Skip to content

Whether the special theory of relativity needs space-time

Featured Replies

Whether the special theory of relativity needs space-time

First, the space-time here refers to the space of the t moment, because the quality will distort the space, and the space at different times is different.

 

Common view:

Both the special theory of relativity and the general relativity are verified by experiments and are correct theories.

 

Different views:

Your mainstream view is that it is only necessary for AB to refer to each other to explain physical phenomena with relativity theory.

My point is that it is necessary to use SPACE-TIME as a reference to explain physical phenomena in relativity theory.

 

Present situation

You do not approve of my point of view, and I do not agree with you. So who is the right one in the end, we need to make two rules of judgment.

1. if your or my point of view can be a good explanation of physical phenomena, it is very possible to show that it is right.

2. if your or my point of view is not logical, it may be very wrong.

 

If you approve of my rules of the game, let's continue the debate.

You need courage, and once you lose, you may lose your reputation, so if you are afraid you can choose to refuse and lock my post.

 

 

TOM&JERRY RACE IN SPACE-TIME

From my point of view:

 

blob.png.60de605749627f955e6152823c186794.png

 

In the absence of any other reference (including SPACE-TIME)

 

 

TOM & JERRY come into space, as above, they have no other reference except the themselves. They found each other far away. So who is moving? Is it TOM or JERRY? Or is it a chase? Or are they doing the opposite movement together? We can't give the answer. But what we can know is that they are far away from each other at a certain speed. Then, according to the discussion of speed and time in the special theory of relativity, the time of one of the two sides of TOM and JERRY is slower. So whose time is slow? We don't know. Maybe you'll come up with the logic that TOM takes JERRY as a reference, JERRY is static, TOM is moving, and then TOM is slow. On the other hand, if JERRY takes TOM as a reference object, the time of JERRY is slow. This is a very contradictory two logic, we still can't know whose time is really slow. Maybe you will say that, who is a reference, whose time will go fast, well, this is a "because it is , so it is" theory. Fortunately, we have done a lot of experiments and specific applications, such as the slow effect of GPS clock, such as particle acceleration experiment, which has been proved by fact that this view is incorrect. The correct conclusion should be whose speed is fast and the time is slow. So how should we compare speed? We watched the runners' running on the runway. We saw that A ran faster than the B athletes. That's based on the direction we knew they were running, and we had the runway as a reference, so we had the right judgement. So if all the other references are disappearing except for the two people of A and B, can you know the direction of their running? Can you know who is faster? (don't say you can see the direction of their faces. Can't they run against running? " In the special relativistic formula, there is no input parameter for the face. Now I think you should be aware of the importance of the third party reference.

 

blob.png.286f749bc725919269f54b9000d3091a.png

 

SPACE-TIME as a reference

 

 

Back to TOM, JERRY. SPACE-TIME is their reference object, who moves faster than SPACE-TIME, whose time will pass slowly. If you have seen general relativity, you will know how correct this conclusion is. The geometric effect caused by distorted space-time will really affect our planet. The essential explanation for the time expansion caused by speed is because of the relative speed of the SPACE-TIME.

 

 

 

Twins Paradox:

blob.png.1b5a62f904c583e1898f1a165fdbcd19.png

This is a very famous hypothesis experiment. It's one of the twins on the earth who travels by spaceship to the outer space. When he comes back, he finds his brother has become an old man. The special theory of relativity explained the phenomenon, because the rapid flight of the spacecraft caused the time of the spacecraft to slow down.

 

On the basis of Lorenz transform, we deduce how SPACE-TIME is a key reference to this derivation. The following is the content of the “The Derivation of Relativity Theory from Twins Paradox” that I have published directly from the previous publication.

blob.png.22b0a845008c94a16d5c8dd58b74dcf8.png 

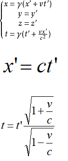
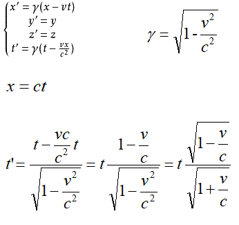
From the entire process of Lorentz transformation, we can see, A(S), B(S) two objects refer to each other, the time of moving objects B slowed down.

 

If A is used as a reference, the time of moving B will be slower than that of A.

 blob.png.aeea7db125205b404c8ce9f2cd907975.png

 

t = t   if v = 0

t = 0    if v = c

As you can see, t is always less than t.

 

 

 

 

If B is used as a reference, the time of A will be faster than that of B.

 blob.png.5971ac8717d0058696129bfdc87ba227.png

t = t  if v=0

t = infinite if v=c

As you can see, t is always larger than t.

 

From the mathematical deduction, it has been proved that A and B refer to each other, their time expansion is different. So does it just need A and B two things to refer to each other? We can make sure whose time is slow and whose time is fast?

Don't you need third parties for reference?

 

Lets start the analysis. The whole derivation is based on the speed of light, the constant speed of light, except that we must also pay attention to a very important point, which is (O, O ') point. Since the S coordinate system is not moving, when referring to O point, the time on S does not become faster nor slower. That is to say, the speed of time has not changed. While S' is in motion, observing S' from S time has slowed down. So here is the question, the time getting slower is compared with which one. Of course, it is compared with the time on S, and the time on S does not change, which is for the reference to decide? It is the O point, so we say that the time on S' become slower and which O point is also for the reference.

 

What is O point? It is space-time, space-time point which is located on S. With the same principle, this could also be applied for the observation of S from S'.

