Skip to content

Compton Scattering

Featured Replies

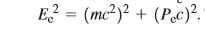
How is this equation derived  (The energy of the target electron during Compton scattering)

pCapture.PNG

The equation is not particular to Compton scattering. It is the relation between momentum and energy for any free particle (including, in this case, electrons). I am not sure what you consider a derivation or what you skill level is. But maybe this Wikipedia article, or at least the article name, is a good starting point for you: https://en.wikipedia.org/wiki/Energy–momentum_relation

1 hour ago, Lizwi said:

How is this equation derived  (The energy of the target electron during Compton scattering)

pCapture.PNG

 

You have posted this in homework help for some reason so you need to explain your thoughts or ask a moderator to move it somewhere more appropriate for someone to go through a full derivation with you.

 

I suggest you start with a diagram.

Archived

This topic is now archived and is closed to further replies.

Important Information

We have placed cookies on your device to help make this website better. You can adjust your cookie settings, otherwise we'll assume you're okay to continue.

Account

Navigation

Search

Search

Configure browser push notifications

Chrome (Android)
  1. Tap the lock icon next to the address bar.
  2. Tap Permissions → Notifications.
  3. Adjust your preference.
Chrome (Desktop)
  1. Click the padlock icon in the address bar.
  2. Select Site settings.
  3. Find Notifications and adjust your preference.