Skip to content

Now I must publish

Featured Replies

I read two post on this site that make me realize that I am the only one who gets it, about a certain topic, which I wrote a paper on in the 90's. I never published, but I did have it reviewed by a single physicist, who said the math was correct, but he didn't like my conclusions.

 

However, If my conclusions are correct - they are in my opinion very logical - which I have personally taken for granted all these years, they have the potential to affect cosmological observations, which never occurred to me before, and they have the potential to influence theory on electro-magnetism.

 

I guess that means I am sort of obligated to publish, doesn't it? Morally? Ethics.... hmmmm

 

It has to do with the Lorentz transformation.

 

When I was taught the derivation, it seemed to me that they sort of glossed over it, in a kind of leap of faith sort of way.

 

I was just trying to understand it in a more deductive logic way, and so I picked it appart, more than they bothered to do.

 

The explanation they gave me lacked that deductive rock solid reasoning that you started out with. Remember set theory. I decided to apply some of that.

 

Politically, messing with the Lorentz transformation is like questioning the Koran.

 

Still I pretty sure I'm right. Deductive reasoning will do that to a guy.

 

It's nothing complicated.

Edited by ponderer

No one can force you to publish your idea. I am completely ruthless when it comes to keeping my ideas from society. I even turn away people who come visiting me to tell me theirs (Jehova's witnesses et. al.). As for your personal morals/ethics or whatever the correct term might be: You probably have to decide that for yourself.

  • Author
No one can force you to publish your idea. I am completely ruthless when it comes to keeping my ideas from society. I even turn away people who come visiting me to tell me theirs (Jehova's witnesses et. al.). As for your personal morals/ethics or whatever the correct term might be: You probably have to decide that for yourself.

 

It just seems to me that it would be hard to get past the review process. What I could do is try, and if that doesn't pan out, try one of the less reputable publishing outlets.

 

I just dislike having to get judged by a closed minded review. "The math is correct but we don't like your conclusions." Rejected.

 

I have to go through the trouble, to be dismissed in the end.

 

I'm not even a phyicist. I'm just a guy trying to understand what's going on.

 

Makes you wonder, what's the point?

Edited by ponderer

The Lorentz transformations are just the homogeneous transformations that preserve the space-time interval. (They are (some of) the isometries of the Minkowski metric. ) They should be compared with the Euclidean group.

 

Messing with the Lorentz transformations is fine, as long as you know what you are trying to do and why.

 

As for actual publishing, is this a philosophy or physics publication?

Edited by ajb

  • Author
The Lorentz transformations are just the homogeneous transformations that preserve the space-time interval. (They are (some of) the isometries of the Minkowski metric. ) They should be compared with the Euclidean group.

 

Messing with the Lorentz transformations is fine, as long as you know what you are trying to do and why.

 

As for actual publishing, is this a philosophy or physics publication?

 

One point at a time.

 

1) That's the thing. They are, and they are not.

 

2) I think I know exactly what I am doing, by deductive reasoning.

 

3) a physics article, including all the math.

 

I had it posted on my web page for years, many years ago, along with some light cone graphics. It explained time dilation, step by step.

 

Thus my signature.

 

One shift, two shift, red shift, blue shift

 

I did not discuss the real consequences, which seemed to be none. It seemed that all I had done was provide a general proof of the Lorentz transformation.

 

It did not occurred to me that the proof would have relativistic consequences for the geometry of gravity wells, and electro-static wells.

 

I mentally went about with that picture, but did not really come to terms with the fact that nobody else is thinking this.

 

So I'm thinking maybe I should put my hand up.

 

Maybe general relativity takes this into account, but if it doesn't drop the transformation stuff, and look deeper, I don't think so. Like I said, I am not a physicist.

 

Comments I'm reading here from people who seem to be knowledgable makes me think otherwise.

  • Author
One point at a time.

 

1) That's the thing. They are, and they are not.

 

2) I think I know exactly what I am doing, by deductive reasoning.

 

3) a physics article, including all the math.

 

I had it posted on my web page for years, many years ago, along with some light cone graphics. It explained time dilation, step by step.

 

Thus my signature.

 

One shift, two shift, red shift, blue shift

 

I did not discuss the real consequences, which seemed to be none. It seemed that all I had done was provide a general proof of the Lorentz transformation.

 

It did not occurred to me that the proof would have relativistic consequences for the geometry of gravity wells, and electro-static wells.

 

I mentally went about with that picture, but did not really come to terms with the fact that nobody else is thinking this.

 

So I'm thinking maybe I should put my hand up.

 

Maybe general relativity takes this into account, but if it doesn't drop the transformation stuff, and look deeper, I don't think so. Like I said, I am not a physicist.

 

Comments I'm reading here from people who seem to be knowledgable makes me think otherwise.

