Skip to content

An Alternative Equation for the Wavefunction and its Eigenfunctions

Featured Replies


 

An alternative equation for the wavefunction and its eigenfunctions is provided in the linked video. These alternative equations result in graphs that look the same as those of the wavefunction and its eigenfunctions despite the fact the mathematics are unrecognizably different. This new equation is, in its simplest form, what looks like an x eigenfunction but with spins 1/2, 1 or 0. This single equation is divided by copies of itself to form the energy and momentum eigenfunctions. The zero spin x eigenfunction is argued to be the equation for a particle and an expression of an x axis that is relativistic and the change in the location of x=0 over time traces the path of the t axis, both of these rotating based on the rate of growth of this x eigenfunction, which is a function of time. This theory can be rigorously tested as it provides a model of force based on a naturally occuring curvature in the x eigenfunctions over time. It has easily calculable curvatures matching gravity or electromagnetism, but it is less clear whether it works for the strong and weak forces. If the variables were altered such that the forces scaled correctly, it would canonize this equation.

 

Hello, John I see you are new here, have you read the rules ?

In particular before the mods remove your half hour video can you pinpoint on its timeline where we might view the actual equation and the list of boundary conditions you are applying?

Better still, simply post them here for discussion.

  • Author

Are they going to remove the video?

I'd love to post all the math but I'm not sure how. Can you post images?

To answer your question, half of it is around 3:30 and the other half around 22, equations for gamma and omega respectively. The two multiply.

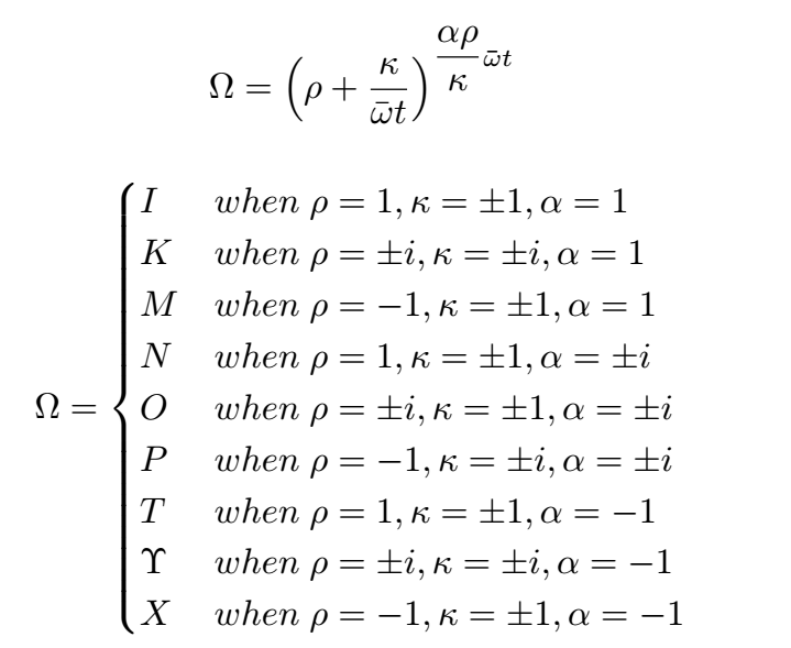
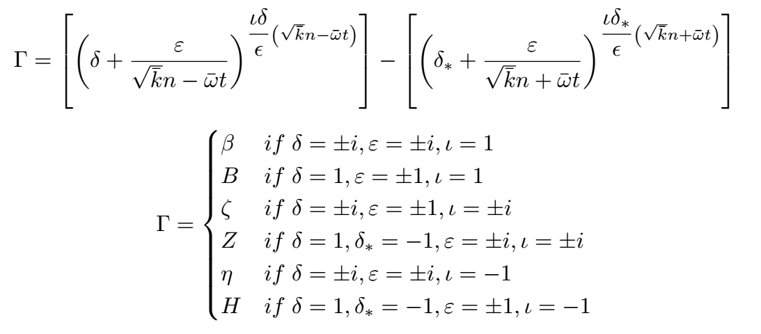
I've attached pictures of the two equations. Keep in mind they multiply.

Equation for Gamma.PNG

Equation for Omega.PNG

25 minutes ago, John Henke said:

1) Are they going to remove the video?

2) I'd love to post all the math but I'm not sure how. Can you post images?

3) To answer your question, half of it is around 3:30 and the other half around 22, equations for gamma and omega respectively. The two multiply.

4) I've attached pictures of the two equations. Keep in mind they multiply.

Thank you for a good reply. +1

1) I hope not as I will have time to review it properly later on tonight.

