Skip to content

Unified Field Force: Aether, Coulomb, Nuclear and Casimir Forces...

Featured Replies

Hi everyone!

 

I just registered to this forum. Please you are welcome to visit my Web site:

<link removed by mod>

 

 

Aether's Tangential Velocity

obj166geo96pg1p2.png

 

 

New expression for the Planck constant

obj215geo138pg1p2.png

 

Unified Field Force

obj160geo80pg1p2.png

 

 

Complete Coulomb Force

obj157geo87pg1p2.png

 

Complete Casimir Force

obj153geo101pg1p2.pngobj169geo106pg1p2.png

 

 

Nuclear Strong Force between two protons (using constant speed of light)

obj257geo143pg1p2.png

 

Aether's detection using on line Earth's Magnetic Field Data

obj256geo139pg1p2.png

 

Electron-Neutrino imaginary mass

obj185geo95pg1p2.pngobj186geo105pg1p2.png

 

And many others like: Dirac's Magnetic Monopole, Universe Force, e.t.c

 

I would be very happy for serious responses and comments by the members of this forum!

 

Best Wishes

 

Ioannis Xydous

 

Web Site: <link removed>

Electronic Engineer

 

Switzerland

!

Moderator Note

Hi Ioannis

I have removed the links - please see rule 7 of the rules


Advertising and spam is prohibited. We don't mind if you put a link to your noncommercial site (e.g. a blog) in your signature and/or profile, but don't go around making threads to advertise it. Links in posts should be relevant to the discussion. Users advertising commercial sites will be banned.


  • Author

Hi All!

 

As you already have seen, the link to the web site is banned!

 

Just Google my name and you will find it!

 

Regards

 

Ioannis Xydous

 

Electronic Engineer

 

Switzerland

  • Author

Good Evening everyone!

 

My theory is called "The secret of the Electron-Positron pair" (the paper can be found on the Link of my profile or by Googling my name: Ioannis Xydous. The secret is related to the appearance of a repulsive force (which at the end as you could read through my work is related with the Casimir Force) at very small distance (2.27fm and below) between the Electron and Positron. From the moment the pair possess opposite charges, we expected the Coulomb Force to be always attractive. The discovery of the repulsive below the 2.27fm, resulted to the revelation of existence of Vortices which are directly related with the Aether. The conclusions of this is the following:

  1. Like Vortices or like Anti-Vortices at critical distances, create a Repulsive Force
  2. Opposite spinning Vortices (Vortex and Anti-Vortex) at critical distances, create an Attractive Force
  3. The speed of light below the distance equal to the Compton's wavelength for a present particle is reduced, opposing the second postulation of Einstein (Einstein is correct above the distance equal to the Compton's wavelength for a present particle)
  4. The reduction of the light speed below the distance 2.12E-12m for a stationary Electron, revealed the existence of a massless Vortex (cannot be measured in our real world directly) which is the condensed Aether trapped inside the mass of the Electron
  5. This massless stationary Vortex has a Tangential Velocity equal to 3.48E5 m/sec (Aether's Tangential Velocity)
  6. As you will read on my work on the chapter General Theory of Aether, there it is revealed the connection of the Planck constant with the Aether as also the connection of the Charge with the Aether
  7. Every created matter in the Universe is born spinning with the Tangential Velocity equal to 3.48E5 m/sec (Aether's Tangential Velocity). Spinning created mass points to the existence of Charge (Neutrinos have imaginary Charge)

The above findings revealed new discoveries:

 

  1. Variable speed of light with distance from a stationary charge (opposing the second postulation of Einstein)
  2. Complete Coulomb Force (where the known Coulomb Force below the 1E-12m fails)
  3. Nuclear Strong Force between two protons with exact Force and Energy diagrams
  4. Complete Casimir Force
  5. Properties of the Universe (Age, deceleration (opposing to what is today believed), dimensions, Temperature)
  6. Quantization of length, time, frequency, mass
  7. Disproving the Planck Units and introduction of their new values
  8. Primordial Black Hole Mass exact calculation
  9. Dirac's Magnetic Monopole (Rotating potential due to the Aether presence)
  10. Three easy Aether's Detection Experiments without to use Laser beams. The first one does not even need a set up, but just on line Earth's Magnetic Field data
  11. The connection between the Aether and Neutrinos
  12. Exact calculation of the imaginary mass of all Neutrinos and the prediction of a fourth Neutrino (Proton Neutrino). Neutrinos are massless (as seen from our material world (real)) longitudinal half waves which are able to surpass the light speed only inside a Field. When they exit from a Field they travel with the minimum velocity equal to the speed of light. This discovery explains the change of flavour in Neutrino properties
  13. Complete Magnetic Force (using the discovery of the Magnetic Monopoles)
  14. Unified Field Force: Gravitational, Electromagnetic, Nuclear and Weak Forces are described by a single Formula
  15. Metaphysical implications: Aether's connection with the Psyche (Soul)

