Skip to content

An Alternative Equation for the Wavefunction and its Eigenfunctions

Featured Replies

Here this may help it's a basic level however it illustrates the problems with trying to apply the classical view to a particles intrinsic spin.

https://www.google.com/url?sa=t&source=web&rct=j&url=http://physics.mq.edu.au/~jcresser/Phys301/Chapters/Chapter6.pdf&ved=2ahUKEwjg3evY347pAhUXJDQIHQQvCkoQFjAMegQICBAB&usg=AOvVaw0yaFzZDTtdlZy9E9oaeWYe

Particularly treating a point particle which on scatterring experiments if it has a radius it would be less than [math]10^{-18} [/math] it will then explain why the classical view doesn't work with this.

 

Edited by Mordred

  • Author

So this will be long, but I would like to clarify my mathematics, which with all of your input, have been developing.

1516995100_GammaComponents1.thumb.PNG.4b976b598ce776244947d82d9318e37d.PNG

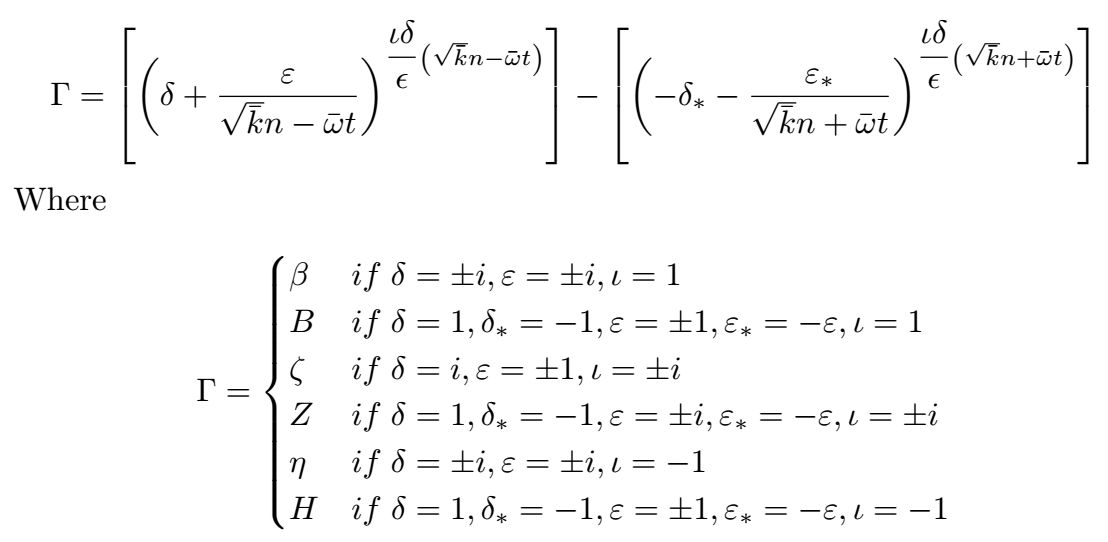
So there are six gamma components listed in the conditional equation. Each is achieved by substituting in one of the combinations of variables for delta, epsilon and iota. Gamma components are basically composed of two sides each resembling the definition of e: (1+1/n)^n. If they have spin one, one side is going to rotate the same way as the other even though the first side will have a t that is growing and the other shrinking such that this will grow. Now if you take an equation of e, and make it a function of n, then it will grow very quickly at first, and then more slowly. This is essentially why scaling n scales the rate of growth, and is also why multiplying by the square root of k bar is going to scale down the rate of growth proportional to k bar. However, because scaling down the rate of growth doesn’t affect the number of rotations per that length, the number of rotations per length will increase due to k bar (if it’s a gamma component with spin).  A higher omega bar, on the other hand, will make time be more effectual than it is for other particles and so the gamma component will grow faster. A gamma component looks like an x eigenfunction only it doesn’t spin over time and it will be incredibly small. Perhaps, it can have small eigenvalues and then omega would be very small as well such that the change in t equates to the rate of growth of the eigenvalues at the speed of light. Or you can scale up the eigenfunctions by theta (all symbols used in this theory are not meant to equate to any others outside it):

