Skip to content

Quick LaTeX Tutorial

Featured Replies

[math]\left(\sqrt[5]{x + y}\right)[/math]

 

just testing...

[math] E = mc^2 [/math]

 

Ah...nice...thanks

 

[math] E/c=\sqrt{(m_0c)^2+p^2} [/math]

 

Wow...even cooler...

 

thanks A.E. & (edit) Dave.

  • 2 weeks later...

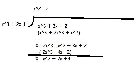
I had a thread a while ago and I was wondering if there are latex symbols for the long division and perhaps extension code for working out the problem..

 

I would dislike using the square root symbol for this, but it seems like the next closest thing. I don't like using the

 

$12/24$ type of stuff that gives a number over a line and a bottom number under that line.

 

Arg, too many different BBSs have different latex systems.

worked.JPG

  • 3 weeks later...
  • 1 month later...

When I need to write mathematical expressions on my computer for personal use I come to these forums and write it in latex then hit preview and save the image to my computer. This is quite annoying and unconventional, is there a program I can download that either generates latex images or has a complete UI for writing such expressions?

 

Thankyou.

Cheers! I remember seeing that advertised in NewScientist, I'm gonna check it out.

I agree with Dave that the most sensible thing to do is install LaTeX on your system. But if you really don't want to do that you'll need a LaTeX emulator like mimeTeX.

 

Assuming that you are using Windows, then download mimetex.exe from there. You can then call mimetex from the DOS command line, but the simplest thing to do is write a batch file:

@echo off
mimetex -f mimetemp.tex -e mimetemp.gif

Save your latex code in mimetemp.tex, run the batch file and the image will appear as mimetemp.gif.

And if you want a free equation editor to generate the LaTeX code for you, have a look at TeXAide

  • 2 weeks later...

just testing this out...

 

[math]\frac{x^2 + 4x}{2y^2 + y} = 6[/math]

 

Derivative:

 

[math]\frac{(2x + 4)\cdot(2y^2 + y) - (x^2 + 4x)\cdot(2\frac{dy}{dx} + 1)}{(2y^2 + y)^2} = 0[/math]

 

[math]\frac{(4xy^2 + 2xy + 4xy^2 + 4xy) - (2x^2\frac{dy}{dx} + x^2 + 4x\frac{dy}{dx} + 4x)}{(2y^2 + y)^2} = 0[/math]

 

[math]\frac{8xy^2 + 6xy - x^2 - 4x}{(2y^2 + y)^2} + \frac{-2x^2\frac{dy}{dx} - 4x\frac{dy}{dx}}{(2y^2 + y)^2} = 0[/math]

 

[math]\frac{dy}{dx} = \frac{8xy^2 + 6xy - x^2 - 4x}{-2x^2 - 4x}[/math]

 

now hopefully that will work out fine...

Also if any math is wrong please tell me lol

 

the language to use is easy just going through it all is hard lol

It would be easier to say

[math]\frac{x^2 + 4x}{2y^2 + y} = 6 \implies x^2+4x=6\left(2y^2+y \right)[/math]

 

Hence

[math]2x+4=6\left(4y\frac{dy}{dx}+\frac{dy}{dx}\right)=6\frac{dy}{dx}(4y+1)[/math]

 

So [math]\frac{dy}{dx}=\frac{2x+4}{6(4y+1)}[/math]

  • 3 weeks later...

[math]Gradient = \frac{kV^2}{m} = \frac{0.00779*15^2}{0.1128} = 15.539[/math]

  • 2 months later...

What's wrong why can't I see a formula here?

This is generated with matlab 6.5, command Latex(S).

[math]-\sin(\left({\it Patm}\,t-\arctan({\frac {{\it Pstart}}{\sqrt {-{{\it Pstart}}^{2}+{{\it Pin}}^{2}}}})\sqrt {{\it Kv}}{\it Volume}\right){\frac {1}{\sqrt {{\it Kv}}}}{{\it Volume}}^{-1}){\it Pin}\,\cos(\left({\it Patm}\,t-\arctan({\frac {{\it Pstart}}{\sqrt {-{{\it Pstart}}^{2}+{{\it Pin}}^{2}}}})\sqrt {{\it Kv}}{\it Volume}\right){\frac {1}{\sqrt {{\it Kv}}}}{{\it Volume}}^{-1})\sqrt {{{\it Pin}}^{2}{\it Kv}\,\sqrt {-{{\it Pstart}}^{2}+{{\it Pin}}^{2}}\left (-2\,\sqrt {-{{\it Pstart}}^{2}+{{\it Pin}}^{2}}{{\it Pstart}}^{2}\left (\cos({\frac {{\it Patm}\,t}{\sqrt {{\it Kv}}{\it Volume}}})\right )^{2}+\sqrt {-{{\it Pstart}}^{2}+{{\it Pin}}^{2}}{{\it Pin}}^{2}\left (\cos({\frac {{\it Patm}\,t}{\sqrt {{\it Kv}}{\it Volume}}})\right )^{2}-2\,{{\it Pstart}}^{3}\sin({\frac {{\it Patm}\,t}{\sqrt {{\it Kv}}{\it Volume}}})\cos({\frac {{\it Patm}\,t}{\sqrt {{\it Kv}}{\it Volume}}})+2\,{\it Pstart}\,\sin({\frac {{\it Patm}\,t}{\sqrt {{\it Kv}}{\it Volume}}}){{\it Pin}}^{2}\cos({\frac {{\it Patm}\,t}{\sqrt {{\it Kv}}{\it Volume}}})+\sqrt {-{{\it Pstart}}^{2}+{{\it Pin}}^{2}}{{\it Pstart}}^{2}\right )^{-1}}{\frac {1}{\sqrt {{\it Kv}}}}[/math]