 

 

All of the above and more are proved using simple mathematical formulations which can be followed by a student or graduate of a High School (No need to have a University degree). The only thing is needed additionally is much interest in Physics, knowing the Basics like: Coulomb, Gravitational and Magnetic Forces, the phenomenon of matter creation and its basic formulation, fine structure constant, Planck constant and Coulomb Charge formulas, Casimir Force. These are the basics that must anyone understand to be able to read my work.

 

I will look forward for your comments (Do not reply on the above before you read my work since it will not make sense.) and I would be grateful if you could forward my work to an open minded Physicist, just to receive comments from the Scientific community too!

 

 

Best Wishes

 

Ioannis Xydous (Go to Google and write my name. The web site will come first in the search list.)

 

 

Electronic Engineer

 

Switzerland

 

 

 

 

 

 

 

 

 

 

 

 

 

 

 

  • Author

Hi John!

 

Please read first my work, it is not so difficult to follow or visit the web site to take a taste. OK, since you are challenging me (in a good sense), I will give you some indications:

  • There are a lot of experiments made in the past that proved an existence of Aether, although official Science never admitted (They are not innocent and keep in mind that an influence can hold more than 100 years, even if the information is partially true.). After re-analysis by Cahill of some past Aether Experiments, you will see that the value is near to what I have calculated (3.48E5 m/sec or 348 Km/sec). Go to this Link:http://www.cellularuniverse.org/AA1Aether&Cosmology.htm

obj166geo96pg1p2.png

 

 

  • The Planck length and all Planck Units are wrong (concluded by me and partially by Integral team), concluded the Integral Project Team, where they support that the Quantum length is below the 1E-48m, which makes all Quantum Gravity theories invalid, including some of the String Theories which are based on the known Planck Length (1.616E-35m). Go to this Link: http://www.sciencedaily.com/releases/2011/06/110630111540.htm

obj165geo83pg1p2.png

 

 

  • Recently searching on Internet I discovered a paper of Wilhelm Weber written back in the year 1847, where his experiments with currents led him to the discovery of the Complete Coulomb Force as it is in my paper. This is one of the strongest indications although his paper was not adapted by the today's mainstream Physics. I have the link on my LAPTOP, if you are interested.
  • The Coulomb Force according to a lecture of Feynmann, by finding accidental a chapter on the Internet, he speaks about the deviation of the Coulomb law around the distance equal to Compton Wavelength for a particle. I have this link too, but not on my Desktop PC where I write to you now.
  • The ultimate known experiment is pair production (Electron-Positron) using a heavy nucleus and an approaching gamma photon with 1,022MeV Energy at least (threshold). How the photon disappears and gives its position to a pair of matter? How a photon could disappear? Is this not related of the vanish of its Wave properties? From the moment you have a theoretical stationary nucleus or Electron and the only thing that moves on that Setup is the gamma photon, is not logical to say that the photon disappeared due to the Interaction with the Strong Field of the stationary charge (opposing force against the motion of the photon) which resulted to the gradient decrease of the photon velocity (or frequency or momentum it is the same thing at the end) and ultimately to its vanish (zero frequency or zero velocity or zero momentum) and appearance of the matter and Anti-matter? This is exactly the point where Einstein went wrong (meaning below the distance equal to the Compton Wavelength for a present particle. This distance is different for an Electron and a Proton since they have different Compton wavelengths).
  • Experiments by Ioannis Xydous: a) Succesful measurements of the speed of light inside special materials (even down to 800 m/sec!!!) , b) I created motion with a special Electromagnetic device (table top experiment) which does not have moving parts. The device covered a distance of 1 meter with a velocity of 0.5 cm/sec. With this experiment as also in theory I proved with my own calculations the validity of the acceleration formula of Yuri.N.Ivanov which makes both theories compatible.