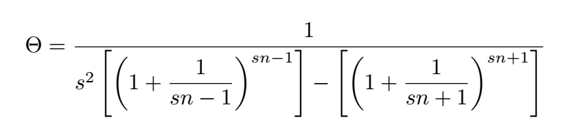
1528902366_Theta1.PNG.aa49d60f5e52466d6ab321f52386854f.PNG

The short explanation of rate of growth is that it is how fast these will grow relative to each other and has to cancel with the scale of omega components. Here’s a chart:

1090773024_ChartofGamma2.PNG.e3667305e1d61613ba5e017031bdab27.PNG

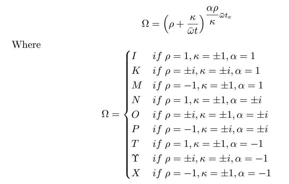
Now to Omega Components

977089750_OmegaComponents1.PNG.b3a59e6815de13ed2d0a4c060b7336cb.PNG

There are nine omega components. I won’t go into as much detail with these because they are essentially the same as gamma components, except they are more or less on the scale of one (because they don’t subtract with another e-like equation) and when they multiply gamma components will cause them to rotate through time (if they have spin). Like gamma components, each particular component has its own attributes varying in scale, which can be e, 1 or 1/e—and spin which can be 1, ½ or 0.

1777459914_ChartofOmegaComponents1.PNG.b8b85c0149f4cc39c57c8a8045bf33f4.PNG

Now To Waveparticles

In order to form a waveparticle, omega components multiply no more and no less than one gamma component, for example a lowercase beta multiplied by an uppercase omicron. The angular momentum can be increased by multiplying a waveparticle by a lowercase gamma component divided by an uppercase, and omega component can be multiplied in to increase the spin by ½ or 1. Unless otherwise indicated, all these components have the same n, omega overbar and k overbar.

All the other equations have this equation for a waveparticle in them although they also multiply and/or divide other omega and/or gamma components. Importantly, in all cases an input in the function has a position value that is determined by the eigenvalue of this waveparticle within the equation. So, for example, if you divide this waveparticle with spin by a lowercase gamma component, then it is what I argue to be a replacement for the wavefunction, and it still has a position determined by the eigenvalue of the waveparticle without the uppercase gamma component dividing it.

Now this new wavefunction has k overbar and w overbar values that may continuously vary arbitrarily over time such that it can take on any arbitrary shape, and it may have probability scalars such that it can be normalized. I would like to argue, in other words, that all the techniques applied to the wavefunction are also applied to this new wavefunction. Hilbert space, for example, still applies, probability, etc.

See the article for more detail. I’ve omitted all but the fundamentals.

Now all three of your challenges and questions I’ve found enriching and thought provoking, and so in that spirit, I will return the challenge. It involves a thought experiment: imagine there’s another planet that has a species that has reached approximately the same point in physics as on this planet. They have discovered the equations I've used and use them, albeit more adeptly than I, as solutions to their mathematical equivalents of Schrodinger’s, Dirac’s, etc. They haven’t discovered the wavefunction used on Earth. Someone discovers the wavefunction used on Earth and perhaps he doesn’t understand the more complicated equations in physics, and so the professors consider this wavefunction to be too far off the beaten path.

Can you mathematically prove this thought experiment is an impossibility by showing that my equation for the wavefunction and my eigenfunctions are incompatible substitutes for the wavefunction and its eigenfunctions in Schrodinger’s, Dirac’s, etc?

Chart of Gamma Components 1.PNG

Edited by John Henke

  • Author

Ignore that last chart. It's wrong and I can't edit it out for some reason.

Also, I forgot to define s which is a constant that approaches infinity.

And omega would equate to the inverse of theta at E=1 if you want to take the interpretation that time and space are both very small.

27 minutes ago, John Henke said:

Also, I forgot to define s which is a constant that approaches infinity.

a constant that varies, that's a clever trick how does that one work?

  • Author
28 minutes ago, studiot said:
57 minutes ago, John Henke said:

Also, I forgot to define s which is a constant that approaches infinity.

a constant that varies, that's a clever trick how does that one work?

