Skip to content

Why the Lorentz factor?

Featured Replies

2 minutes ago, studiot said:

So attacking poorly worded English as poor thinking is counterproductive.

I don't think I have done that. (OK, I made one joke. But it wasn't any sort of attack. It probably wasn't funny, either. But there you go.)

5 minutes ago, studiot said:

The rocket was not mine.

I know. I was talking about Maxim's example.

  • Author

If, I do understand correctly, the rocket will still have a speed increase (1 g acceleration) forever, but will never achieve the light of speed in the earth referential, but the spacecraft will be going much faster than that in the "referential of his last state", if i can expressed myself like that. So the Lorentz factor is only good in another referential, and does not state on the maximum speed of an object ?

Maybe, the Sum of all speed, as an integration of accelerated movement (related this its last step) at all time of an object will give a value superior to light speed? 

I am moving to Alpha Centauri star, i have an acceleration of 1g, will i achieve my trip with the standard cinematic equation: v*t + 1/2 a *t² ?

Edited by MaximThibodeau

33 minutes ago, MaximThibodeau said:

If, I do understand correctly, the rocket will still have a speed increase (1 g acceleration) forever, but will never achieve the light of speed in the earth referential, but the spacecraft will be going much faster than that in the "referential of his last state", if i can expressed myself like that. So the Lorentz factor is only good in another referential, and does not state on the maximum speed of an object ?

At any point in time, you can decide on a local stationary frame of reference and your rocket will be be increasing its speed at 9.8 ms-2 with reference to that. But only initially, the increase of speed will decrease as your speed relative to that reference increases.

As a practical example, imagine your rocket is going at 90% of c, relative the the Earth. You can drop an object outside of the spaceship and decide that will be your "stationary"reference. When you drop the object, your speed is zero (with reference to the object) but after one second your are moving at 9.8 m/s relative to that object. After a year you will be travelling at nearly the speed of light relative to that object (and relative to the Earth).

You can then drop another object and treat that as stationary. After one second your are moving at 9.8 m/s relative to that object. After a year you will be travelling at nearly the speed of light relative to that object (and relative to the first object, and relative to the Earth).

39 minutes ago, MaximThibodeau said:

Maybe, the Sum of all speed, as an integration of accelerated movement at all time of an object will give a value superior to light speed? 

I'm afraid not. No reference frame, or combination of reference frames, can see an object moving at more than the speed of light.

Imagine that your are on Earth and you see one rocket (A) passing at 80% of the speed of light and another rocket (B) flying in the opposite direction at 80% at the speed of light. You will see them moving apart at 160% of the speed of light (but you are not seeing anything moving faster than light).

What speed will rocket A see rocket B receding at? 160% of the speed of light? No. 97.56% of the speed of light.

42 minutes ago, MaximThibodeau said:

I am moving to Alpha Centauri star, i have an acceleration of 1g, will i achieve my trip with the standard cinematic equation: v*t + 1/2 a *t² ?

No. You need to take relativity into account.

1 hour ago, MaximThibodeau said:

what will be the situation green or red ?

Neither. It will be like this:

aOZJk.gif

Where velocity is the velocity as seen by the "stationary" observer as a fraction of the speed of light

Note that velocity always increases. The rate at which velocity increases (Newtonian acceleration) decreases. You get closer and closer to c but never reach it.

  • Author

Sorry about how i draw my corner, that is not the point. So it will be more affordable to cut the engine around 0.8 ?

If, like i am, i dont understand the Lorentz factor correctly, will I loose energy to continue with a thrust over that level ?

Are thermodynamic laws, wrong ?

The first law of thermodynamics is a version of the law of conservation of energy, adapted for thermodynamic systems. The law of conservation of energy states that the total energy of an isolated system is constant; energy can be transformed from one form to another, but can be neither created nor destroyed. The first law is often formulated

image.png.ca0a973273c6c45cf5c2417220c363cc.png

Will my space craft overheat to explosion ?

  • Author
4 hours ago, studiot said:

I am wondering if Maxim's grasp is weaker in English than Physics.

My English is poor

 

4 hours ago, studiot said:

So attacking poorly worded English as poor thinking is counterproductive

yes

1 hour ago, MaximThibodeau said:

Sorry about how i draw my corner, that is not the point. So it will be more affordable to cut the engine around 0.8 ?