 

 

Challenge: The simplest test of my theory is someone to check if the Complete Casimir Force is correct (it is simpler than the Nuclear Force since it is very difficult to find reliable and accurate information about the Nuclear Force. Much confusing information exist on the Internet.) or the Nuclear Force between two protons. If the Complete Casimir Force is wrong or the Complete Coulomb Force (today they use some modified Coulomb formulas like that of Yukawa for distances below the Compton wavelength for a particle) is wrong, the most probably everything is wrong in my work. I need the feedback from the scientific community, where until today never had.

 

Best Wishes

 

Ioannis Xydous (Go to Google and write my name. The web site will come first in the search list.)

 

 

Electronic Engineer

 

Switzerland

 

 

 

 

"There are a lot of experiments made in the past that proved an existence of Aether"

Nope, there are not.

Indeed there's a famous one that proves that there is no aether.

http://en.wikipedia.org/wiki/Michelson-Morley_experiment

 

So, unless you can answer my earlier points I'm certainly not going to waste any time reading the rest of your material.

There are a lot of experiments made in the past that proved an existence of Aether, although official Science never admitted

 

Proved? No, not in the strict sense of the word. Consistent with? Perhaps. But it's not enough, if there is more than one explanation, and being consistent with isn't the threshold to which we hold science. The protocols of science require you to eliminate competing explanations and cover all the bases — you have to have a falsifiable model and a way to test it, in such a way that you eliminate competing theories — or the model itself if it does not live up to its predictions.

 

There were experiments that "proved" phlogiston, too, but then along came some that weren't consistent with it, and the model had to be discarded. The Aether went in the same trash bin, for similar reasons.

  • Author

You have to go at the Chapter 5 of the link: http://www.cellularuniverse.org/AA1Aether&Cosmology.htm

 

There you can see from year 1881 to 2001 several attempts to measure a probable existence of Aether. John, how do you expect to have directly verifiable results via my theory since is something that challenges Physics from its foundations?

I wrote how my theory can be directly disproved and this is only by proving wrong the Complete Casimir Force. Try! ( I also do not know 100% that it could be correct. But when you reach to any conclusion and you would like to discuss, then we see.)

 

Aether theories are discarded since years and are not official accepted by today's Physics. My work, I believe has a clear content and straight which can be read by everyone (You do not need to have graduated from a University) and from the other side, I present the Experiment #1 which does not need a set up, where by analyzing (using your EXCEL S/W and downloading Data from the address: http://geomag.usgs.gov/data/) Earth's Magnetic Field Data, someone could reveal the Aether frequencies (Main Frequency and due to Coriolis effect. Total two frequencies.). You have to read the corresponding chapter about the Aether detection in my work.

 

The rest is your resistance to be open to something new for whatever reasons. I am also not going to convince everyone since I find it stupid. Those who can understand, having also some intuition, at least they will read my work. If they comment it, is another thing.

Best Wishes

 

Ioannis Xydous (Go to Google and write my name. The web site will come first in the search list.)

 

 

Electronic Engineer

 

Switzerland

 

P.S. Do not waste time to read my work, if you think so, but I have to warn you the content is related to a theory which describes everything in creation (Unified Field Force: Theory of Everything) where central stage has the Aether. When appears a new theory needs some evidences that is correct. I do not have these evidences but some indications. The reason to discuss my work in a Physics Forum is just to receive some feedback and to see where I stand. If I am wrong then I am wrong. But it is completely non-scientific and not serious your direct proposal to give you verifiable predictions, without to have even read my work. If I knew that I am 100% correct, then I would not come to such kind of forums as also think how resistant is the scientific community against a person like me who I am NOBODY (not belonging to scientific community) and just a simple Electronic Engineer (from a Technological Institution).

 

Thales "..The wisest thing in the entire creation is the Time because it discovers everything.." 600 B.C . What I know for sure is that my name is Ioannis and not TIME.

 

Hi swansont!

