Jump to content

Introducing the Piangle

Featured Replies

While trying to sleep last night I discovered a new triangle. I call it the Piangle.

 

image.thumb.png.d066c12347519d4a0000769dbe53607d.png

 

What's a Piangle? Maybe this will make it clear.

 

image.png.fc2fca2f5564e9dc7dada73d82bb6514.png

 

The Piangle is an unraveled circle. Imagine cutting a radius, then draw some inner circles.

 

image.png.29f2c6dcf3ffd3baf9e2045f9c9be523.png

 

Next unroll each outline to the right.

 

image.thumb.png.ae2f0cd41c04fbbc415d17ba9bc83deb.png

 

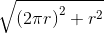
This is a right triangle, so by the Pythagorean theorem the length of the hypotenuse is image.png.71b9c2baa7d743dadea72efeb1d0de6c.png, which is image.png.a0e362e55efe319e20a07fe14af0bef0.png or image.png.0395adce604caca5825bff444e76200d.png.

The Piangle is not distorted, it's just an unrolled circle. It even has the same area as its corresponding circle. Its area is 1/2*b*h = image.png.302729fbe22be9d1a7f3b869410e3e69.png = image.png.202eced327e3d7664fd2975682c722df.png.

 

Proof that I discovered this: the hypotenuse = image.png.8654e6ebc6ccf219816f93d65944e211.png 6.3622651. Googling that doesn't return anything about the triangle. :)

image.png

image.png

Edited by The Piangle

  • Author

Apparently this has been defined before: https://betterexplained.com/guides/calculus/

5 minutes ago, Endy0816 said:

I don't know if he realized that each slice of the triangle corresponds to consecutive rings of the circle. Also we only need one triangle if we just measure it in radians :)

 I do not know how the people discourage one,s attempt ,well done keep it up DO IT IN DETAILS.....

 

I know few people ................( habit of Barking).....

like andy pendy.....

Good job. Keep up the great work. I don’t think it is a thousand years old. You have just used an angle and may have unknowingly drawn an involute which is a type of logarithmic spiral. (In case you don’t know I love logarithmic spirals.) When you unroll each outline to the right; Can someone in this forum tell me if it is a linear representation of the involute? I have seen something graphical, similar to this unroll in a math reference. I can’t remember where, but I believe it was for gears.

 

I don’t have any pictures of a logarithmic spiral to share yet. I want to be sure it relates to your post. But even if this work is rediscovered, it doesn’t mean you can’t relate it to something new.

 

What I think you should try is to “put space between your Pi angles.” What I mean by this is that having a “series” between where 1/3 r and 2/3 r and r would change the shape of the involute to a special logarithmic spiral.

 

I know it sounds like I’m talking babble, but I am not. If you are confused on what I am trying to say, let me know and I will try and describe my idea better. Simple put I would shift the new larger angles a distance (determined by a series) across the x-axis from the original triangle that was at the origin.

 

This way you can craft series and describe them in a logarithmic spiral.

 

I will post a picture of an ellipse determined by angles. It is not a logarithmic spiral, but it will demonstrate using angles to determine geometry. I will try to work on drawing a graphic representation of the logarithmic spiral I describe here. But this will work till then.

 

 

 

extrodinaryangles.gif

  • 1 month later...

Ok I am going to suggest something that may be wrong, but it will show my thinking.

 

If you take the Pi Angles here and multiply “every other” circular value by a number less than the next angle divided by the “every other” angle, you would get an ellipse on the graph. This would give an ellipse whose equation is represented in a different way than x^2/a^2 + y^2/b^2.

 

You can build any circular function. I believe they are called conic sections. Does anyone have any thoughts on this? There are many series that could be used and in various patterns. Suppose the circle that the values were rolled out to the right, was a logarithmic spiral instead of an involute. Combine that with different combinations and different series and you could draw anything.

 

If I am wrong or my explanation is confusing (which it is), I will clarify, but I believe anyone familiar with the coordinate plane will understand this. At this time, I can’t describe it well. But the idea is simple. Putting the math steps in words is difficult.

Archived

This topic is now archived and is closed to further replies.

Important Information

We have placed cookies on your device to help make this website better. You can adjust your cookie settings, otherwise we'll assume you're okay to continue.

Configure browser push notifications

Chrome (Android)
  1. Tap the lock icon next to the address bar.
  2. Tap Permissions → Notifications.
  3. Adjust your preference.
Chrome (Desktop)
  1. Click the padlock icon in the address bar.
  2. Select Site settings.
  3. Find Notifications and adjust your preference.