Jump to content

What is derivation of the equation of total energy?

Featured Replies

Start with [math]E = {\gamma}mc^2[/math]

 

expand gamma, equating it to the right-hand side of the equation. Multiply through by the denominator

 

[math]{\gamma}m^2c^4-{\gamma}m^2v^2c^2 = m^2c^4[/math]

 

 

move the negative term to the other side and note that

 

[math]{\gamma}^2m^2v^2 = p^2[/math]

 

Left-hand side is E2 and the right-hand side is m2c4+p2c2

Edited by swansont
fix typo

  • Author

Start with [math]E = {\gamma}mc^2[/math]

 

expand gamma, equating it to the right-hand side of the equation. Multiply through by the denominator

 

[math]{\gamma}m^2c^4-{\gamma}m^2v^2c^2 = m^2c^4[/math]

 

 

move the negative term to the other side and note that

 

[math]{\gamma}m^2v^2 = p^2[/math]

 

Left-hand side is E2 and the right-hand side is m2c4+p2c2

I have understood only the start.

I think [math]{\gamma}^2m^2v^2 = p^2[/math]

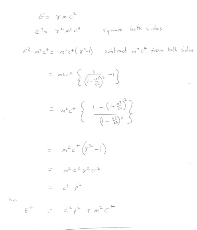
I had a bad latex day recently so I have sketched the derivation out longhand.

You should have enough to fill in the arithmetic, ask if there are any steps you don't follow.

 

post-74263-0-97080600-1411135751_thumb.jpg

The question must now be where does [math]E = \gamma m c^{2}[/math] come from?

 

Another way to get at the equation you seek is to consider the world line action of a free relativistic particle. Depending on how you formulate this, there are several ways, you see that [math]E^{2}-p^{2}= m^{2}[/math] comes out as an equation of motion.

 

That is all classical physical particles must obey this relation, including massless particles. That why we can talk about on-shell and off-shell in quantum field theory. This means if the classical equations of motion are imposed or not. For example, people will talk about virtual particle being off-shell for exactly this reason; they are not constrained to obey the classical equations of motion.

Edited by ajb

The easiest way would be to use four-vectors. The four-momentum is:

 

[math]p^\mu = (E/c, \vec{p})[/math]

 

This can be found easily by simply defining four-momentum as mass times four-velocity, where four-velocity is the derivative of position [math]x^\mu =(ct,\vec{x})[/math] with respect to proper time. We know that the magnitude of the four-momentum must be constant for every observer:

 

[math]p_\mu p^\mu = const.[/math]

 

If we consider the frame where a particle is at rest, its momentum becomes:

 

[math]p^\mu = (E/c,0)[/math]

 

But when a particle is at rest its energy is just its rest energy, which is equal to its mass:

 

[math]p^\mu = (mc,0)[/math]

 

Its magnitude squared is:

 

[math]p_\mu p^\mu = m^2 c^2[/math]

 

In some other general reference frame we have:

 

[math]p_\mu p^\mu = E^2/c^2 - |\vec{p}|^2[/math]

 

But as I said these must be equal, so:

 

[math]E^2/c^2 - |\vec{p}|^2= m^2 c^2[/math]

 

You can do a little rearranging to get it into the more familiar form:

 

[math]E^2 = m^2 c^4 + |\vec{p}|^2 c^2[/math]

Edited by elfmotat

  • Author

you see that [math]E^{2}-p^{2}= m^{2}[/math] comes out as an equation of motion.

 

I see different units, how can they work in the equation?

kg2m4/s4 - kg2m2/s2 = kg2

I see different units, how can they work in the equation?

kg2m4/s4 - kg2m2/s2 = kg2

Try again , with this:

 

[math]E^2-(pc)^2=(mc^2)^2[/math]

 

It is standard practice to set c=1.

Indeed, for notational simplicity I set c = 1. It is very common to do this, but it can be confusing especially if you want to view c as a parameter that sets some scales in the theory.

Archived

This topic is now archived and is closed to further replies.

Important Information

We have placed cookies on your device to help make this website better. You can adjust your cookie settings, otherwise we'll assume you're okay to continue.

Configure browser push notifications

Chrome (Android)
  1. Tap the lock icon next to the address bar.
  2. Tap Permissions → Notifications.
  3. Adjust your preference.
Chrome (Desktop)
  1. Click the padlock icon in the address bar.
  2. Select Site settings.
  3. Find Notifications and adjust your preference.