I'm not sure what you are asking. If you are asking what is the best point to start reducing your speed to reach the destination at zero velocity, then it is half way, even if you take relativity into account.

1 hour ago, MaximThibodeau said:

Are thermodynamic laws, wrong ?

No. But they are only valid in a single frame of reference. Energy is observer dependent. For example, if we are moving at different speeds, we will each measure the speed and the kinetic of an object differently.

  • Author
1 hour ago, MaximThibodeau said:

So it will be more affordable to cut the engine around 0.8 ?

to not loose gas, anymore, because we do not acquire additional speed, not in the middle of the trip, at the beginning when we first reach 0.8c.

 

The first law: The internal energy of an isolated system is constant

17 minutes ago, Strange said:

No. But they are only valid in a single frame of reference. Energy is observer dependent. For example, if we are moving at different speeds, we will each measure the speed and the kinetic of an object differently.

You mean that 1/2 m * v², such v = dx/dt, will have its time suffering dilatation?

2 minutes ago, MaximThibodeau said:

to not loose gas, anymore, because we do not acquire additional speed, not in the middle of the trip, at the beginning when we first reach 0.8c.

There is always a trade-off between journey time and fuel used. I am fairly sure it would be more efficient to accelerate half way and then decelerate half way. But it depends on what your constraints are.

5 minutes ago, MaximThibodeau said:

You mean that 1/2 m * v², such v = dx/dt, will have its time suffering dilatation?

The important point is that velocity is relative. So you may see an object with velocity v and calculate the kinetic energy as [math]\frac{1}{2} m v^2[/math]. But someone else, in a different frame of reference will see the same object with velocity v' and they will  calculate the kinetic energy as [math]\frac{1}{2} m v^{\prime 2} [/math].

And, if v (or v') gets large then you will need to use the relativistic equation for kinetic energy: https://en.wikipedia.org/wiki/Kinetic_energy#Relativistic_kinetic_energy_of_rigid_bodies

  • Author
4 hours ago, MaximThibodeau said:

 

image.png.b1a762733f5c474c85061e198627a0fa.png

 

You changed your mind about that, now its the red ?

image.png.fa63cd5311297cf9b272a76426953c2d.png

33 minutes ago, Strange said:

There is always a trade-off between journey time and fuel used. I am fairly sure it would be more efficient to accelerate half way and then decelerate half way. But it depends on what your constraints are.

With such penalty, at 0.99c, i wont...

On ‎2018‎-‎03‎-‎31 at 4:02 AM, MaximThibodeau said:

What is happening to the quantity that is acceleration when the object is close to light speed ? I mean, why when we push on the acceleration pedal we actually slow down, close to light speed ?

Kinetic energy problem, that should be explored because:

or

On ‎2018‎-‎03‎-‎31 at 4:40 AM, MaximThibodeau said:

image.png.dc33301187e19a8f3b466f56b66bd4b3.png

 

 

Edited by MaximThibodeau

18 minutes ago, MaximThibodeau said:

You changed your mind about that, now its the red ?

I didn't understand what your graph was supposed to show. (Your calculation in the red box is incomprehensible.)

You would need to work out full used vs travel time and what you want to achieve. There is no general answer otherwise.

  • Author

If you have nothing else to add, im taking all that in consideration and coming later with a resume. Tank you.

Edited by MaximThibodeau

  • Author

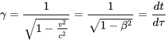
Why I don't understand the Lorentz factor correctly ?

 

The Lorentz factor or Lorentz term is the factor by which time, length, and relativistic mass change for an object while that object is moving. The expression appears in several equations in special relativity, and it arises in derivations of the Lorentz transformations. The name originates from its earlier appearance in Lorentzian electrodynamicsnamed after the Dutch physicist Hendrik Lorentz.

image.png.2f7ea696eec28761ddb847fb2cefd01e.png

It is include in the famous Einstein Equation:

image.png.7594695082967a094ba9bde506eef372.png

image.png.18e6b343a247332f12b11a03cf8e396a.png

Where velocity is the velocity as seen by the "stationary" observer as a fraction of the speed of light

Note that velocity always increases. The rate at which velocity increases (Newtonian acceleration) decreases. You get closer and closer to c but never reach it.

