you do so ?

Fourth question can you identify its spin with the above questions ?

Far more complex can you determine the particles cross section ? Or mean lifetime ? Decay rate ? 

All these questions are determined from a particle wavefunction

Edited by Mordred

Little side hint do not trust wiki graphics on parity. First you must determine the particles position. What can be mistaken for transient noise is just as important as the probability of location via

[math]|\psi|^2 [/math]

Just as multiparticle systems can lead to transient noise within the region of highest probability of neighboring particles.

Edited by Mordred

  • Author
14 hours ago, Mordred said:

No an even parity graph must satisfy

|ψ(x)|2=|ψ(x)|2 for even parity. Your graphs do not.

I reworked my solutions to parity to get both even and odd and also to actually put the waveparticle (my version of the x eigenfunction) in the well by having it grow in the negative and positive directions to reach the boundaries. In so doing I discovered something fascinating. The location of the particles happened to be where the peaks in amplitude were highest. This is not because I wanted to place them there, but rather because I had to place them at one of the peaks in order to have real parts that were zero at the boundaries. The question then becomes why the probability would ever be anything but 100% that the particle will be at one of the peaks. One answer that connects to my explanation of the Pauli exclusion principle is that it may have to do with shifting the location of a particle by adding a flat initial time value or perhaps an evolving time value to its omega overbar t. The probability of such a shift might decrease proportionally to the amount of ti or te (initial or evolving time) required. This may cause a shift in position in the particle but decrease in likelihood proportionate to the square of the initial and/or evolving time required. I’ve included graphs that show some of the allowable x eigenfunctions (or waveparticles) juxtaposed to their parent eigenfunctions.

1554475405_NewParity1.PNG.1e362551b1f2cadf30b9fd086282c1c5.PNG214885280_NewParity2.PNG.c8c9fdcc4f542902b56bd4e7b688d60d.PNG1734175496_NewParity3.PNG.efbecc12f805aa703ce61e55cee8b742.PNG2131179483_NewParity4.PNG.f8b82f186447957325fcde67aab17aa4.PNG549429870_NewParity5.PNG.8b62e198960d9a5b7e5344f2a5b1c841.PNG1053040788_NewParity6.PNG.0be88bc30b2e2c3087df2fec3c4d6f3d.PNG

14 hours ago, swansont said:

My position is that my confusion and ignorance reflect your poor explanation 

Perhaps my notation is non-traditional or incorrect.

I am going to write up a post on the mechanics of the equation and I think that should also clarify my notation and the work of each symbol.

15 hours ago, studiot said:

Better still explain what f(ti) and ti are , since you have posted several graphs all different and all labellled with the same axes as well as one with axes labelled t and f(t)

The interpretation I like best is that the initial time contracts. To me this evokes the Higgs field because it has to do with certain particles existing in a “thicker” substance abstractly speaking. I talked about this in more depth on page three of the forum, but initial time is all the inputs the function has before each of those inputs starts to change all together due to the addition or subtraction of evolving time.

Thank you all for your insightful comments and questions. My article needs a transformative revision and that’s because of this forum.

Edited by John Henke

11 minutes ago, John Henke said:
14 hours ago, studiot said:

Better still explain what f(ti) and ti are , since you have posted several graphs all different and all labellled with the same axes as well as one with axes labelled t and f(t)

The interpretation I like best is that the initial time contracts. To me this evokes the Higgs field because it has to do with certain particles existing in a “thicker” substance abstractly speaking. I talked about this in more depth on page three of the forum, but initial time is all the inputs the function has before each of those inputs starts to change all together due to the addition or subtraction of evolving time.

 

Thank you all for your insightful comments and questions. My article needs a transformative revision and that’s because of this forum.

This avoidance of answering straightforward questions has gone on long enough.

Post reported.

  • Author
Just now, studiot said:

This avoidance of answering straightforward questions has gone on long enough.

