Skip to content

Is Calculus used in Data Science/Artificial intelligence

Featured Replies

I'm a freshman in university and I'm studying Computer science and engineering. This will be my second year of studying. We don't have Calculus as a mandatory class but I can take it from elective classes. 

Is calculus necessary for my future as a student and would it help me in data science or AI? That's what I'm really interested in and I want to work for either of them. Would Calculus make my education easier in the future and in my work? In my next semesters, I want to take just Artificial intelligence and Data Science classes (Data mining, Data Science, Mechanical Learning, etc). Is calculus used there?

Thanks for your time reading and answering my question.

Edited by Hunali

34 minutes ago, Hunali said:

We don't have Calculus as a mandatory class but I can take it from elective classes. 

Hello. I have some experience from this. Can you provide some examples what's included in calculus in your case? My studies was likely in another country and university so I would like some more context, then I'll try to answer.

 

 

  • Author
51 minutes ago, Ghideon said:

 Hello. I have some experience from this. Can you provide some examples what's included in calculus in your case? My studies was likely in another country and university so I would like some more context, then I'll try to answer.

  

 

 

This is included from the official site:

 Course program content:(1) Function definition. Function properties. Operations with functions. (2) Lines. Families of functions. (1) Limits. Computing limits. Continuity. (2) Definition of derivative.Techniques of differentiation. Derivative of a composite function. (1) L'Hôpital's rule. (1)Application of derivatives: monotonicity of functions, concave and convex functions,relative extrema. (1) Analysis of properties and sketching the graph of a function. Absolute extrema. (1) Integration: indefinite integral, integration by substitution. (1) Definiteintegral. Fundamental theorem of calculus. integral. Fundamental theorem of calculus

Edited by Hunali

In my opinion, the content you listed is below the minimum required for AI (not really sure what "Data Science" is, except for a popular buzzword that sounds like Google or Facebook). More precisely: Apply these topics to multi-dimensional functions and you should have the basis of what is needed for understanding learning rules in AI.

 

However: All of the content you listed is the minimum to finish school in Germany (higher-level school that allows applying to a university, that is), even if you are planning to become an art teacher. And Germany is not exactly well known for its students' great math skills. The course looks like a university level repetition of topics you should already know how to use, i.e. a formally correct way of things that were taught hands-on before. I do not think a more rigorous repetition of topics will help you much, since you are more likely to work on the applied trial&error side.

Bottom line: If you are already familiar with all the topics listed, I think you can skip the course. If not, your education system may be too unfamiliar to me to give you any sensible advise.

 

Btw.: University programs tend to be designed by professionals. So if a course it not listed as a mandatory, it is probably no mandatory.

 

9 hours ago, Hunali said:

This is included from the official site:

Thanks! Short answer: select the course.

Longer answer:
I agree with the good answer provided by @timo . The list is rather basic and very useful as a basis for may other areas. I would like to add some notes.

Do a strategic analyse:
Are you interested in math?
Are you interested in science?
What areas are you going to work in?
Will there be competition for interesting positions within your areas of interest?
Will better math skill give you advantage comparing to other individuals?
Will you be interested in moving towards other areas where more math is needed
Will you stay in the business when current technology and concepts are replaced by new ones?
Are there many other optional sources that are more important to you? Will you have to skip something? 

Personal opinions:
Math skills makes it easier to communicate with stakeholders in various engineering areas and understanding their domains, projects and issues.
One never know which type of new math skills is required for a position or during an assignment so grasping the basics is a good start, makes it easier to move on to more advanced things later. 
In daily work with AI or Machine learning using common APIs of today there is not much use for calculus during coding or system design. But other areas of math, that I personally studied after the calculus topics in your list, is more useful on daily basis. (For instance statistics and numerical methods)
Had this question been asked while I was at the university I would maybe have told you to skip the course.

I did calculus and some more math when studying computer science and engineering. 

Edited by Ghideon
clarification

Quote

Should I do this, or do that?

"What doesn't kill you, makes you stronger".

i.e. make you smarter..

11 hours ago, Hunali said:

 In my next semesters, I want to take just Artificial intelligence and Data Science classes (Data mining, Data Science, Mechanical Learning, etc). Is calculus used there? 

I doubt.

Edited by Sensei

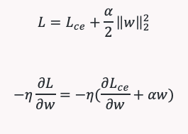
Just thought I would mention that the following appeared in a presentation on machine learning a couple of weeks ago. If doing this sort of thing on large N-dimensional matrices makes sense to you, then you probably have nothing to worry about. (I was largely baffled.)

932586229_Screenshot2019-08-14at22_48_53.png.03e842b8ad5294d04505a12fb7759536.png 1812684407_Screenshot2019-08-14at21_23_42.png.f1078530ca98956e5838a984e61601b0.png

Archived

This topic is now archived and is closed to further replies.

Important Information

We have placed cookies on your device to help make this website better. You can adjust your cookie settings, otherwise we'll assume you're okay to continue.

Account

Navigation

Search

Search

Configure browser push notifications

Chrome (Android)
  1. Tap the lock icon next to the address bar.
  2. Tap Permissions → Notifications.
  3. Adjust your preference.
Chrome (Desktop)
  1. Click the padlock icon in the address bar.
  2. Select Site settings.
  3. Find Notifications and adjust your preference.