Yes, my mistake, I meant a constant that's very high.

And to be clear, gamma components can have angular momentum, not spin.

Edited by John Henke

Here is my difficulty with what you are making great effort to post.

Going back to my third post I offered you the simplest wave equation


[math]\frac{{{\partial ^2}\Im }}{{\partial {x^2}}} = \frac{1}{{{v^2}}}\frac{{{\partial ^2}\Im }}{{\partial {t^2}}}[/math]..................1


(I have changed the variable symbol to avoid confusion with either your notation or conventional notation)

[math]\Im [/math] is the quantity that is behaving in a wavelike fashion and is called 'the wave function'    more of that later.

and I asked then and subsequently

On 4/28/2020 at 9:59 AM, studiot said:

if gamma is meant to be your 'wavefunction' what is the 'wave equation' it is meant to be a solution of?

I still have not had an answer to that question.

 

Now here's the thing.

That simple wave equation has an infinitude of solutions of the form


[math]\Im  = F\left( {x + vt} \right) + G\left( {x - vt} \right)[/math]...................2

Where F and G are arbitrary functions

So I have stated two equations, 1 and 2.

My equation 1 is a wave equation and 2 is an expression of the wave function.
If you like equation 1 is the 'parent'  for equation 2.

I asked the question what is your wave equation because your posted expression is not a wave equation it is a statement of a possible wave function, of the general form of my equation 2.

This is vitally important because all the detailed information required to select a specific wavefunction from that infinity (ie define F and G) is contained in the boundary conditions to the parent wave equation.

 

If there are not at least two boundaries (with conditions) the wavefunction will not be quantised but continuous.
The wavefunction must be continuous and finite between these boundaries.
If we want quantised solutions (wavefunctions) we must have the boundary conditions.
If the solutions are not quantised the terms eigenvalues and eigenfunctions have no meaning.
These boundary conditions also lead to what is known as 'penetration' and other quantum phenomena, curvature of the wavefunction at the boundary and so on.
When applied to the additional terms in more complicated wave equations, the boundary conditions also lead to the formation (or not) of wavepackets and control the behavious of these packets.

 

If you wish to connect your wave variable [math]\Im [/math] to other physical properties or entities such as momentum, force and so on you must be able to give it physical units.

What are the physical units of your gamma and omega?

 

This is why I am pushing for the full construct the complete package or the whole nine yards.

This will help everyone get on the same page.

  • Author
1 hour ago, studiot said:
On 4/28/2020 at 5:59 PM, studiot said:

if gamma is meant to be your 'wavefunction' what is the 'wave equation' it is meant to be a solution of?

I still have not had an answer to that question.

I did answer this. I said that gamma is not the wavefunction. I've defined it in more detail above, but an example of a wavefunction would be a lowercase gamma component multiplying an omega component with spin, both of these divided by an uppercase gamma component. You put this into a Hilbert space, normalize it, etc and use its solutions to Schrodinger's or Dirac's.

1 hour ago, studiot said:

If we want quantised solutions (wavefunctions) we must have the boundary conditions.

The example I just gave was of a free particle, but if you want to put it into an infinite square well, then you can add to the existing lowercase gamma component its complex conjugate. This cancels out the imaginary part and leaves the real part. Then at the lowest possible energy level it resembles jump rope with beginning and end points at the boundaries but is still rotated through time because the omega component rotates it. And then k bar can be increased by integers or alternatively one could simply multiply the equation by additional lowercase gamma components divided by uppercase. At some level these two solutions might equate and if so, should be fit into the mathematics.

1 hour ago, studiot said:

If you wish to connect your wave variable I to other physical properties or entities such as momentum, force and so on you must be able to give it physical units.

What are the physical units of your gamma and omega?