Initial time and evolving time I did explain on the third page. You can do a ctrl-f search for it, and I am spending a lot of time each day researching and writing posts for this forum, and so I will explain everything in detail given due time, but frankly I am only one man and simply do not have enough time in the day to explain every detail of this expansive theory right away. If you guys would like slower, more methodical posts, then that's what I will do. I will provide one such post this evening addressing your and swansont's questions more thoroughly.

 

24 minutes ago, studiot said:

Post reported.

Anyway, that's seems a bit bullying. Now I feel pressured to write up that forum post for you despite the fact that all I want to do is try to figure out a better model for probability. Please be patient and understanding.

2 hours ago, John Henke said:

Please be patient and understanding.

!

Moderator Note

We're four pages into a discussion about your speculative idea. This section is all about making sure the underlying science is sound in your reasoning at each step before taking the next. The members see a flaw and they want that fixed before we bother talking about anything else. I hope you can appreciate that they're more than willing to learn something brand new, just as they're more than willing to help fill gaps in your knowledge by answering questions. What they aren't willing to do is waste the meaningfulness of discussion on flawed premises. Everyone has ideas, and most are wrong. We want to make sure nobody's time is wasted while giving your idea its best shot at finding a foothold in mainstream science. 

Please be patient and understanding.

 
  • Author
22 minutes ago, Phi for All said:

We're four pages into a discussion about your speculative idea. This section is all about making sure the underlying science is sound in your reasoning at each step before taking the next. The members see a flaw and they want that fixed before we bother talking about anything else. I hope you can appreciate that they're more than willing to learn something brand new, just as they're more than willing to help fill gaps in your knowledge by answering questions. What they aren't willing to do is waste the meaningfulness of discussion on flawed premises. Everyone has ideas, and most are wrong. We want to make sure nobody's time is wasted while giving your idea its best shot at finding a foothold in mainstream science. 

Please be patient and understanding.

Alright, I was working on a model of probability but I will drop that for now to write an extensive post going over the fundamentals.

I would like to write something of as high of quality and clarity as I can, is there a deadline for that post?

Edited by John Henke

  • Author

I would like to write out all the mathematics in crystal clear terms and will post it in no more than 2 to 3 days.

No problem take your time. Remember you should have enough detail that others can perform calculations that correlate to particle properties and be sufficient to identify the particle.

The wavefunctions of a neutron or proton will be considerably different from each other or an electron even though all three are spin 1/2.

(Every different particle type will have unique wavefunctions )

Here is you criteria for even odd parity.

https://www.google.com/url?sa=t&source=web&rct=j&url=https://m.youtube.com/watch%3Fv%3DJxOi7q6xWSk&ved=2ahUKEwiLx_7UxpPpAhURsJ4KHUnUAIIQwqsBMAZ6BAgEEAk&usg=AOvVaw1Niks0rr1LOR2LAvFzqaqc

Recall the Schrodinger animation. That animation showed a free particle with its DeBroglie wavelength and even parity. So you have a boson being the particle in that animation. ( The central peak being the highest probability region of particle location.)

Edited by Mordred

The follpwing data may be useful in establishing correspondence between your equations and conventional solutions of the Schrodinger equation for Hydrogen.

These are also the product of two functions remember I said about a second order differential equation leading to two functions ( we can explore that more thoroughly if you like).

Sorry about the quality of the scans, you can see from the page numbering that it is a very thick book, which won't go flat on the platten.

You should start reading from the right hand page at Apprndix 1 Atomic Orbitals.

 

hydorb1.thumb.jpg.c4c459c74e66b4df5989bcedc0c1a384.jpg

hydorb2.thumb.jpg.95d0e2d312a8bca3c7514a7e489632f9.jpg

 

hydorb3.thumb.jpg.df194125cb671463ac79247f23e26881.jpg

  • Author

The goal of this post is to make clear how to run these calculations and the logic behind them has been omitted except where it is needed to illustrate how to run the calculations. I’ve removed delta, epsilon, iota, rho, kappa and lowercase alpha as well as any other point of confusion I could find. This has made the post long, but the math should now be well defined.

