Skip to content

Genady

Senior Members
  • Joined

Everything posted by Genady

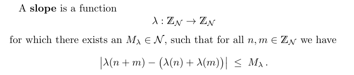
  1. Right. And my book says, but still, since all the numbers here are integer, the definitions [math]|\lambda(m+n)-(\lambda(m)+\lambda(n))| < M_{\lambda}[/math] and [math]\left\{ \lambda(m+n)-(\lambda(m)+\lambda(n)) \right\} \,\text{is finite}[/math] are equivalent.
  2. I still don't see a difference between the two constructions mentioned above. The first says, The second, Does anybody see how they are different?
  3. Whoever it was that downvoted you, I've balanced it by an upvote, just as you've done for me earlier.
  4. Yes, I'm studying this book: This notation, (rather than, e.g., S or s) is new to me.
  5. This note of yours has a direct relevance to this "Quiz" of mine here: https://www.scienceforums.net/topic/140398-from-naturals-to-integers-quiz/ 🙂
  6. The construction that I've learned recently follows closely the "2.12. Schanuel (et al.)’s construction using approximate endomorphisms of Z ([2, 11, 16, 29, 30, 1985])" in your first linked paper. Interestingly, my book cites rather "Norbert A’Campo, A natural construction for the real numbers, Elemente der Mathematik, vol. 76 (2021)." P.S. Ah, I see that A'Campo's is your second linked paper. Perhaps, there is some difference that I didn't see yet.
  7. Thank you! I didn't know about 10 different ones, only about three, I think. And they all constructed rational numbers before constructing reals. So, a direct route from Z to R without Q was interesting.
  8. Real numbers can be constructed directly from integers, without a construction of rationals.
  9. Given natural numbers [math]\mathcal{N}=\left\{0, 1, 2, ... \right\}[/math], Why do they identify [math]x \in \mathcal{N}[/math] with [math]\left\langle 0,y \right\rangle[/math] rather than [math]\left\langle x, 0 \right\rangle[/math]? Does it matter? If yes, how / when?
  10. Right. As they say in the first part of the definition, xRy and x=y are mutually exclusive.
  11. That's it!!
  12. Ha, that's too. Still, there is another one, related.
  13. Without going into any technical details, the short answer is,
  14. No. (Check your notes or references about basics of algebra.) I've checked. Turned out that I am right. Can you find what is mistaken in the quoted definition? (Read it carefully in the OP.)
  15. No topology here. This is pure set theory, more specifically, ZFC. There is no requirement that a set has to be well-ordered. It is only a definition, when it is. I claim that the definition as stated is meaningless, i.e., no set so well-ordered exists. (I don't remember which quiz/riddle on divisibility I posed months ago ☹️ ) P.S. I like your "Location." 🙂
  16. Consider these definitions: I think, there is a mistake in this definition of well-ordering which makes the latter impossible. Am I right?
  17. It appears that you have three unknowns: [math]x, y, \alpha[/math], and you have one equation [math]yx=\alpha[/math]. You need two more equations to solve the problem. If I understand your sketch correctly, one equation could be that two red areas are equal, and another that the brown area equals sum of the red and the green areas. If so, the rest is some trigonometry and some algebra.
  18. There is a theorem in logic that says that given a countable formal language, any consistent formal theory in this language has a countable model. What is paradoxical about this statement? For example, the language of the axioms of Zermelo-Fraenkel Set Theory ZFC only consists of the membership relation ∈. Hence, if ZFC is consistent, it has a countable model. However, it is easy to prove from the axiom system ZFC that there exist uncountable sets. How is it not a contradiction?
  19. I am really glad that this misunderstanding has been figured out. Thank you for clarifying its origins. I wondered and did not see where it comes from.
  20. For two reasons: a) there is no requirement for a set of axioms to be finite; b) there are many complete axiomatic theories. It is not a problem. There is no need in such differentiation.
  21. This is correct. However, such definition has to be added as an axiom or axioms because there is no way to express it logically using only axioms of addition.
  22. However, this is what axioms are. All the deeper stuff is not even wrong. This understanding is wrong. This conclusion is wrong, too.
  23. What is completeness or incompleteness of a theory in your understanding?
  24. You provided a set of axioms which define multiplication. Together with the other axioms they make Peano arithmetic. This arithmetic is incomplete. The Gödel's Incompleteness Theorem says that axiomatic sufficiently strong consistent theory cannot be complete.

Important Information

We have placed cookies on your device to help make this website better. You can adjust your cookie settings, otherwise we'll assume you're okay to continue.

Account

Navigation

Search

Search

Configure browser push notifications

Chrome (Android)
  1. Tap the lock icon next to the address bar.
  2. Tap Permissions → Notifications.
  3. Adjust your preference.
Chrome (Desktop)
  1. Click the padlock icon in the address bar.
  2. Select Site settings.
  3. Find Notifications and adjust your preference.