 

You are right about "proved". But for them at that time is a "proof" even if we do not like it today. If you are a PhD Physicist in Atomic Physics according to your profile, then you are the suitable person on this thread.

 

I wish you will show some interest and to read my work!

 

In any case, thanks everyone!

 

Ioannis Xydous (Go to Google and write my name. The web site will come first in the search list.)

 

 

Electronic Engineer

 

Switzerland

  • Author

OK John, here you are!

post-74965-0-40631700-1336924250_thumb.jpg

 

See attachment (1): It is a print screen of the data table on Chapter 5.

Ioannis Xydous (Go to Google and write my name. The web site will come first in the search list. Or check the link on my profile.)

 

 

Electronic Engineer

 

Switzerland

Edited by Ioannis

A quick look at that suggests that he answer might be anywhere from 1 to 430km/s

With that much scatter it's hard to say you could rule out zero as also within the error bounds of the experiment.

Can you show data that strictly rules out zero?

If not then you haven't disproved the nul hypothesis and you are not likely to be taken seriously.

  • Author

A quick look at that suggests that he answer might be anywhere from 1 to 430km/s

With that much scatter it's hard to say you could rule out zero as also within the error bounds of the experiment.

Can you show data that strictly rules out zero?

If not then you haven't disproved the nul hypothesis and you are not likely to be taken seriously.

 

John,

 

Read Cahill's column where after re-analysis he gives the following results:

1887 Michelson & Morley 330 Km/sec

1925 Dayton 430 Km/sec

1927 Illingworth 368 Km/sec

The zero value is the translational velocity of the Aether, which means it is stationary. The 348 Km/sec is the Tangential velocity of the Spinning Aether (but stationary, no translational motion). All the experiments for the detection of Aether which took place in the past are based on the measurement of the speed of light in different directions (if you expand your thought it is like they measure the speed of light in a rotating frame).

 

 

 

The truth starts to be revealed by the Fine Structure Constant

 

8a685fb411de0b0a1f1663cd66b432a0.png

 

The above can be found on the link of the wikipedia: http://en.wikipedia....ucture_constant

 

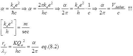
Now see how can be re-arranged the above equation:

post-74965-0-60750800-1336937127_thumb.jpg

 

It is exactly the result found initially in eq. (8.2) or the eq. (66.1) in my work where there the ration is expressed as ratio between the two velocities (Aether's and that of speed of light)

 

As you may understand this discovery was hidden under our feet! (Again remember about the influence of the 100 years which Science took the partially correct but complex way which cannot give the real truth. This is the reason that the Unified Field or a theory of Everything is almost impossible using this complexity like the multi-dimensional String Theories which are completely impractical and in the sphere of fantasy.)

 

The influence of Quantum Physics and especially that of Special Relativity made Science to not even dare to think differently, although the truth was very near to it.

 

John, it does not make sense to disagree to any of the above since any kind of new theory or proposal needs to be read first, then if there is something worthy, the reader must do his own research. I am researching at least the last 12 years by experimenting, reading hundreds of patents and Scientific papers and using my strong scientific intuition, knowledge on different fields by combining even unrelated theories and sciences, where an idea coming out of the blue, it gave me the opportunity to develop the paper "The secret of the Electron-Positron pair". The start was very difficult and the theory initially had a completely different and almost wrong formulation. I spent a lot of months and thousands of hours to develop my work.

 

Something that I forgot to write about is that the fine structure constant excludes the existence of fractional Charge which points to nonexistence of Quarks (page 21 of my work). They use fractional charge and other parameters to explain the nuclear force properties of the protons and neutrons. All of these paradoxes are solved by accepting that the speed of light varies with distance, opposing the second postulation of Einstein. I do not claim it only myself, but the fine structure constant has exactly this interpretation. The fine structure constant which was thought a mystery, is not a mystery any more but the ultimate truth. Take it or leave it! Science was blind or was playing the blind at least the last 100 years! (The same happens with politics. Pure and real Science does not exist today. A large percentage is manipulated by the interest of Business.)

 

You will not find something similar in the entire Internet which explains and answers with simple formulations to the most pressing issues of Quantum Physics and Cosmology.