1286700845_Page1.thumb.PNG.75b0cd2b4cbc63fa67a87ee5995ddf46.PNG1472255476_Page2.thumb.PNG.1f39619b84fa58b11f32fb1766975f4c.PNG1112257092_Page3.thumb.PNG.67d05fd5bbce10f92d2fc39f14a5912f.PNG799614499_Page4.thumb.PNG.b17ed03bf31e1b033af2be1b1465a321.PNG833947193_Page5.thumb.PNG.4f0233776f722077593fcd8080ba0a71.PNG99956376_Page6.thumb.PNG.4b2ec11c2b3d52aa0c3e3ab7be3d7a77.PNG1757641839_Page7.thumb.PNG.722efd8021865bcabd553843f8d88dcc.PNG2133592642_Page8.thumb.PNG.04533df82fbed4fba92bbcbe99a9578e.PNG1947138951_Page9.thumb.PNG.907ca8f7cd46199ff3251c94702bc276.PNG1103039257_Page10.thumb.PNG.cb7806efe0a7eeab526d38431e56ce35.PNG645943566_Page11.thumb.PNG.6381108de06033ee3d6e829e0b067efb.PNG1866871_Page12.thumb.PNG.59e09968d17cd98a5d131b00e2c3712f.PNG2132745692_Page13.thumb.PNG.0630119ded6a34053ad26c1d724424f9.PNG520867959_Page14.thumb.PNG.fa37673d7413f73c9a68ab0bb003515a.PNG1925859673_Page15.thumb.PNG.f4cf1618401b4f37380e835bdccaa333.PNG1878465812_Page16.thumb.PNG.3a227a4f0b623c30bb141f10ef054efa.PNG

 

 

Page 17.PNG

Page 18.PNG

List of Terms and Equations 1.0.docx

In the ways this is a mathematical phenomena, in those ways it stands as apart from me as Euler’s identity did from him. Just as theoretical physicists have used the phenomena of Euler’s identity to describe quantum phenomena, so too have I endeavored to use this mathematical phenomena to describe the universe. And so this leads two questions. The first is whether or not I have described the universe using this phenomena and the second is whether or not the universe can be described using this phenomena. It may be important to differentiate these questions as they may have different answers.

I assume that the universe is purely mathematical in structure and so to adhere to my own assumption no aspect of my theory should be anything but math. I have and will use abstractions but I expressly agree that they should never be divorced from their mathematical representations.

If you have suggestions on how to improve the notation or general clarity of the math, let me know and I will change it. I would like the mathematics to be perfectly clear so let me know if there’s anything that isn’t.

Edited by John Henke

  • Author

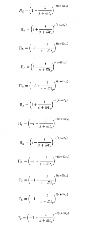
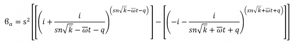
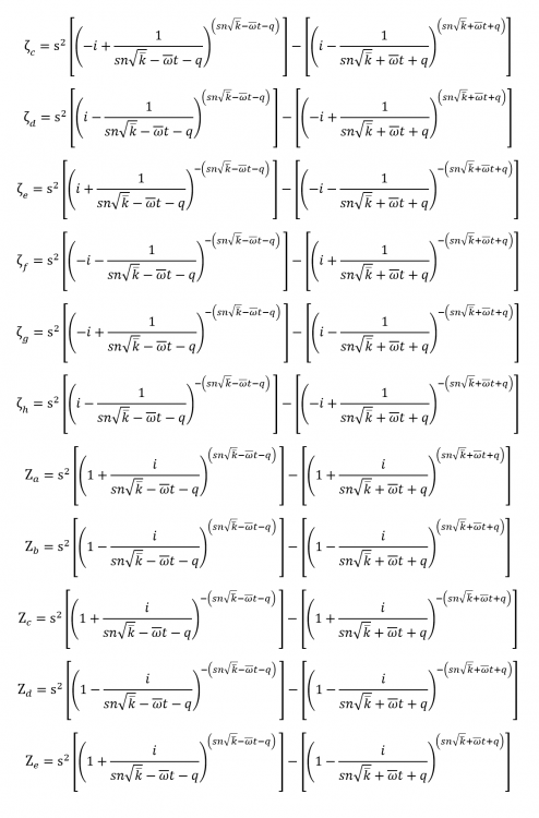
I made a mistake with the gamma components. The s^2 term should multiply the rest of the equation, so there should be brackets around everything else.