However, this space-time point will often be ignored by us, which is the third-party reference for the comparison between two inertia systems, without it, there is no above conclusion. I believe after the above analysis, you will have a sudden understanding about the twin paradox, we will describe in detail later. We can boldly put forward the conclusion that the speed of time requires space-time for reference. Without a third party, there is no way to compare A, B two subjects.

 

Well, let's go to the theory of relativity. I believe many people will have such questions, since it is a relative movement, why it must be that the time on the spacecraft slow down? Why it can't be that is the time on earth get slower? Obviously, such a question has stepped into the difficult situation, in which there are only A, B two things to compare each other. So we need a third party, it is space-time, whose relative space-time is faster, whose time will be the slower one, and who will be younger, apparently the relative space-time movement of spacecraft is faster, so time of which will be slower. (The time runs slowly, and human body functions naturally work slowly, but as a client he does not feel the time slowdown.) We take a fish as an example, when the time comes to a complete stop, just as the fish are frozen, and we observe it, its time stopped at that time. And when it's thawed, its time starts again, and as the fish, it does not even know that time has stopped, and when it's thawed, it does not think that the time ever stopped. In its thoughts, yesterday was the day before today). The conclusion derived from the Lorentz transformation is completely consistent with the conclusion of the twins paradox. We must note this that the third party except A, B: space-time is a competent time judge.

 

Conclusion:

Above, I use the theory of relativity to explain the two hypothesis experiments. They have used the key reference SPACE-TIME. Without SPACE-TIME, we will not be able to deduce the correct conclusion. The theory of general relativity to SPACE-TIME is also a clear hint of the existence of SPACE-TIME, which is the most critical reference. Einstein said: "speed needs to overcome the resistance of time and space, the greater the speed, the more power to stop the progress of time, the slower the time." SPACE-TIME is the real reference. The migration of mercury orbit and the displacement of the total solar eclipse stellar position are good to verify the correctness of the generalized relativity theory SPACE-TIME. It can be said that general relativity makes me more firm in my view.

 

The biggest difference between my view and the mainstream view is the SPACE-TIME, which I think is the most critical reference. The mainstream view is that the above two hypothesis experiments can be correctly explained without the need of SPACE-TIME as a reference.

I hope that the mainstream view can give a tight logical deduction, not just tell us that they are the right one because they are the mainstream. Now is not the Middle Ages in Europe, "Heliocentric theory" eventually overthrew the mainstream theory of geocentric.

 

 

blob.png.f251ee7e9f959c0b45d8aa56c69bbca9.png 

There is a real existence of SPACE-TIME. The relative speed of SPACE-TIME is the fundamental reason for determining the expansion of time.

 

Below is your place, show out of your muscles, let us convince.

TOM & JERRY RACE IN SPACE-TIME

From your point of view:

 

 

 

 

 

Twin paradox

From your point of view:

 

  

The researchers in science forums decide our victory or defeat.

If you are interested in this topic and vote on your understanding, please enter 1 or 2 for a reply.

1. support my point of view, SPACE-TIME is a key reference.

2. support the mainstream view, do not need SPACE-TIME.

 

Thanks.

Whether the special theory of relativity needs space-time(20180203).pdf

@swansont      I hope you have the courage to accept the debate.:)

Edited by YuanShenhao

2 hours ago, YuanShenhao said:

TOM & JERRY come into space, as above, they have no other reference except the themselves. They found each other far away. So who is moving? Is it TOM or JERRY

It doesn't matter. This has been know for 400 years. You need to catch up.

https://en.wikipedia.org/wiki/Galilean_invariance

Quote

If you are interested in this topic and vote on your understanding, please enter 1 or 2 for a reply.

Science isn't a popularity contest. Relativity gives the right answers. Therefore it is accepted.

You can only change that by showing a (real) experiment that goes the wrong answers.

[Reported for more trolling. You seem to be more successful at breaking the rules of the forum than understanding science.]

1 hour ago, Strange said:

It doesn't matter. This has been know for 400 years. You need to catch up.

https://en.wikipedia.org/wiki/Galilean_invariance

Science isn't a popularity contest. Relativity gives the right answers. Therefore it is accepted.

You can only change that by showing a (real) experiment that goes the wrong answers.

[Reported for more trolling. You seem to be more successful at breaking the rules of the forum than understanding science.]

And making up additional ad-hoc rules as he goes along. sheesh!:rolleyes:

  • Author
4 hours ago, Strange said:

It doesn't matter. This has been know for 400 years. You need to catch up.

https://en.wikipedia.org/wiki/Galilean_invariance

Science isn't a popularity contest. Relativity gives the right answers. Therefore it is accepted.

You can only change that by showing a (real) experiment that goes the wrong answers.

[Reported for more trolling. You seem to be more successful at breaking the rules of the forum than understanding science.]

In addition to saying something that is useless, I don't see any derivation of the mainstream view. Please take out your courage and wisdom to accept the challenge and convince us.

Thanks.

Correction:

who moves faster than SPACE-TIME ===>

who moves faster in SPACE-TIME

Archived

This topic is now archived and is closed to further replies.

Important Information

We have placed cookies on your device to help make this website better. You can adjust your cookie settings, otherwise we'll assume you're okay to continue.

Account

Navigation

Search

Search

Configure browser push notifications

Chrome (Android)
  1. Tap the lock icon next to the address bar.
  2. Tap Permissions → Notifications.
  3. Adjust your preference.
Chrome (Desktop)
  1. Click the padlock icon in the address bar.
  2. Select Site settings.
  3. Find Notifications and adjust your preference.