 

If I am correct about my theory then I predict a second global crisis, the Crisis in Science. But until then please do not shoot the messager. Who am I to claim something like that? Just NOBODY!

 

 

Best of Luck

 

Ioannis Xydous (Go to Google and write my name. The web site will come first in the search list. Or check the link on my profile.)

 

 

Electronic Engineer

 

Switzerland

Edited by Ioannis

  • Author

http://xkcd.com/687/

 

Just because the units of some combination of constants are the units of velocity, doesn't mean it's actually the speed of anything.

You have introduced "V ether" in there as a matter of faith, not science.

 

John very funny comics. Congratulations! I always like people who have a creative expression just because life does not get boring (I hate routine) as also makes life more interesting and purposeful.

 

Well in the past was a theory of the luminiferous Aether, which came just out of the blue as also the Ancient Greeks also spoke about (Where the Gods live according to them). My work is 53 pages and if I would try to explain everything in detail and from where they came from, then I would never finished. My inspiration to speak and to search about the Aether was Rhythmodynamics of Yuri.N.Ivanov, although he does not have any kind of formulation about the Aether, but intuitively he supposes its existence. In my work, the Aether is present in almost all formulations and is the "soul" of the entire work.

 

Then what could it mean according to your opinion this strange value of velocity? Why in Cahill's Analysis there are three past experiments (with the purpose to detect a probable existence of Aether) that measure this strange velocity with a value very near to that I discovered theoretically? If you ever read my work, the meaning of the fine structure constant is that at the critical distance (half of the electron's radius) in case for an electron, the Electromagnetic forces vanish and this happens due to the Aether presence, otherwise without the Aether this could not occur and the fine structure constant could not exist or it would have value equal to 1. But this conclusion would give a different or not a Universe at all .

 

Have a nice week!

 

 

Ioannis Xydous (Go to Google and write my name. The web site will come first in the search list. Or check the link on my profile.)

 

 

Electronic Engineer

 

Switzerland

See attachment (1): It is a print screen of the data table on Chapter 5.

 

This misses the point: you can't just present the evidence in support of the aether; that's cherry-picking. You must also explain the results that gave a null result — how many of them are there? And also explain the variation John points out: even the three highlighted results run from 330 km/s to 430 km/s. What kind of experimental error bars were on the experiments? Surely not anything like 100 km/s. These results aren't even consistent with each other! They fail the repeatability requirement.

  • Author

This misses the point: you can't just present the evidence in support of the aether; that's cherry-picking. You must also explain the results that gave a null result — how many of them are there? And also explain the variation John points out: even the three highlighted results run from 330 km/s to 430 km/s. What kind of experimental error bars were on the experiments? Surely not anything like 100 km/s. These results aren't even consistent with each other! They fail the repeatability requirement.

 

 

Dear swansont and John,

 

If you insist on this point then you won. I cannot present evidences about the null result since even these indications (not evidences) about some non zero results concluded by those who attempted to detect a probable existence of Aether, I am not able to research their method or theory. It needs much time to spend to understand the ideas in regards to the detection of Aether as also to experiment with those. If I would spend so much time to research what all of those people attempted in the past as also to provide a probable experimental similar setup, I would never develop my work. Indeed my work is based on much intuition, comparison and knowledge combinations as also and on what some people achieved or not by measuring this velocity of Aether. If it is a fact that the light speed is reduced in different directions or when a rotating Michelson interferometer shows some frequency shift on a laser beam, then there is a high probability that the Aether has a zero translational velocity and 348 Km/sec Tangential velocity.

 

Note: Just think why all of these experiments need a rotating frame or change of direction in a light beam for something to be recorded. Does it have to do with the Aether (or space medium) rotation? (Stationary Aether but spinning)

 

Again I have to say that I was inspired by Rhythmodynamics in regards to write and to search about the Aether as also I am not a Physicist. Nothing more and nothing else. The rest of my work is pure inspiration of myself. If the work is wrong then it is wrong. This is the reason that I would like to discuss it with open minded people of the Scientific community or free researchers.