Well, the value of n is the same for all particles. It basically determines a Planck-constant like value such that if k bar=1, then n is unchanged. And n could also be used to find the value of omega bar=1 using theta. So n would determines a Planck constant like point. But if there was an army of physicists and supercomputers working on this, and they found the value of n (using the varying curvatures each particular value of n will have), then actually the units would be totally fundamental. At a given value of w bar and k bar and at a given input, there would more or less be an inititely long number that describes that position. Now this is in contrast to the units currently in use. I assume the universe is purely mathematical in structure and if that is the case, then there is a very particular value that the universe assigns to what we call one meter. This value is almost definitely not one. So this theory would have more fundamental descriptions of time and space.

1 hour ago, studiot said:

This is vitally important because all the detailed information required to select a specific wavefunction from that infinity (ie define F and G) is contained in the boundary conditions to the parent wave equation.

So I'm starting to realize that my original approach to getting superposition was wrong. This was the approach above where I argue that k bar and omega bar vary over time. I'm starting to think that physicists use a different approach which involves, vaguely, using many different solutions all together, linear algebra and all that. And if this is the case, then the same thing should be done with my equation when substituted into Schrodinger's. Thoughts?

Edited by John Henke

57 minutes ago, John Henke said:
1 hour ago, studiot said:

If you wish to connect your wave variable I to other physical properties or entities such as momentum, force and so on you must be able to give it physical units.

What are the physical units of your gamma and omega?

Well, the value of n is the same for all particles. It basically determines a Planck-constant like value such that if k bar=1, then n is unchanged. And n could also be used to find the value of omega bar=1 using theta. So n would determines a Planck constant like point. But if there was an army of physicists and supercomputers working on this, and they found the value of n (using the varying curvatures each particular value of n will have), then actually the units would be totally fundamental. At a given value of w bar and k bar and at a given input, there would more or less be an inititely long number that describes that position. Now this is in contrast to the units currently in use. I assume the universe is purely mathematical in structure and if that is the case, then there is a very particular value that the universe assigns to what we call one meter. This value is almost definitely not one. So this theory would have more fundamental descriptions of time and space.

 

I am very suspicious of your avoidance of answering a simple question.

My emphasis of the question in case you missed the question mark.

 

Edited by studiot

  • Author
23 minutes ago, studiot said:
1 hour ago, John Henke said:
1 hour ago, studiot said:

If you wish to connect your wave variable I to other physical properties or entities such as momentum, force and so on you must be able to give it physical units.

What are the physical units of your gamma and omega?

Well, the value of n is the same for all particles. It basically determines a Planck-constant like value such that if k bar=1, then n is unchanged. And n could also be used to find the value of omega bar=1 using theta. So n would determines a Planck constant like point. But if there was an army of physicists and supercomputers working on this, and they found the value of n (using the varying curvatures each particular value of n will have), then actually the units would be totally fundamental. At a given value of w bar and k bar and at a given input, there would more or less be an inititely long number that describes that position. Now this is in contrast to the units currently in use. I assume the universe is purely mathematical in structure and if that is the case, then there is a very particular value that the universe assigns to what we call one meter. This value is almost definitely not one. So this theory would have more fundamental descriptions of time and space.

 

I am very suspicious of your avoidance of answering a simple question.

I'm not avoiding it. I plainly admit I don't know because it would take an army of physicists and super computers to find it. That said, for the most part things work the same at any given value of n as long as it's extremely high compared to t. The only thing that changes is the curvatures which are at relatively micro scales. Therefore, if you wanted to model an infinite square well 1 nm in length, at an arbitrary high value in n you could translate my numbers into SI and not much would change aside from the curvatures being wrong at a relatively micro level.

Edited by John Henke

  • Author

By the way, when I say lowercase gamma component I mean the lowercase beta, lowercase zeta or lowercase eta. These all have angular momentum as opposed to their uppercase versions which dont. Perhaps thats been poorly defined.

  • Author
5 hours ago, studiot said:

if gamma is meant to be your 'wavefunction' what is the 'wave equation' it is meant to be a solution of?

I'm sorry studiot. I misinterpreted that. What I've been describing are apparently wave equations. The wavefunctions are still Dirac's, Schrodinger's, etc, if I've understood the terminology correctly.

Edited by John Henke

The problems I have with your equations is how do you localize the probability of the particle position ?

