Skip to content

The ways time is altered.

Featured Replies

We have time dilatation caused by simple relative movement where each observer views the other's clock as moving more slowly.

 

Then we have time which is altered by acceleration or gravity where one observer sees the other's clock as moving slower and the other sees the opposite effect.

 

 

Are these the only two processes* where observers see each other's clocks move at different rates?

 

Another question : when 2 objects separate and after a period of time are brought together ,is the degree of difference in the reading of their clocks dependent on their respective velocities over the course of the round journey?

 

If acceleration is employed over the course of the journey does this also change the degree to which the 2 clocks will disagree** ?

 

 

 

 

*if I can treat gravity and acceleration as more or less the same for this purpose.

 

**from what it would be if the relative velocity was constant except for the need to reverse it (decelerate and then accelerate) half way through the journey .

We have time dilatation caused by simple relative movement where each observer views the other's clock as moving more slowly.

 

Then we have time which is altered by acceleration or gravity where one observer sees the other's clock as moving slower and the other sees the opposite effect.

 

 

Are these the only two processes* where observers see each other's clocks move at different rates?

 

Another question : when 2 objects separate and after a period of time are brought together ,is the degree of difference in the reading of their clocks dependent on their respective velocities over the course of the round journey?

 

If acceleration is employed over the course of the journey does this also change the degree to which the 2 clocks will disagree** ?

No. This is the basis of the Clock Postulate.

Let's say you take a radio-isotope sample and put it into a centrifuge ans spin it up to to a high speed so that the sample is traveling in a circle at speed v. You run the experiment for a while and then stop it and measure how much of the Sample has decayed and thus how much time dilation it experienced. The answer would come out to be equal to what you would expect if you applied the Lorentz factor for a velocity of v, even though the sample was undergoing an acceleration the whole time.

Now repeat the experiment with a centrifuge with a larger radius, We spin the sample up to the same speed, but now, because of the larger radius of the circle is is traveling, it will feel a smaller acceleration. At the end of the experiment, we will note that the time dilation factor in no different than from the fist experiment.

 

These types of experiments have been done and show no difference in the time dilation no matter how high of an acceleration the sample experiences.

 

*if I can treat gravity and acceleration as more or less the same for this purpose.

 

**from what it would be if the relative velocity was constant except for the need to reverse it (decelerate and then accelerate) half way through the journey .

Edited by Janus

Wow really had to search and compare to see your reply Janus.

 

We have time dilatation caused by simple relative movement where each observer views the other's clock as moving more slowly.

 

Then we have time which is altered by acceleration or gravity where one observer sees the other's clock as moving slower and the other sees the opposite effect.

 

 

Are these the only two processes* where observers see each other's clocks move at different rates?

 

Another question : when 2 objects separate and after a period of time are brought together ,is the degree of difference in the reading of their clocks dependent on their respective velocities over the course of the round journey?

 

If acceleration is employed over the course of the journey does this also change the degree to which the 2 clocks will disagree** ?

 

No. This is the basis of the Clock Postulate.

Let's say you take a radio-isotope sample and put it into a centrifuge ans spin it up to to a high speed so that the sample is traveling in a circle at speed v. You run the experiment for a while and then stop it and measure how much of the Sample has decayed and thus how much time dilation it experienced. The answer would come out to be equal to what you would expect if you applied the Lorentz factor for a velocity of v, even though the sample was undergoing an acceleration the whole time.

Now repeat the experiment with a centrifuge with a larger radius, We spin the sample up to the same speed, but now, because of the larger radius of the circle is is traveling, it will feel a smaller acceleration. At the end of the experiment, we will note that the time dilation factor in no different than from the fist experiment.

 

These types of experiments have been done and show no difference in the time dilation no matter how high of an acceleration the sample experiences.

 

 

 

 

*if I can treat gravity and acceleration as more or less the same for this purpose.

 

**from what it would be if the relative velocity was constant except for the need to reverse it (decelerate and then accelerate) half way through the journey .

I placed in bold

Edited by Mordred

  • Author

Well ,what about my journey to a fixed destination?

 

Say, Alpha Centauri ,4 light years hence I believe.

 

One expedition travels there and back at a speed of c/2 and the other does the journey there and back at a different speed ,say c/10.

 

When they return do they exhibit an identical discrepancy vis a vis the clock they left behind at departure?

 

I can obviously see that ,f they do not then the difference in time dilation(correct term for the aging twin effect?) between the two expeditions must be a function of their speed.

 

 

Separately is there a common property to the way time is altered by velocity and the way it is altered by acceleration**?

 

Do they simply share the property of reflecting a malleability of time relationships between separate objects where an identity of readings can be seen as ,in physical terms the exception ?

 

 

** This Feynman's lecture transcript shows the circumstance where this occurs (Fig. 42–16 towards the bottom of the age) as he compares the gravitational effect to an accelerating rocket.

Edited by geordief

Well ,what about my journey to a fixed destination?

 

Say, Alpha Centauri ,4 light years hence I believe.

 

One expedition travels there and back at a speed of c/2 and the other does the journey there and back at a different speed ,say c/10.

 

When they return do they exhibit an identical discrepancy vis a vis the clock they left behind at departure?