 

I found some links of interest about the non zero value of the Aether's Tangential velocity:

http://www.helical-s...r-drift-exp.pdf

post-74965-0-53016500-1337021799_thumb.jpg

 

Stefan Marinov Experiments

http://www.helical-s...Mes_abs_vel.pdf

 

In my paper, I have a much simpler Experiment (#1) which does not need a set up (or even laser beams or artificial rotating frames). The rotating frame is the earth itself and instead of laser beams I use the Magnetic Field lines of Earth. But the Experiment #3 which uses a Nd Magnet with a co-rotating detection coil (simulating the Exp.#1 on the Laboratory), could be the ultimate proof of Aether's existence. Maybe some day soon, I will try it. It could be easily modified without to use a rotating platform but just some partial rotation of some rads.

 

Note: Those experimenters of the past who tried to detect the Aether, they did not have a theoretical result which shows a value about the Aether's velocity. They were searching blindly. Then how could you determine a fixed Aether velocity when the measurements have so much divergences and were taken in different time of the year? Their methodology probably cannot be the ultimate and completely reliable way to detect a probable stationary but spinning Aether.

 

If you think by the moment I cannot explain the null results of other experiments of the past that my work does not worth to be read, then just do not read it.

 

Ioannis Xydous (Go to Google and write my name. The web site will come first in the search list. Or check the link on my profile.)

 

 

Electronic Engineer

 

Switzerland

  • Author

A quick look at that suggests that he answer might be anywhere from 1 to 430km/s

With that much scatter it's hard to say you could rule out zero as also within the error bounds of the experiment.

Can you show data that strictly rules out zero?

If not then you haven't disproved the nul hypothesis and you are not likely to be taken seriously.

 

Hi John and everyone!

 

I just would like to give the definition of what Electricity (due to charge) is from the words of Tesla himself:

http://www.svpvril.com/svpweb16.html

 

Tesla quotes:

In his 1891 A.I.E.E. lecture at Columbia College, Tesla said in pertinent part (emphasis mine): "What is electricity, and what is magnetism? "…We are now confident that electric and magnetic phenomena are attributable to the ether, and we are perhaps justified in saying that the effects of static electricity are effects of ether in motion".

 

In his statements, Tesla was balancing the various arguments in preparation for his decision: "…Electricity, therefore, cannot be called ether in the broad sense of the term; but nothing would seem to stand in the way of calling electricity ether associated with matter, or bound ether; or, in other words, that the so-called static charge of the molecule is ether associated in some way with the molecule."

 

Now check the below part of my work:

 

post-74965-0-08601300-1337467521_thumb.jpg

 

This is one of the strongest indications that:a) The Tangential Velocity of the Aether cannot be zero and b) The charge is associated with the mass and the spinning Aether, exactly as Nikola Tesla stated.

 

I will look forward for your comments!

 

Ioannis Xydous

 

Web Site: ioannisxydous.gr (Google it)

 

Electronic Engineer

 

Switzerland

Kalos orises Ioannis.

 

So this a

_aether

_electric

_varying Speed Of Light theory

 

You must expect strong resistance from this Forum, your theory will not be accepted just like that. Be prepared, don't get upset and good luck.

---------

(note) what I do. Right-clik one of your posted equation, go to properties, and copy-paste your link in the browser: its easy to find you.

 

For example:

You have a paper published in a "peer reviewed" journal.

the "journal of nuclear physics" is a blog. I googled the name of the first scientist, Prof.Sergio Focardi(INFN – University of Bologna – Italy) is this physicist involved in the E-cat together with Aldo Rossi. That smells bad. It is definitely NOT a good support to your claims, not to say it gives a contrary effect. No serious scientist will go to read the first sentence of your theory.

Edited by michel123456

  • Author

Hi michel123456!

 

Thank you for the warnings and your kind words! Well I am looking for a real feedback negative or positive. I have some indications of where I stand, but this is not enough.

 

If they will not be interested on my work, it is simply their problem. I am planning just a couple or just one more post on this forum. If nobody will be interested, I will let my thread to vanish into oblivion. I do not care and I am not interested to convince everyone. Those who have some elementary intuition, they will be interested to read (this is the reason I put the most important equations on my web site). The rest and the strong minded, they will try to be caught on some not good looking descriptions or comments or words, by loosing the entire "forest".

 

Have a nice day!

 

Ioannis Xydous

 

Web Site: ioannisxydous.gr (Google it)

 

Electronic Engineer

 

Switzerland

Hi John and everyone!