 

So for example, beta sub a should look like this:1859610858_correctionbrackets.thumb.PNG.0967baaac1258d04b884350cffcea535.PNG

Another correction:

1321960540_AnotherCorrection.PNG.439ca01ac9a689b11ed012a0d0f6683f.PNG

Also, lambda should have the same total scale that theta is based on.

Also, all components in the same dimension have the same values for k overbar. And all components in the same equation have the same values for omega overbar and q.

Anyway, obviously there are errors to be corrected, but I'm going to bed.

Edited by John Henke

Ok thanks for a few more details. A couple of questions 

What do you mean by the statement "a particle with curvature " 

Secondly while I agree one can describe all dynamics of the universe mathematically. I wouldn't go so far as state were in a mathematical universe.

Mathematics describe or represent not cause.

Ok same challenge take any of your waveforms and calculate the mass and momentum. My point hasn't changed you need to be able to derive key particle properties from a wavefunction.

 

  • Author
14 hours ago, Mordred said:

What do you mean by the statement "a particle with curvature " 

If you were to graph over ti, for example, an uppercase gamma component, then it would appear to be linear, but if you zoom in close enough, you'd see there's actually a very slight curvature. Components with a negative exponent have negative curvature, and components with a positive exponent have a positive curvature (I think, I haven't yet run every single number). For omega components, the lower the value of s+te, the higher the curvature will be. For gamma components, the lower the value of sn*Sqrt(k), the higher the curavture will be. If particles have the same values for these variables but opposite curvatures, their curvatures mostly cancel, but there is still an extremely small remainder. Using this curvature to concisely describe some physical phenomena would be the primary method of testing it, but that challenge has so far proven to be well beyond my abilities. There are so many possibilities and combinations of variables, and I don't know enough about the nitty-gritty details of how force works much less dark matter and energy. If you'd like to hear some of my highly speculative theories on this let me know.

14 hours ago, Mordred said:

Secondly while I agree one can describe all dynamics of the universe mathematically. I wouldn't go so far as state were in a mathematical universe.

Mathematics describe or represent not cause.

A functionalist would argue your first and third sentences contradict. If the function of math can truly equate to the function of physical reality, what is it about physical reality that transcends its mathematics? And I mean function in the philosophical sense (although it may be in the mathematical sense as well).

Can we agree the universe came from nothing? If so can you come up with a better explanation than "0=U" where U is the universe? This is highly theoretical, but I would speculate that there might be a mostly negative and a mostly positive half to the universe and that if the entirety of the universe were added together, it would equate to zero.

14 hours ago, Mordred said:

Ok same challenge take any of your waveforms and calculate the mass and momentum. My point hasn't changed you need to be able to derive key particle properties from a wavefunction.

I've got a few cards up my sleeve, but before I play them, I need to know something that's not easy to look up on the internet. In nature (nature and not necessarily the current mathematics we use), is it clearly the case that the p eigenvalue is never higher than the E eigenvalue? Because my favored model requires the p eigenvalue be higher than the E eigenvalue in all cases except when the particle is moving at C in which case they'd equate. This is essentially because it's based on v=E/p.

Edited by John Henke

  • Author

I ask because I dont want to waste your time with my long winded explanation if its built on a false premise.

You should be basing your momentum of the particle by the energy momentum relation.

[math]E^2=(pc)^2+(m_0c^2)^2[/math]

If your not then you definitely have the wrong energy to mass and momentum relation. The above formula covers both massive and massless particles.

Why is your frequency changing in your graphs if your looking for the particle wavefunction ? That in itself doesn't make sense. 