2) This site uses MathML insert code as follows [math].......ML code....[/math]

It used to use LaTex but that can now be unreliable.

free sites for generating code (copy/paste) are

codecogs (apparantly not working at the moment) so

http://www.moreofit.com/similar-to/latex.codecogs.com/Top_10_Sites_Like_Codecogs_Latex/

sciweavers

http://www.sciweavers.org/free-online-latex-equation-editor

 

3) thanks

4) noted

 

5) Note you have 5 posts available in the first 24 hours so no reply expected use your next 3 wisely.

:)

 

What is a \(\bar{k}\)?

4 hours ago, John Henke said:

Are they going to remove the video?

!

Moderator Note

Since you've given us enough to start a discussion without having to watch the video first, I'll leave it for those who want a reference. Please don't start any more threads with only a video, since that's against our rules.

And please note that in general, it's very difficult to discuss video as precisely and meaningfully as the written word or math. Nobody wants to have to watch it over and over to quote it correctly.

 

I hate to say it but from a glance you should really look into a tensor format for [math]\Omega[/math] and [math]\Gamma[/math].

Though I still need time to go through this. Though I would prefer the paper you show in your video. It should be easy to post the pdf of that paper so I don't need the video.

 The thing is the Langrangian of each force already incorporates the energy momentum of each particle. With the probabilities of the Feymann path integrals. 

 So I would like to see what advantage your alternative has compared to the methodology of QFT which other than gravity can already unify the strong, weak and electromagnetic force.

Edited by Mordred

@John Henke         You have answers from at least three widely separated continents from members who are capable of understanding higher mathematics.

But I'm sorry to say that having watched the video I am no wiser since it is rambling and unstructured. It contains far too many "I don't knows" .
Instead of proper explanations or shots of the maths it contains lots of waving over graphs of plain sinusoids and sinusoidal decaying curves.
I did not see a single plot I would recognise from solutions of conventional quantum wavefunction theory.
Your plots would only satisfy the non quantum wave equation.


[math]\frac{{{\partial ^2}\Gamma }}{{\partial {x^2}}} = \frac{1}{{{v^2}}}\frac{{{\partial ^2}\Gamma }}{{\partial {t^2}}}[/math]


if gamma is meant to be your 'wavefunction' what is the 'wave equation' it is meant to be a solution of?

Also since you have used many conventional symbols perhaps for different purposes than convention, please list the attribution of your symbols.

 

  • Author

As to why this equation is preferable, I’ve made an extensive argument for that in the introduction of the attached article. But note the article is a rough draft. My sincere apologies. I'm going to continue working on it.

Mordred, I haven’t yet learned quantum field theory, so I have to ask, is its model of force descriptive or does it embody what force is at a fundamental level? For example, the theory of general relativity describes how gravity works, but provides no explanation of what curvature is at a fundamental level. Is QFT’s explanation similar to Einstein’s in that respect or is it more conclusive? Because the equation has right and left handed chiralities, and each of these has two versions, one with a positive curvature and one with a negative. This curvature scales by the inverse square of the length the x eigenfunction represents (at high values in t). So I’m not sure what that means because this equation has a natural complexity to it that’s beyond my understanding, but these are mathematically verifiable attributes of the equation and they do evoke electromagnetism as described by the standard model.

Studiodot, gamma is not the wavefunction. Gamma multiplied by omega is what I call a waveparticle (or a lambda) which is like an x eigenfunction assuming it has spin (it can have zero spin). Gammas and omegas can be one of many different subtypes as I’ve described in the conditional equations below them. These are collectively what I’ve referred to as gamma and omega components respectively. And all of the graphs in the videos are of eigenfunctions. It contains no graphs of the wavefunction which are gone over briefly in part 2, which, according to my youtube account, has not yet been watched. You can look up the equation for the "Natural Wavefunction" in the section with the same title. I apologize for not posting the paper first. And I’ll admit I’m a more or less a hardcore hobbyist, but I would argue Faraday needed Maxwell’s help as much as Maxwell did Faraday’s. The equation stands separate from my ignorance or inability to describe them correctly and has parallels to quantum mechanics that defy coincidence. It is something I discovered. I didn’t invent it.

Thank you for your replies Mordred and studiot—and, Mordrid, I will look into putting gamma and omega into tensor format. I’m looking forward to more input as the theory still needs a lot of work, and I’m very much looking forward to someone really taking the time to thoroughly understand it and respond. At the very least I’ve discovered a very rich and unique mathematical phenomena and at most, an equation of everything.

Oh and I'll also throw in the Mathematica code in the video. They are graphs of omega components, gamma components and momenum and energy eigenfunctions.

