Skip to content

Help me solve the differential equation

Featured Replies

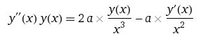
Is it possible to find an analytical solution to the following differential equation

dfg.jpg.bf53e3cec2e187dd2fb4034b4c25fa28.jpg

Thank you in advance to those who will respond

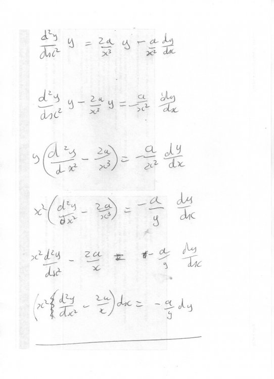
This could be a start.

If I have read you correctly, then I have separated the variables for you.

Edit, Whoopsy I have needed to edit last line as can be seen.

Sorry.

diffeq2.thumb.jpg.f43a0108be9c43d3a97ead04032abcdd.jpg

Edited by studiot

By inspection, y=0 is solution.

Now, after a couple of tries, one gets the intuition that the solution is some kind of potential function, so let's try that out:

\[y=kx^{p}\]

then,

\[y'=pkx^{p-1}\]

\[y''=p\left(p-1\right)kx^{p-2}\]

Substituting and finding condition for p and k:

\[k^{2}p\left(p-1\right)x^{2p-2}=ak\left(2-p\right)x^{p-3}\]

\[\Rightarrow p=-1\]

\[2k^{2}=ak\Rightarrow\]

\[k=0\]

(the trivial solution we found by inspection) or:

\[k=\frac{a}{2}\]

with which,

\[y=\frac{a}{2}x^{-1}\]

Mind you, non-linear differential equations may have more families* of solutions. Check me for mistakes.

* Typically, not families. Rather, isolated solutions.

Edit 1: Please, ask me if you're interested in uniqueness.

Edited by joigus
minor addition

  • Author
1 hour ago, joigus said:

Now, after a couple of tries, one gets the intuition that the solution is some kind of potential function, so let's try that out:

Thank you.

 Yes, this is the equation for a point mass field, taking into account the mass of the field itself.

I used to think the density of the gravitational field was equal ro=g^2/4*Pi*c^2 which led to an incorrect decision.

Replacing c^2 with phi led to an equation that I asked for help solving. In him y(x)=phi(r) and a=4*Gm.

The solution you found gives Newton's law of gravity

phi(r) = -2Gm/r g(r)=(dPhi/dr)/2=-Gm/r^2

It turns out that taking into account the mass of the gravitational field itself does not change anything in Newton's law of gravity.

5 minutes ago, SergUpstart said:

Thank you.

 Yes, this is the equation for a point mass field, taking into account the mass of the field itself.

I used to think the density of the gravitational field was equal ro=g^2/4*Pi*c^2 which led to an incorrect decision.

Replacing c^2 with phi led to an equation that I asked for help solving. In him y(x)=phi(r) and a=4*Gm.

The solution you found gives Newton's law of gravity

phi(r) = -2Gm/r g(r)=(dPhi/dr)/2=-Gm/r^2

It turns out that taking into account the mass of the gravitational field itself does not change anything in Newton's law of gravity.

So you were thinking about gravitational potentials from the get go, and you couldn't figure out that a plausible solution was k/x? Something doesn't add up here. This sounds a bit disingenuous... Is it gravity you want to talk about, instead of calculus?

  • Author
5 hours ago, joigus said:

So you were thinking about gravitational potentials from the get go, and you couldn't figure out that a plausible solution was k/x? Something doesn't add up here. This sounds a bit disingenuous... Is it gravity you want to talk about, instead of calculus?

No, I really couldn't solve this equation for a long time and decided to turn to mathematicians. How could I have known that you would solve the equation? I was hoping that the solution would converge to Gm/r^2 in the asymptotic for large r, but not exactly match it.

Edited by SergUpstart

 

10 hours ago, joigus said:

Now, after a couple of tries, one gets the intuition that the solution is some kind of potential function, so let's try that out:

 

y=kxp

 

An exponential function is not suprising since my last line leads to three integrals two of which are standard logarithmic ones.
The third one need to be handled by parts.

So it is one of those situations where you have multiple competing functions and  it depends (as you note) on aditional information (boundary conditions) which dominates.

 

+1 to joigus for 'the physicist's method'

Edited by studiot

9 hours ago, SergUpstart said:

Yes, this is the equation for a point mass field, taking into account the mass of the field itself.

In Newtonian physics, gravity is a linear interaction - meaning the field does not self-interact, so it is not possible to attribute mass to it. One could thus have guessed at the end result without needing to solve this (really awkward) equation.
For a model of gravity that is non-linear, i.e. where the field self-interacts, have a look at General Relativity as well as it numerous off-shoots and alternatives.

Edited by Markus Hanke

7 hours ago, Markus Hanke said:

In Newtonian physics, gravity is a linear interaction - meaning the field does not self-interact, so it is not possible to attribute mass to it. One could thus have guessed at the end result without needing to solve this (really awkward) equation.
For a model of gravity that is non-linear, i.e. where the field self-interacts, have a look at General Relativity as well as it numerous off-shoots and alternatives.

I've missed that point. +1

I was so distracted with the equation itself, and then the OP completely changed the subject to gravity. It threw me off...

Archived

This topic is now archived and is closed to further replies.

Important Information

We have placed cookies on your device to help make this website better. You can adjust your cookie settings, otherwise we'll assume you're okay to continue.

Account

Navigation

Search

Search

Configure browser push notifications

Chrome (Android)
  1. Tap the lock icon next to the address bar.
  2. Tap Permissions → Notifications.
  3. Adjust your preference.
Chrome (Desktop)
  1. Click the padlock icon in the address bar.
  2. Select Site settings.
  3. Find Notifications and adjust your preference.