 

I can't achieve to understand, why when we reach 1 year, we should cut our rocket engine, to save gas, even if we are in a 25 years trip. Lets say that there is air in space. What my rotor located on the spacecraft, that will be use to measure the spacecraft speed, is going to show, if we are continuing acceleration indefinitely?

image.png.acd43bec88bcfd1647da0c401a0de721.png

 

Again, Tank you for your answers :)

 

22 minutes ago, MaximThibodeau said:

I can't achieve to understand, why when we reach 1 year, we should cut our rocket engine, to save gas, even if we are in a 25 years trip.

That has nothing to do with relativity. It sounds more like economics.

22 minutes ago, MaximThibodeau said:

Lets say that there is air in space. What my rotor located on the spacecraft, that will be use to measure the spacecraft speed, is going to show, if we are continuing acceleration indefinitely?

Assuming that air is stationary with respect to the Earth, then ...

IF by "acceleration" you mean you feel the same force from your rocket then you will see your speed relative to the air increase ever more slowly.

IF by "acceleration" you mean that your speed increases at 9.8 m/s2 with respect to the air, then your engines will require increasing amounts of energy. This will approach infinite (and your spaceship will be destroyed by the forces) before you reach the speed of light.

22 minutes ago, MaximThibodeau said:

Why I don't understand the Lorentz factor correctly ?

I don't know!

It is really quite simple. I can only assume you are rejecting it because it is counter-intuitive.

Also, note that this isn't just theoretical. It has been extensively tested experimental and needs to be taken into account in many practical systems.

Edited by Strange

  • Author
2 minutes ago, Strange said:

I can only assume you are rejecting it because it is counter-intuitive

Yes, it is like that for me

2 hours ago, Strange said:

I can only assume you are rejecting it because it is counter-intuitive.

 

2 hours ago, MaximThibodeau said:

Yes, it is like that for me

My interest in SR/GR as a lay person, was jolted into life after I read Hawking's BHoT, and started to frequent science forums such as this. The first forum I was a part of [now defunct] was fortunate enough to have a professional Astronomer and a SR/GR expert.

One example given on things that were "counter intuitive" yet correct concerned the following example: A scientist in Britain was asked for advice on where exactly to fix armour to British bombers during WW2. Obviously the parts that were prone to damage, enough to compromise the ability of the bomber's return to Britiain was paramount as weight obviously needed to also be considered.

Names at this time escape me, but the scientist involved obviously only had the bombers that were lucky  enough to return after a bombing run, as evidence. He recommended that armour be placed on the sections of the bombers where no damage was apparent. The RAF were puzzled to say the least, until he explained the "method in his apparent madness." His reasoning went like this.....the bombers that did return although damaged and near all with bullet holes etc, were able to survive and make successful return to Britain. He reasoned that the bombers unlucky enough not to be able to return to base and that had crashed, were hit probably mainly in other more critical areas other then the areas of damage on the bombers that were able to return. So he recommended armour on those apparent critical areas...Bloody brilliant I thought!! :D

Likewise light to the naked eye and the average Joe Blow, appears instantaneous: Science though showed that it wasn't, and also that the speed of light in a vacuum, "c" was a fixed, constant property, and the maximum speed limit of the universe. Something else therefor had to give...Along came Einstein, [and others ] That something else was time and space! Which previously had seemed constant and unchangeable. The variablity now of space and time is easily recognised and examples of it obvious every day....In other words there is no universal NOW: Time and space are relative and explain and eliminate the apparent counter intuitive problem. 

Edited by beecee

13 hours ago, MaximThibodeau said:

Why I don't understand the Lorentz factor correctly ?

 

 

Maybe you skip the fact that time changes also. The ticking rate of a clock on the moving object changes as observed from the stationary observer.

10 hours ago, beecee said:

 

My interest in SR/GR as a lay person, was jolted into life after I read Hawking's BHoT, and started to frequent science forums such as this. The first forum I was a part of [now defunct] was fortunate enough to have a professional Astronomer and a SR/GR expert.

One example given on things that were "counter intuitive" yet correct concerned the following example: A scientist in Britain was asked for advice on where exactly to fix armour to British bombers during WW2. Obviously the parts that were prone to damage, enough to compromise the ability of the bomber's return to Britiain was paramount as weight obviously needed to also be considered.