 

-\sin(\left({\it Patm}\,t-\arctan({\frac {{\it Pstart}}{\sqrt {-{{\it Pstart}}^{2}+{{\it Pin}}^{2}}}})\sqrt {{\it Kv}}{\it Volume}\right){\frac {1}{\sqrt {{\it Kv}}}}{{\it Volume}}^{-1}){\it Pin}\,\cos(\left({\it Patm}\,t-\arctan({\frac {{\it Pstart}}{\sqrt {-{{\it Pstart}}^{2}+{{\it Pin}}^{2}}}})\sqrt {{\it Kv}}{\it Volume}\right){\frac {1}{\sqrt {{\it Kv}}}}{{\it Volume}}^{-1})\sqrt {{{\it Pin}}^{2}{\it Kv}\,\sqrt {-{{\it Pstart}}^{2}+{{\it Pin}}^{2}}\left (-2\,\sqrt {-{{\it Pstart}}^{2}+{{\it Pin}}^{2}}{{\it Pstart}}^{2}\left (\cos({\frac {{\it Patm}\,t}{\sqrt {{\it Kv}}{\it Volume}}})\right )^{2}+\sqrt {-{{\it Pstart}}^{2}+{{\it Pin}}^{2}}{{\it Pin}}^{2}\left (\cos({\frac {{\it Patm}\,t}{\sqrt {{\it Kv}}{\it Volume}}})\right )^{2}-2\,{{\it Pstart}}^{3}\sin({\frac {{\it Patm}\,t}{\sqrt {{\it Kv}}{\it Volume}}})\cos({\frac {{\it Patm}\,t}{\sqrt {{\it Kv}}{\it Volume}}})+2\,{\it Pstart}\,\sin({\frac {{\it Patm}\,t}{\sqrt {{\it Kv}}{\it Volume}}}){{\it Pin}}^{2}\cos({\frac {{\it Patm}\,t}{\sqrt {{\it Kv}}{\it Volume}}})+\sqrt {-{{\it Pstart}}^{2}+{{\it Pin}}^{2}}{{\it Pstart}}^{2}\right )^{-1}}{\frac {1}{\sqrt {{\it Kv}}}}

 

 

 

Edit:

OK, found the error. In which program can I make a pretty formula based on this latex?

There is a pretty command in matlab but it's not graphical.

surely the warning that the string is too long explains why it won't work on this forum.

 

If you want to see it just latex it at home using your installation of latex. This is freely available for all *nix platforms, windows, mac OSX, and probably many more besides. just download the relevant version and enjoy. use google to find it.

  • 2 weeks later...

How would you put a space in Latex?

 

Say I wanted to put something in scientific notation, what's the best way to do that.

it's a slash followed by a space. eg "\ " without the quotation marks. You can insert larger spaces. Use google to get the information; there is a lot of latex on line (no puns please).

Use google to get the information; there is a lot of latex on line (no puns please).

Actually, I always google for "tex" for that reason.

That might well work, but for the newbies remember a lot of tex stuff is deprecated in latex2e (documentclass for instance doesn't work in tex).

  • 1 month later...

Hey Dave, can you tell me if this is a bug?

 

Sometimes I get a restricted command error even when its text and not a command, name for example triggers error even if its not preceded by a slash... any ideas?

 

Cheers,

 

Ryan Jones

Archived

This topic is now archived and is closed to further replies.

Important Information

We have placed cookies on your device to help make this website better. You can adjust your cookie settings, otherwise we'll assume you're okay to continue.

Account

Navigation

Search

Search

Configure browser push notifications

Chrome (Android)
  1. Tap the lock icon next to the address bar.
  2. Tap Permissions → Notifications.
  3. Adjust your preference.
Chrome (Desktop)
  1. Click the padlock icon in the address bar.
  2. Select Site settings.
  3. Find Notifications and adjust your preference.