How does it work with the Pauli exclusion principle when from the sounds of your descriptive the spin 1/2 particle waveform will be symmetric instead of antisymmetric ?

At what point do you incorporate the Probability nature inherent in the Schrodinger equations ? Ie the uncertainty principle ?

How do you even maintain units of a quanta ?

Everything you have presented amounts to classical waveforms. They don't have any probabilities. They have a range of amplitudes that are not discrete as per units of quanta. So how can you claim to match the results of the Schrodinger equation ?

Let's examine the first part of the time dependent Schrodinger equation.

Try this thought experiment. I'm going to borrow this from Griffiths intruductory to Quantum mechanics.

Take a rope 50 feet long. Keep swinging it up and down so you get a uniform standing wave throughout the length of the rope.

What is the wavefunctions position  ? About the only accurate thing you can tell me is the waveforms length and it's amplitude. How do you localize a particle when the waveform has no determinant position ? Ie you are uncertain as to its position.

Now take the rope and shake it once. So that you get a single amplitude. Now you can give a certainty of the wavefunctions position but now your uncertain of it wavelength.

Now on particles that only comes in units of quanta energy levels [/math]

What would a waveform with energy as the amplitude look like when the only valid energy levels are units of quanta ?

in essence simply posting the equations you have does not show how you factor in the above Ie discrete units of quanta etc.

  In essence supply a proof of how you derived the equation you posted so one cam check it's compatibility with the mathematical proof of the Schrodinger equation.

Ok so take the Schrodinger equation for example that equation DOES NOT DESCRIBE A PARTICLE. It describes the wavefunction which you the probability of locating the particle via

[math]|\psi|^2[/math] it is not a description of the particle itself. It gives you the possible position and momentum of the particle. Within the bounds of the uncertainty principle.

In other words if you solve the Schrodinger equation for [math]\psi (x,t)[/math] you will get the probability of finding the particle in some region in space that varies as a function of time. With the highest probability density being the square of the probability amplitude. It does not and never did identify particle spin etc.

Valid energy levels [math]E=\hbar\omega [/math]

Here read this concerning Schrodinger equation it's detailed enough to start.

https://www.google.com/url?sa=t&source=web&rct=j&url=https://users.physics.ox.ac.uk/~smithb/website/coursenotes/qi/QILectureNotes3.pdf&ved=2ahUKEwjM9pC5vZHpAhW1On0KHS8_DGsQFjABegQIBBAB&usg=AOvVaw0iTLlnjR4K8hbXeR-TaVhs

 

Edited by Mordred

Now if your looking for the Dirac spin dispersion well your going to need considerable work.

https://www.google.com/url?sa=t&source=web&rct=j&url=https://www.ks.uiuc.edu/Services/Class/PHYS480/qm_PDF/chp10.pdf&ved=2ahUKEwiHgNXIx5HpAhVMsZ4KHY3pB3cQFjAIegQIBxAB&usg=AOvVaw0nBTTYsivo9b0CH5G7igbS

The steps to follow are in this Relativistic quantum mechanics article and you will note I mentioned a few of these issues when I first described the Klien Gordon equation.

 

Edited by Mordred

  • Author
10 hours ago, Mordred said:

How does it work with the Pauli exclusion principle when from the sounds of your descriptive the spin 1/2 particle waveform will be symmetric instead of antisymmetric ?

You can get either symmetric or anti-symmetric particles by making it definitively the case that whenever two particles coexist in a wavefunction, one of the particles must have its omega underbar t values increased by 2. Since particles with spin 1 will complete one rotation every time omega underbar t grows by 2, these particles will instantly complete one full rotation due to this added value of 2 and be symmetric, allowing for any arbitrary number of them to coexist. Since particles with ½ spin will complete one rotation every time omega underbar t grows by 4, these will be antisymmetric and a third particle would be excluded thus adhering to the Pauli exclusion principle. Furthermore, this may be used in conjunction with the theory that the magnetic dipole moment is determined by the natural positive or negative curvatures in the position eigenvalues. This curvature can be removed using depletion operators from all but one axis, the axis with the magnetic dipole moment (see article for details on depletion operators, but long story short, they use s to get rid of charge). Furthermore, one of the many oddities of curvature, is that it only decreases by the inverse square of the distance when the particle is moving at C. The argument then is that the axis containing the magnetic dipole moment is the axis in which the particle’s axes have been rotated through Minkowski spacetime sucht that it is traveling through time at the speed of light. This theory has led me to a new model for the Lorentz transformation.