 

I just would like to give the definition of what Electricity (due to charge) is from the words of Tesla himself:

http://www.svpvril.com/svpweb16.html

 

Tesla quotes:

In his 1891 A.I.E.E. lecture at Columbia College, Tesla said in pertinent part (emphasis mine): "What is electricity, and what is magnetism? "…We are now confident that electric and magnetic phenomena are attributable to the ether, and we are perhaps justified in saying that the effects of static electricity are effects of ether in motion".

 

In his statements, Tesla was balancing the various arguments in preparation for his decision: "…Electricity, therefore, cannot be called ether in the broad sense of the term; but nothing would seem to stand in the way of calling electricity ether associated with matter, or bound ether; or, in other words, that the so-called static charge of the molecule is ether associated in some way with the molecule."

 

Now check the below part of my work:

 

post-74965-0-08601300-1337467521_thumb.jpg

 

This is one of the strongest indications that:a) The Tangential Velocity of the Aether cannot be zero and b) The charge is associated with the mass and the spinning Aether, exactly as Nikola Tesla stated.

 

I will look forward for your comments!

 

Ioannis Xydous

 

Web Site: ioannisxydous.gr (Google it)

 

Electronic Engineer

 

Switzerland

So, the answer to my question "Can you show data that strictly rules out zero?" is "No".

Fair enough, but why clutter up the place with that stuff about Tesla?

 

Did you think it helped in some way?

 

And, for the record, you still introduced "V ether " with no justification.

That's not even close to being science.

  • Author

Ok, John!

 

I will not try to convince everyone! I am just looking of some feedback about what is written on my work. Again I am not a physicist. If you call the Vacuum as free space or Space-Time or Aether, what is your problem? Did those who mentioned in the past knew what is all about?

 

One more post will come in a few minutes and then I will disappear. I am not interested in close minded (not intuitive) conversations which bring only negative aspects and resistance to think alternatively.

 

Did you download my work or visited my web site? If not, then it does not make sense to discuss anything with you. Farewell!

 

Ioannis (Just Nobody)

Ok, John!

 

I will not try to convince everyone! I am just looking of some feedback about what is written on my work. Again I am not a physicist. If you call the Vacuum as free space or Space-Time or Aether, what is your problem? Did those who mentioned in the past knew what is all about?

 

One more post will come in a few minutes and then I will disappear. I am not interested in close minded (not intuitive) conversations which bring only negative aspects and resistance to think alternatively.

 

Did you download my work or visited my web site? If not, then it does not make sense to discuss anything with you. Farewell!

 

Ioannis (Just Nobody)

 

Why? you cannot disappear at the first denial. if you believe in what you have done, you must fight for it. keep in mind that you are one of the few coming here with mathematics. that makes you one in a hundred (at least), not to say one in a million.

  • Author

Hi michel123456!

 

Thank you for the warnings and your kind words! Well I am looking for a real feedback negative or positive. I have some indications of where I stand, but this is not enough.

 

If they will not be interested on my work, it is simply their problem. I am planning just a couple or just one more post on this forum. If nobody will be interested, I will let my thread to vanish into oblivion. I do not care and I am not interested to convince everyone. Those who have some elementary intuition, they will be interested to read (this is the reason I put the most important equations on my web site). The rest and the strong minded, they will try to be caught on some not good looking descriptions or comments or words, by loosing the entire "forest".

 

Have a nice day!

 

Ioannis Xydous

 

Web Site: ioannisxydous.gr (Google it)

 

Electronic Engineer

 

Switzerland

 

I thought that I have to write something more, but I already have written. John and other you already won!

 

Farewell!

 

Ioannis (Just Nobody)

Edited by Ioannis

Archived

This topic is now archived and is closed to further replies.

Important Information

We have placed cookies on your device to help make this website better. You can adjust your cookie settings, otherwise we'll assume you're okay to continue.

Account

Navigation

Search

Search

Configure browser push notifications

Chrome (Android)
  1. Tap the lock icon next to the address bar.
  2. Tap Permissions → Notifications.
  3. Adjust your preference.
Chrome (Desktop)
  1. Click the padlock icon in the address bar.
  2. Select Site settings.
  3. Find Notifications and adjust your preference.