Take a close look at DeBroglie and Compton wavelength (including the mass term).

Also look at the waveforms in Studiots post.

 

 

Edited by Mordred

  • Author
21 hours ago, Mordred said:

Why is your frequency changing in your graphs if your looking for the particle wavefunction ? That in itself doesn't make sense. 

You've got a sharp eye. I just made a mistake. They equations don't change frequency when calculated correctly.

21 hours ago, Mordred said:

Also look at the waveforms in Studiots post.

I'm not sure which ones you mean exactly and I'm not sure what you're trying to show, but in any case I have to go to my default answer for these more complicated questions which is, "if e^i(kx-wt) can do it, then why can't my equation?" I'm not trying to reinvent the car, I'm just trying to reinvent the--well, the wheel.

21 hours ago, Mordred said:

You should be basing your momentum of the particle by the energy momentum relation.

1211966789_5-16pg1.thumb.PNG.0ec9ef3b5c59f8a3022a57fe9bd35da5.PNGf1009644476_5-16pg2.thumb.PNG.0df66d9c446d7764b0d13be3c7f83223.PNG

My Version of the Wavefunction

1612480400_5-6Waveforms.thumb.PNG.6554617abb74a420646ac3c828d1cedc.PNG

My Version of the X Eigenfunction

1654809666_5-6Xeigenfunctions.thumb.PNG.b5aaf74c3732525a5673c785e80b81df.PNG

My Version of the Energy Eigenfunctions

1120883078_5-6EnergyEigenfunctions.thumb.PNG.5a471929fa7f1301b046538766f59cf9.PNG

My Version of the Momentum Eigenfunctions

1950883569_5-6peigenfunctions.thumb.PNG.8057ca4af1ff3975363ec449c177ce38.PNG

1053308892_5-16pg3.thumb.PNG.dafec6763cfa01fd92b49ebbc1568655.PNG1330906573_5-6Spinlessversions.thumb.PNG.55bc58b41f174c042a644acf1ed54f1a.PNG

1973976447_5-16pg4.thumb.PNG.b443e7d7eacdf46d5ddb1f42b47de39e.PNG1514029051_5-16pg5.thumb.PNG.56345252e2494bc1b9a2a5efcd2ec026.PNG

List of Terms and Equations 2.0.docx

2 hours ago, John Henke said:

 

I'm not sure which ones you mean exactly and I'm not sure what you're trying to show, but in any case I have to go to my default answer for these more complicated questions which is, "if e^i(kx-wt) can do it, then why can't my equation?" I'm not trying to reinvent the car, 

The post Studiot placed showing the eigenvalues for atomic orbitals.

If your going to reinvent the wheel then you should at least apply the required quantum formulas.

The energy momentum equation was one example.

How many times have I mentioned mass and the need to be able to determine the particle mass from your waveforms ?

If you cannot determine the mass then you cannot identify the particle the waveform represents. The mass term is part of the particles momentum term. This sets the possible values for the wave vector. (In QM it's k.) 

Edited by Mordred

  • Author

Im confused about whether you read the post and you're saying it doesn't work or whether you skimmed the post and didn't see my equation for mass.

I've got a definiton for what seems to equate to Planck's constant. And k bar  and omega bar are the same as k and omega. And minimum frquency seems to be the same as mu. Ive got a definition of C. So you can multiply those together to get QM version of the energy momentum relation. My biggest concern is that the definitions of wavelength and the eigenvalues don't line up right. 

Edited by John Henke

Archived

This topic is now archived and is closed to further replies.

Important Information

We have placed cookies on your device to help make this website better. You can adjust your cookie settings, otherwise we'll assume you're okay to continue.

Account

Navigation

Search

Search

Configure browser push notifications

Chrome (Android)
  1. Tap the lock icon next to the address bar.
  2. Tap Permissions → Notifications.
  3. Adjust your preference.
Chrome (Desktop)
  1. Click the padlock icon in the address bar.
  2. Select Site settings.
  3. Find Notifications and adjust your preference.