Alternate Equations for the Wavefunction and its Eigenfunctions (rough draft).pdf

Mathematica_Code.nb

Edited by John Henke

11 minutes ago, John Henke said:

Thank you for your replies Mordred and studiot—and, Mordrid, I will look into putting gamma and omega into tensor format. I’m looking forward to more input as the theory still needs a lot of work, and I’m very much looking forward to someone really taking the time to thoroughly understand it and respond. At the very least I’ve discovered a very rich and unique mathematical phenomena and at most, an equation of everything.

Finally some 'mathematics'

Thank you.

 

Did you understand the wave equation in my last post, you made no reference to it?

The point is that it is a partial differential equation.

I found nothing similar nor reference to such in your pdf.

Are you aware of the difference ebtween partial differential equations and ordinary differential equations?

 

In ordinary differential equations, adding a arbitrary constant to a solution creates a new solution, merely shifting the original solution on the axis.

In a partial differential equation, you have to include an arbitrary function (2 for the second order one I displayed).
This changes the shape of the solution plot.
So there are at least as many solutions or shapes as there are arbitrary functions.
So there are many solutions to both the classical wave equation and Schrodinger, Dirac et al.

The point is that it is the boundary conditions that allow us to pick out a specific solution, which is why I asked about the boundary conditions early on.
Boundary conditions are at least as important as the (differential) equation itself.

1 hour ago, John Henke said:

Mordred, I haven’t yet learned quantum field theory, so I have to ask, is its model of force descriptive or does it embody what force is at a fundamental level? .

Alternate Equations for the Wavefunction and its Eigenfunctions (rough draft).pdf 727.96 kB · 3 downloads

Mathematica_Code.nb 2.15 MB · 2 downloads

Thanks I will look at these after work but at a glance I concur with Studiot. Force is fundamental in both both QM and QFT. I will post how QFT handles force after work.

 The main difference between QM and QFT is that QFT is Lorentz invariant through the application of the Klien Gordon equation (though that isn't the only issue.)

I haven't checked your equations yet for Lorentz invariance though that will be essential. Another essential aspect of QM and QFT is the positive norm basis of a particle. 

For example the probability of locating a particle is the amplitude squared.

 

Edited by Mordred

  • Author

I've covered most of both of your concerns in the article, though not always directly. I've always been a bit confused how superposition worked within the context of boundary conditions, and that same confusion might persist for my model of superposition more generally. The only truly daunting obstacle is superposition. Perhaps I do need to have a more robust second side to the equation of it.

If it is not Lorentz invariant, that should be easy to fix or might be. It's actually a bit of a nightmare to get the definitions of k and w and the eigenfunctions, relativity, etc to all match up. I did my best. I'll continue to think about your concerns, and again thank you for them.

I noticed a few obvious errors and artifacts, so I've included a slightly altered second draft if interested.

Alternate Equations for the Wavefunction and its Eigenfunctions (Second Draft).pdf

I've always ignored Schrodinger's in favor of Dirac's, but I'm starting to see your points. Perhaps a few derivatives could solve the problems with my equation for boundary conditions/superposition.

Yeah, what about a substitution of lamba underbar/A into the Schrodinger equation? Where lambda underbar and A are waveparticles with and without spin respectively. Something like that.

Basically just keep the derivatives, Laplacian and the potential energy.

 

Edited by John Henke

  • Author

No, that's not right. Maybe substitute in the eigenfunctions instead.

  • Author

In order to calculate that, I would first need to know the value of n in the equation for gamma components. This is part of the more general problem that the equation currently has, which is that, until n is known, Planck-constant-like floor in energy isn't either. If one were to assume that the curvature in, say, gamma were gravity, n might be calculable. I'll try to run that soon.

Is there a particular reason you asked that question?

Edited by John Henke

14 minutes ago, John Henke said:

In order to calculate that, I would first need to know the value of n in the equation for gamma components. This is part of the more general problem that the equation currently has, which is that, until n is known, Planck's constant isn't either. If one were to assume that the curvature in, say, gamma were gravity, n might be calculable. I'll try to run that tomorrow. It's getting late where I live.

What is n, and why don’t you know it if you have a proton and electron interacting electromagnetically?

Quote

Is there a particular reason you asked that question?

Being able to do straightforward tasks is a simple first cut for proposals of alternative models

  • Author

That's why you asked. This theory is not at those higher stages yet. Again, n is an unknown.

To answer your question, the gamma components are similar in structure to the definition of e: (1+1/n)^n, but n doesn't approach infinity. It's better explained in the article, but long story short, the higher n is, the more slowly these grow. So if I don't know n, then I don't know the rate of growth. Therefore, I don't know the values where k bar and omega bar equate to one, which determines the locations where E=1 and p=1. This is all in the article.