10 hours ago, Mordred said:

Everything you have presented amounts to classical waveforms. They don't have any probabilities. They have a range of amplitudes that are not discrete as per units of quanta. So how can you claim to match the results of the Schrodinger equation ?

I haven’t yet written this on the forum, but my definition of time has two parts: evolving time and initial time. One interpretation of this is that at the beginning of time, gamma components spread out across the universe as functions of initial time to the ends of the universe in the positive and negative directions. From there they grew through evolving time which can also be positive or negative. This means that if, for example, initial time is negative, then all the inputs with negative initial time values will become more negative while all the positive inputs will decrease. This is by definition the particle’s location (which is x=0) moving further from all particles on its negative axis and closer to all particles on its positive. Now this position can’t actually be determined when it’s a wavefunction possibly due to the equality and therefore interchangeability of outputs. But it could give a well defined position and axis when in particle form (a waveparticle without spin or angular momentum). Also, omega components are functions of evolving time only. This essentially spreads out the wave as described. So when I say position, I don’t mean the position of the particle but of the relative position of the input. The wavefunction is a function of x. So obviously every input has an x value based on its input. But as my wavefunction is only a function of t, it gets its relative position not from its input but from the output of its waveparticle, its x eigenvalue. And so to get a y axis and a z axis as well, you would need to multiply in other versions of my wavefunction that each have wave particles within them whose eigenvalues represent the position of y or z. I always thought these had spin and angular momentum, but I’m starting to realize they might not (either way the equations allow for it).

Then one can normalize it basically using the same equation used in Griffiths’.

8 hours ago, Mordred said:

The steps to follow are in this Relativistic quantum mechanics article and you will note I mentioned a few of these issues when I first described the Klien Gordon equation.

As to Lorentz invariance, as mentioned, I’ve got a new model. In this model the wavefunctions always have their axes rotated through Minkowski space time such that they are traveling through yhe fourth dimension at the speed of light. Now as mentioned there are other axes that can be multiplied in. The rule, then, is that any axes that does not have values of omega overbar and k overbar that equate, cannot be used as the axis of the magnetic dipole moment but must instead have a k value that is so much larger than the omega value that there is no or almost no growth in them. Moreover, such an axis will include no or almost no energy the omega overbar value being very small. Only the single axis, and the rotation of them through Minkowski space time, that results in omega overbar and k overbar values that equate can be used as the axis of the magnetic dipole moment and spin. This model also updates my model of the energy eigenvalue with the same condition on the rotation of its axes.

10 hours ago, Mordred said:

In essence supply a proof of how you derived the equation you posted so one cam check it's compatibility with the mathematical proof of the Schrodinger equation.

As to a proof, I would argue that the graphs, when adhering to the concepts I’ve described, of e^i(kx-wt) and my wavefunction both equate and thus can both describe the same phenomena equally well. This requires that when the angular momentum is ½ and the spin is ½, that the units of t in my theory are multiplied by a factor of 4/tau, when at an angular momentum (or spin) of 1/2, because these complete a rotation every time t grows by 4 rather than tau. However, since k overbar and w overbar are unchanged for particles without angular momentum or spin (which are just particles), it’s still useful to differentiate them with the bar. And since eigenfunctions scale these same equations by amounts proportional to k and w (which now equate to k overbar and omega overbar), those equate as well. If you look at the graphs in the video, in the article or in the mathematica notebook, and if you keep in mind that the output of the waveparticle equates to the position relative to the source of the particle (the source being its x=0), the two simply equate. The only differences are that this wavefunction has naturally occurring curvatures, and it can theoretically be used to describe a particle but these are added functionalities. No functionality is subtracted.  

