Skip to content

Who can help me explain where he was wrong?

Featured Replies

33 minutes ago, Tony2018 said:

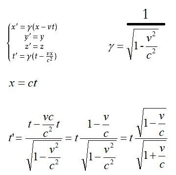
blob.png.a970947d296ddeac259f81ec31276e86.png        blob.png.b8d9aac087b7f06fcfa91953fdeed22b.png

 

But Einstein told us that x=0, then 

 962bd40735fae6cdbe7789da08b30f2443a70f4d.jpg

 

Who can help me explain where he was wrong? I am in a perplexity. :(:(

 

https://www.scienceforums.net/topic/113238-whether-the-special-theory-of-relativity-needs-space-time/

 

Just a thought from a lay person.....SR is a special case or subset of  GR...GR requires spacetime. Why? Simply put spacetime in GR is gravity, as gravitation is simply described as the curvature/warping/twisting of said spacetime. Plus of course both SR and GR have been thoroughly tested and passed with flying colours.

I would also add that spacetime is also the unified multi-dimensional framework within which it is possible to locate events and describe the relationships between them in terms of spatial coordinates and time. The concept of spacetime follows from the observation that the speed of light is constant or invariant, i.e. it does not vary with the motion of the emitter or the observer. Spacetime allows a description of reality that is common for all observers in the universe, regardless of their relative motion. Intervals of space and time considered separately are not the same for all observers.

Edited by beecee

  • Author
3 minutes ago, beecee said:

Just a thought from a lay person.....SR is a special case or subset of  GR...GR requires spacetime. Why? Simply put spacetime in GR is gravity, as gravitation is simply described as the curvature/warping/twisting of said spacetime. Plus of course both SR and GR have been thoroughly tested and passed with flying colours.

But his Lorenz derivation looks very reasonable. His logical reasoning is also more rigorous. I'm a rookie. I may see only fur.:(

4 minutes ago, Tony2018 said:

But his Lorenz derivation looks very reasonable. His logical reasoning is also more rigorous. I'm a rookie. I may see only fur.:(

I have made an addition in case you missed it. Otherwise, I'll let the experts give a more indepth answer and reasoning.

Edited by beecee

  • Author
5 minutes ago, beecee said:

I have made an addition in case you missed it. Otherwise, I'll let the experts give a more indepth answer and reasoning.

Your description is very abstract. Do you have any specific examples and rigorous mathematical derivation like the Lorenz transformation?

Can you point out where his Lorenz derivation is wrong?

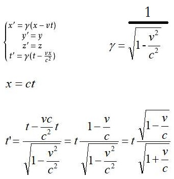
blob.png.b8d9aac087b7f06fcfa91953fdeed22b.png      It looks very correct.

I don't think there is anything wrong in that math. (If so, I have missed it.) But he insists that you can only derive that if you establish an absolute reference frame to start with. Which is not true. He appears to derive the Lorentz transform with reference to only relative motion to A and B first, and then says it can't be done without an absolute frame. Which doesn't make much sense. But I haven't tried to wade through all his (slightly incoherent) arguments yet.

1 hour ago, Tony2018 said:

Your description is very abstract. Do you have any specific examples and rigorous mathematical derivation like the Lorenz transformation?

Can you point out where his Lorenz derivation is wrong?

Did you miss the part where I said I am a lay person and was offering my thoughts on the subject? Did you also fail to read his closed thread, the professional answers he received there, despite his rather arrogant style and demanding his made up rules be adhered to?

  • Author
14 minutes ago, Strange said:

I don't think there is anything wrong in that math. (If so, I have missed it.) But he insists that you can only derive that if you establish an absolute reference frame to start with. Which is not true. He appears to derive the Lorentz transform with reference to only relative motion to A and B first, and then says it can't be done without an absolute frame. Which doesn't make much sense. But I haven't tried to wade through all his (slightly incoherent) arguments yet.

I read his article more carefully.
1. his logic should be to compare A and B in space, and it is necessary to have the participation of C, otherwise the state of A and B can not be clearly stated. Space-time is a very suitable C. At least it's logically reasonable.
2. from his analysis of Lorenz transformation, the implied reference point O, O', is also clear.
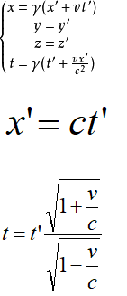
3. the relationship between t and t' that he derives is different from that of Einstein. Are they all right?
4. according to his derivation, A and B refer to each other, and the conclusions are different.

blob.png.5fd0aba64199a8a2c0898d06ae4e17da.png                                                 blob.png.b633110efd59a55aa53402c8470aa3ff.png

22 minutes ago, Tony2018 said:

his logic should be to compare A and B in space, and it is necessary to have the participation of C, otherwise the state of A and B can not be clearly stated. Space-time is a very suitable C. At least it's logically reasonable.

It is logically wrong. As shown by Galileo several hundred years ago. Not sure why you are incapable of understanding this.

[p.s. reported as sock puppet.]

  • Author
6 minutes ago, Strange said:

It is logically wrong. As shown by Galileo several hundred years ago. Not sure why you are incapable of understanding this.

[p.s. reported as sock puppet.]

Do you mean this? Galileo said that without rocking, on a smooth sea; any observer doing experiments below the deck would not be able to tell whether the ship was moving or stationary.

I can also understand this.

Then you should be able to understand that A can consider themselves stationary and B as moving. Or B can consider themselves stationary and A as moving. The two cases are exactly equivalent. You do not need any third frame of reference to derive or use the Lorentz transform between A and B.

A will see B's clocks as running slower. And B will see A's clocks as running slower. (By exactly the same amount.)

You can introduce an arbitrary C (and D, E ... K ... M ... Z ...) moving relative to both A and B, but that doesn't change the relationship between A and B.

Archived

This topic is now archived and is closed to further replies.

Important Information

We have placed cookies on your device to help make this website better. You can adjust your cookie settings, otherwise we'll assume you're okay to continue.

Account

Navigation

Search

Search

Configure browser push notifications

Chrome (Android)
  1. Tap the lock icon next to the address bar.
  2. Tap Permissions → Notifications.
  3. Adjust your preference.
Chrome (Desktop)
  1. Click the padlock icon in the address bar.
  2. Select Site settings.
  3. Find Notifications and adjust your preference.