Names at this time escape me, but the scientist involved obviously only had the bombers that were lucky  enough to return after a bombing run, as evidence. He recommended that armour be placed on the sections of the bombers where no damage was apparent. The RAF were puzzled to say the least, until he explained the "method in his apparent madness." His reasoning went like this.....the bombers that did return although damaged and near all with bullet holes etc, were able to survive and make successful return to Britain. He reasoned that the bombers unlucky enough not to be able to return to base and that had crashed, were hit probably mainly in other more critical areas other then the areas of damage on the bombers that were able to return. So he recommended armour on those apparent critical areas...Bloody brilliant I thought!! :D

Likewise light to the naked eye and the average Joe Blow, appears instantaneous: Science though showed that it wasn't, and also that the speed of light in a vacuum, "c" was a fixed, constant property, and the maximum speed limit of the universe. Something else therefor had to give...Along came Einstein, [and others ] That something else was time and space! Which previously had seemed constant and unchangeable. The variablity now of space and time is easily recognised and examples of it obvious every day....In other words there is no universal NOW: Time and space are relative and explain and eliminate the apparent counter intuitive problem. 

The peculiar thing is that many people (scientists included) firmly believe that a moving object has the power to bend Space & Time around it. I am convinced that it is not the case. The only thing that do happen is that the observers are observing an observation. Space & Time do not bend, they are observed (and measured) as being bend.

Edited by michel123456

29 minutes ago, michel123456 said:

The peculiar thing is that many people (scientists included) firmly believe that a moving object has the power to bend Space & Time around it. I am convinced that it is not the case. The only thing that do happen is that the observers are observing an observation. Space & Time do not bend, they are observed (and measured) as being bend.

As SR (and science more generally) is about what we observe, not about "reality", I can't see any difference in those views.

15 hours ago, Strange said:

That has nothing to do with relativity. It sounds more like economics.

It has a little to do with relativity. 

Even with non-relativistic physics, the energy cost of doubling your speed is large. If you change from v to 2v, it costs you 3x your current energy (assuming no loss of efficiency) to drop your travel time in half. In the relativistic case, you can't double your speed once you hit c/2, and the shortcoming will come into play even before that, so the energy cost is even higher. Once you can't change your speed very much, any gains you have come largely from changing the amount of time dilation/length contraction.

2 hours ago, Strange said:

As SR (and science more generally) is about what we observe, not about "reality", I can't see any difference in those views.

You can't see any difference?

26 minutes ago, michel123456 said:

You can't see any difference?

Not really. But that may be because I am, by inclination, a naive realist (I think that what we see around us and what our scientific models describe is more or less reality) but am also sensible enough to realise that is an irrational belief with no basis.

So, at the same time that I think our models describe reality, I know they are just models and we can't possibly know anything about reality.

I am quite comfortable with the cognitive dissonance required! :)

We are observing the sun vanishing behind the horizon at sunset. Reality is different. Or we have a different definition of what "reality" is.

35 minutes ago, michel123456 said:

We are observing the sun vanishing behind the horizon at sunset. Reality is different.

Do you mean, because in reality the Sun doesn't vanish?

But I know that, logically, there is no way we can know if the Sun really exists or not. But I am happy to go with the "obvious" conclusion that it does. Ditto the curvature of space-and time.

1 hour ago, michel123456 said:

You can't see any difference?

Just to clarify this. I think it is more accurate to say that, according to GR, the geometry of space-time curves. But geometry is just a mathematical abstraction that we have invented. 

And the geometry really is curved (we invented it in the first place and if we want to say it is curved, we can).

Edited by Strange

Archived

This topic is now archived and is closed to further replies.

Important Information

We have placed cookies on your device to help make this website better. You can adjust your cookie settings, otherwise we'll assume you're okay to continue.

Account

Navigation

Search

Search

Configure browser push notifications

Chrome (Android)
  1. Tap the lock icon next to the address bar.
  2. Tap Permissions → Notifications.
  3. Adjust your preference.
Chrome (Desktop)
  1. Click the padlock icon in the address bar.
  2. Select Site settings.
  3. Find Notifications and adjust your preference.