And I want to be clear. My wavefunction and its eigenfunctions are meant to replace e^i(kx-wt) and its eigenfunctions and to be fit into Schrodinger's, Dirac's, Klein Gordon in the same way that e^i(kx-wt) and its eigenfunctions are. And if it's been shown to be the same at a fundamental level, I don't know how there could be problems at any higher levels because all the same operations and alterations can be applied to both equations.

 

Edited by John Henke

From what I have seen from your images you have the wrong waveforms to describe particles. They are too sinusoidal.

I'm sorry if you don't get what I mean but you should compare the wavefunction on this link.

https://en.m.wikipedia.org/wiki/Schrödinger_equation

Now looking at that animation I can tell you there is no charge on that particle.

Take one of your sinusoidal waves now calculate the probability of locating a particle.

If all your sinusoidal waves have equal amplitude you will have equal probability of locating a particle at each amplitude

Edited by Mordred

  • Author

 

3 minutes ago, Mordred said:

From what I have seen from your images you have the wrong waveforms to describe particles. They are too sinusoidal

Yes those are all equations of free particles. To get waves like those in the link you add to the lowercase gamma component its complex conjugate.

Edited by John Henke

Sigh no you would not get a uniform sinusoidal wave if you measure a multiparticle system. You would get numerous crests that look like that animation but with further interference and different crest patterns .

Multiparticle systems have interference patterns. In particular fermions have far greater self interference.

Edited by Mordred

  • Author

And then you also have to use linear algebra.

I mean isnt it the linear algebra that gets those shapes?

Again it goes back to the equality of the two equations. If one can do it why cant the other?

Show me a parity wavefunction. I will wait to see your reply then tonight I will post you a parity waveform image.

Multiparticle systems have constructive and destructive interference patterns with bosons having the  least self interference.

Ok let's try this you recognize that electrons have magnetic dipole moments.

So let's a classical analogy take two magnets and mount them on two spinning axis. Measure the interference patterns between them.

With two electrons you will always get interferences this is due to their antisymmetric parts so your multiparticle waveform should look extremely noisy with various spikes and different amplitudes and spikes. Ie via constructive and destructive interference.

Not to mention further interference from the quantum harmonic oscillator.

To make matters worse your particles will be traveling in different directions as they cross paths they often interfere.

Trust me your waveforms are far too uniform to describe a multi particle system.

Edited by Mordred

On 4/30/2020 at 6:00 AM, John Henke said:

Also, I forgot to define s  

And delta, and epsilon, and k, and n, and a whole bunch of terms.

On 4/30/2020 at 7:52 AM, John Henke said:

 

The example I just gave was of a free particle, but if you want to put it into an infinite square well, then you can add to the existing lowercase gamma component its complex conjugate. This cancels out the imaginary part and leaves the real part. Then at the lowest possible energy level it resembles jump rope with beginning and end points at the boundaries but is still rotated through time because the omega component rotates it. And then k bar can be increased by integers or alternatively one could simply multiply the equation by additional lowercase gamma components divided by uppercase. At some level these two solutions might equate and if so, should be fit into the mathematics.

"We" can't do it because you haven't told us what all the terms mean.

Why don't you do it, and show your work?

 

23 hours ago, John Henke said:

I'm not avoiding it. I plainly admit I don't know because it would take an army of physicists and super computers to find it.

Baloney.

 

Here is food for thought. If the period between each waveform crest is uniform in distance. Taking the probability function [math]|\psi|^2[/math] that would mean your particles have the highest probability of being uniformly distributed as well as travelling in precisely the same direction and momentum. 

 Does that in any way sound realistic ?

Then you have the detail of the Debroglie or Compton wavelengths. Seems to be missing in your analysis.

  • Author
4 hours ago, Mordred said:

Show me a parity wavefunction. I will wait to see your reply then tonight I will post you a parity waveform image.

I’ve included graphs of a particle in a well. In the mathematica notebook, they are just beta components, but if they were moving images, they would have to multiply omega so that they rotated. So first off this is an even parity. Now I have to include one image of the waveparticle (the equation of which is in the wavefunction) to show that the eigenvalue has grown from a value of 1 to 6 meaning the length of the well is 5 of these units because by definition the position of the waverfunction is determined by the eigenvalue of its waveparticle.