5 minutes ago, John Henke said:

That's why you asked. This theory is not at those higher stages yet. Again, n is an unknown.

To answer your question, the gamma components are similar in structure to the definition of e: (1+1/n)^n, but n doesn't approach infinity. It's better explained in the article, but long story short, the higher n is, the more slowly these grow. So if I don't know n, then I don't know the rate of growth. Therefore, I don't know the values where k bar and omega bar equate to one, which determines the locations where E=1 and p=1. This is all in the article.

How do we test your idea to see if it has merit? Hydrogen is pretty basic. How about a generic particle in a 1-D well?

Do you have some other system to suggest?

21 minutes ago, swansont said:

Being able to do straightforward tasks is a simple first cut for proposals of alternative models

+1

 

13 minutes ago, John Henke said:

To answer your question, the gamma components are similar in structure to the definition of e: (1+1/n)^n, but n doesn't approach infinity. It's better explained in the article,

I asked several times now for a list of definitions of your symbols.

Is your gamma related to the normal mathematical use as the gamma function?

 

Quote

swansont

How about a generic particle in a 1-D well?

Exactly, that is why I keep banging on about boundary conditions.

Edited by studiot

  • Author

Okay, so you still haven't read the article you're criticizing. That's okay. I suggested it's tested with force. It has a well defined definition of gravity. That's why I said I might be able to find the value of n based on the value of gravity. And there are other tests that could be given that have already been passed, for example, whether or not spins of 0, 1/2 and 1 are naturally occuring.

No, I define all the letters in the article, which I really wish you guys would read.

And actually whether or not spins of 0, 1/2 and 1 are naturally occurring is a test that the current math would fail because arbitrary scalars are used that force the math to have those spins. I don't use arbitrary scalars.

 

11 minutes ago, John Henke said:

Okay, so you still haven't read the article you're criticizing. That's okay. I suggested it's tested with force. It has a well defined definition of gravity. That's why I said I might be able to find the value of n based on the value of gravity. And there are other tests that could be given that have already been passed, for example, whether or not spins of 0, 1/2 and 1 are naturally occuring.

No, I define all the letters in the article, which I really wish you guys would read.

Well I've read it and I couldn't find the definitions which is why I keep guessing and you have to keep correcting my guesses.

That is not a good way to connect with your audience. It is absolutely basic best practice that you define your symbols at the outset. That way you do not need to do it again.

Of course we are criticising it (though we are still at the trying to understand it stage).

That is the scientific process. We are looking for flaws and since the conjecture is not trivial we are trying very hard.

If you genuinely have come up with a better formula I will be the first to congratulate you.

peer-review.jpg.ecb69215e93eccb0c0f70624d140cff2.jpg

Edited by studiot

  • Author

Fair enough. Perhaps I misread the tone. Don't get me wrong, I sincerely appreciate every constructive criticism, and I've gotten a lot out of this forum already, and for that, I'm honestly very appreciative. Please criticize away, only lets be constructive. I'm getting pretty tired (it's 3:04 am where I live), but I will define my symbols tomorrow and update you with a new draft, but now I think I will go to bed.

Thank you again.

12 minutes ago, John Henke said:

Fair enough. Perhaps I misread the tone. Don't get me wrong, I sincerely appreciate every constructive criticism, and I've gotten a lot out of this forum already, and for that, I'm honestly very appreciative. Please criticize away, only lets be constructive. I'm getting pretty tired (it's 3:04 am where I live), but I will define my symbols tomorrow and update you with a new draft, but now I think I will go to bed.

Thank you again.

Here is a question just posted on another scientific forum, that you might like to consider with your mathematics since you have introduced eigenfunctions.

Quote

How to show that eigenfunctions of the 3p state of a hydrogen atom are perpendicular to each other?

Whilst we are discussing eigenstates/functions/values are you taking your start from Dirac's Bra and Ket ?
That is where they come into their own in QM.

  • Author

And, Swansont, there is already an equation for a 1D particle in a well in the paper.

Edited by John Henke

Archived

This topic is now archived and is closed to further replies.

Important Information

We have placed cookies on your device to help make this website better. You can adjust your cookie settings, otherwise we'll assume you're okay to continue.

Account

Navigation

Search

Search

Configure browser push notifications

Chrome (Android)
  1. Tap the lock icon next to the address bar.
  2. Tap Permissions → Notifications.
  3. Adjust your preference.
Chrome (Desktop)
  1. Click the padlock icon in the address bar.
  2. Select Site settings.
  3. Find Notifications and adjust your preference.