 

I can obviously see that ,f they do not then the difference in time dilation(correct term for the aging twin effect?) between the two expeditions must be a function of their speed.

 

 

[..]

 

They do not; time dilation is a function of speed, as already explained by Einstein in 1905, here in section §4.

 

The effect of acceleration is indirect, as it can change speed.

  • Author

 

They do not; time dilation is a function of speed, as already explained by Einstein in 1905, here in section §4.

 

The effect of acceleration is indirect, as it can change speed.

They do not " exhibit an identical discrepancy " is what you are saying?

 

I was thinking that ,if the distance is fixed then the increased time dilation caused by the higher speed (c/2) would be accumulated over a shorter time whereas the time dilation caused by the lower speed (c/10) would accumulate over a correspondingly longer time .

 

And so (if this relationship was at all linear -the relationship between the two instances of time dilation) then it might be immaterial in the aging twin scenario at what speed the one twin receded from the other since the amount of time dilation would accumulate to the same (or very close) in all instances regardless of the speed..

 

Do you see what I am trying to get at? It may not be a fundamental point -more a practical outcome (if true -which it may well not be if acceleration is used in the journeys)

 

I understand that time dilation is a function of speed.

 

I am not quite sure of the terminology that describes an accumulation of this time dilation when 2 objects are "reunited".

They do not " exhibit an identical discrepancy " is what you are saying?

I was thinking that ,if the distance is fixed then the increased time dilation caused by the higher speed (c/2) would be accumulated over a shorter time whereas the time dilation caused by the lower speed (c/10) would accumulate over a correspondingly longer time .

 

And so (if this relationship was at all linear -the relationship between the two instances of time dilation) then it might be immaterial in the aging twin scenario at what speed the one twin receded from the other since the amount of time dilation would accumulate to the same (or very close) in all instances regardless of the speed..

 

Do you see what I am trying to get at? It may not be a fundamental point -more a practical outcome (if true -which it may well not be if acceleration is used in the journeys)

 

I understand that time dilation is a function of speed.

 

I am not quite sure of the terminology that describes an accumulation of this time dilation when 2 objects are "reunited".

 

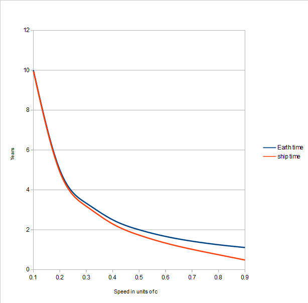
Here's a chart showing the comparative times between ship and Earth for a trip of 1 light year at various speeds. Note that at low speeds, there is almost no difference between elapsed ship and Earth time, but it increases to a bit more than 1/2 a year by the time the speed is 0.9c

post-222-0-07623500-1480527279_thumb.jpg

 

At c/10, the difference is .05 years (18 1/4 days) and at c/2, it is 0.268 years (~98 days) or 5.36 times larger.

  • Author

 

I was thinking that ,if the distance is fixed then the increased time dilation caused by the higher speed (c/2) would be accumulated over a shorter time whereas the time dilation caused by the lower speed (c/10) would accumulate over a correspondingly longer time .

 

And so (if this relationship was at all linear -the relationship between the two instances of time dilation) then it might be immaterial in the aging twin scenario at what speed the one twin receded from the other since the amount of time dilation would accumulate to the same (or very close) in all instances regardless of the speed..

 

Do you see what I am trying to get at? It may not be a fundamental point -more a practical outcome (if true -which it may well not be if acceleration is used in the journeys)

 

I understand that time dilation is a function of speed.

 

I am not quite sure of the terminology that describes an accumulation of this time dilation when 2 objects are "reunited".

 

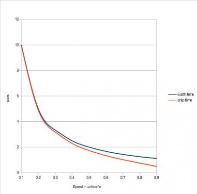
Here's a chart showing the comparative times between ship and Earth for a trip of 1 light year at various speeds. Note that at low speeds, there is almost no difference between elapsed ship and Earth time, but it increases to a bit more than 1/2 a year by the time the speed is 0.9c

attachicon.gifchart.jpg

 

At c/10, the difference is .05 years (18 1/4 days) and at c/2, it is 0.268 years (~98 days) or 5.36 times larger.

Thanks. I am a little surprised as to why the increase in speed is not compensated to any significant degree by the decrease in the length of time involved. I guess that would become clearer to me if I had the maths under my belt.

Thanks. I am a little surprised as to why the increase in speed is not compensated to any significant degree by the decrease in the length of time involved. I guess that would become clearer to me if I had the maths under my belt.

At low speeds it's linear in v. The overall effect depends on v^2, but the elapsed time depends on v.

Archived

This topic is now archived and is closed to further replies.

Important Information

We have placed cookies on your device to help make this website better. You can adjust your cookie settings, otherwise we'll assume you're okay to continue.

Account

Navigation

Search

Search

Configure browser push notifications

Chrome (Android)
  1. Tap the lock icon next to the address bar.
  2. Tap Permissions → Notifications.
  3. Adjust your preference.
Chrome (Desktop)
  1. Click the padlock icon in the address bar.
  2. Select Site settings.
  3. Find Notifications and adjust your preference.