1524628061_ParityImage2.PNG.960f1d0ce5415e34e0f2ffddc9ca8da6.PNG106487013_Parityimage1.thumb.PNG.d460e2b415dfb62d98ac6466e5937181.PNG

And here I include odd parity, which has also grown 5 units such that it exists in the same square well but has gone through 9 times as many cycles because it has a k bar value that is nine times higher than the first.

878971048_Parityimage3.PNG.091d1b65a1c8210f0def5effafa64596.PNG17412984_Parityimage4.PNG.c3796bee0760350dad7d14554c2f67c6.PNG

3 hours ago, swansont said:
On 4/30/2020 at 9:52 PM, John Henke said:

I'm not avoiding it. I plainly admit I don't know because it would take an army of physicists and super computers to find it.

Baloney.

A lot of your often sarcastic criticisms seem to involve you not taking the time to read the explanations on the forum, much less the article, and then criticizing me based on your confusion and ignorance. But you’re right—delta, epsilon and iota could use a more detailed explanation. When I use plus or minus signs I expressly don’t mean that you substitute that plus or minus sign into the equation. In all cases you either substitute in a positive one or a negative one, or a positive i or a negative i. Now with lowercase betas, for example, that would mean there would be four different versions. One would substitute delta=i and epsilon=i OR delta=-i and epsilon=i OR delta=-i, and epsilon=-i OR delta=i and epsilon=-i. Any of these four combinations would result in what I call a lowercase beta component which is a part of the larger category of what I call gamma components and also a part of the category of what I call lowercase gamma components. Each of these four combinations is going to have one of two chiralities (see image). Each chirality has two versions each of a different curvature (and I’ll get around to making a Mathematica notebook concerning curvature soon).  I’m inserting an image of a screen shot I took a long time ago. It’s of a few Mathematica notebooks and on the top left hand side I put the delta value as either i or -i and next to it is an fi (or fraction of i) that gives the epsilon value.

1627059383_Screenshot1.thumb.PNG.767978e468b6ece09de2fa6014f4538d.PNG

Parity Mathematica Notebook.nb

1 hour ago, Mordred said:

Here is food for thought. If the period between each waveform crest is uniform in distance. Taking the probability function |ψ|2 that would mean your particles have the highest probability of being uniformly distributed as well as travelling in precisely the same direction and momentum. 

It's not even because the eigenvalue of the waveparticle determines the position. I think this is illustrated more clearly in the above example with parity.

Edited by John Henke

You obviously never looked at a DeBroglie wavelength formula.

In one of those graphs Identify the particle including its mass term.

Secondly none of your graphs exhibit even parity. I will get you a graph of even and odd parity later on.

Thirdly you are ignoring interfere patterns.

Instead of randomly declaring this is what such and such waveform represents.

Calculate the mass and momentum of any given waveform a prove you can identify the particle.

 

Edited by Mordred

  • Author
17 minutes ago, Mordred said:

Secondly none of your graphs exhibit even parity.

I think you mean that none of them have odd parity. And that's because I messed up the second equation and not because the equation's messed up. I think I would have to use a different type of component to get the phases to align correctly for k bar=1 vs k bar=9.

Edited by John Henke

3 hours ago, John Henke said:

I’ve included graphs of a particle in a well.

Better still explain what f(ti) and ti are , since you have posted several graphs all different and all labellled with the same axes as well as one with axes labelled t and f(t)

This is not mathematics it is just meaningless rubbish as it stands.

So give it meaning.

Edited by studiot

Archived

This topic is now archived and is closed to further replies.

Important Information

We have placed cookies on your device to help make this website better. You can adjust your cookie settings, otherwise we'll assume you're okay to continue.

Account

Navigation

Search

Search

Configure browser push notifications

Chrome (Android)
  1. Tap the lock icon next to the address bar.
  2. Tap Permissions → Notifications.
  3. Adjust your preference.
Chrome (Desktop)
  1. Click the padlock icon in the address bar.
  2. Select Site settings.
  3. Find Notifications and adjust your preference.