 

Here is a sample light cone graphic.

cones12.gif

1) That's the thing. They are, and they are not.

 

Do you care to say more about this?

 

My understanding of the Lorentz transformations are as elements belonging to a subgroup of the Poincaré group. In particular they are linear. There are then interesting sub groups again.

Eh, publish away. You can publish something without peer review, and then if no one has solid criticisms publish it in a peer reviewed journal.

 

Remember, sometimes people can tell you made a mistake simply by looking at your conclusions. If your conclusion is wrong then you made a mistake... and they might not bother to check exactly where.

  • Author

Correction:

 

It is a representation of the send and receive light cones for a point in relative motion, for light sent and received, from a circular set of points, with the same relative motion, and equidistant from that point. As seen by a stationary observer. x,z are distance and y is time. You would need a spherical set of points, to give a true 3D representation, but we have to steal a spacial dimension to plot time.

 

The moving central point and circular set of points are represented by three red world lines, and the rims of the cones. You will notice that the cones are skewed. The rim of the cones, represent simultaneous events in a circle about a point, from the perspective of the moving observer.

 

You will also notice a distinct difference in what might be considered simultaneous events between the stationary observer, and the observer in motion at the center of the light cone.

 

If you imagine a ring of lights at the rim edge of the bottom cone, and a single pulse light source at the center of the cones, then the ring of lights for a stationary observer must fire sequentially from left to right, in order for them to converge at the center point simultaneously.

 

In the moving frame of reference, since they are all equidistant from the center point, they must have all fired at the same time, in order to arrive at the same time.

 

For the single pulse light source radiating outwards, according to the stationary observer the light is received in sequence, by the constituent points of the equidistant ring, in a time sequence from left to right, again.

 

While the moving observer in the same moving frame will see the light all arriving at the same time, all around the equidistant ring.

 

Inorder to rectify the discrepancy, we may postulate that the observer in the moving frame has a directionally dependent different perception of time and distance, that is rectified by some Lorentz transformation magic and everything looks flat to us, except he's running a little behind.

 

Well that's all well and good, but if he is in some far off galaxy moving across my field of view, I am not likely to be transforming into his frame of reference. I just have my own, and my big honking telescope.

 

I am not concerned with what I am sending to any far off galaxy. I'm just looking.

 

All I'm getting is the light transmitted from that galaxy.

Edited by ponderer
Consecutive posts merged.

  • Author
Correction:

 

If we are to assume that time is slower in the moving frame because of the effects of the send and receive light cones being combined, we would multiply the general equations for the two and get the Lorentz tranformation.

 

However, we do not do that. We look instead at the universal speed of light, and say t'c, compares to tc, and using general equations, for the send and receive light cones, we get this picture of relative time and space distortion in the reference frame, for the same set of circular points.

 

That is what you use to do the Lorentz transformation, into that frame of reference.

 

The general equations representing the first graph and the second graph are multiplied. The send light cone general equation against the send light cone general equation and the receive light cone general equation against the receive light cone general equation, and you get the Lorentz transformation for the send and receive light cones individually.

 

That noramlizes the view of the frame, except that its running a bit behind and if size matters, the girls around here will be less impressed.

 

It's a general proof of the Lorentz transformation, using general equations, for the send and receive light cones, in the full 3D space. Only a circular set of points is used in the graphs, but the general equations solve for all points in 3-space.

 

In any case whats going on underneath does not look so flat, even though the transformation produces a flat result.

 

No more freebees.

Edited by ponderer

  • Author
If we are to assume that time is slower in the moving frame because of the effects of the send and receive light cones being combined, we would multiply the general equations for the two and get the Lorentz tranformation.

 

However, we do not do that. We look instead at the universal speed of light, and say t'c, compares to tc, and using general equations, for the send and receive light cones, we get this picture of relative time and space distortion in the reference frame, for the same set of circular points.

 

That is what you use to do the Lorentz transformation, into that frame of reference.

 

The general equations representing the first graph and the second graph are multiplied. The send light cone general equation against the send light cone general equation and the receive light cone general equation against the receive light cone general equation, and you get the Lorentz transformation for the send and receive light cones individually.

 

That noramlizes the view of the frame, except that its running a bit behind and if size matters, the girls around here will be less impressed.

 

It's a general proof of the Lorentz transformation, using general equations, for the send and receive light cones, in the full 3D space. Only a circular set of points is used in the graphs, but the general equations solve for all points in 3-space.

 

In any case whats going on underneath does not look so flat, even though the transformation produces a flat result.

 

No more freebees.

 

To get the general equations, start here, then suppose 3 dimensions instead of the 2 in the graph.

 

You should get these two opposing "Doppler Shifted" results, which when multiplied gives that last result:

img00419.gif

img00415.gif

img00423.gif

img00427.gif

img00412.gif

Edited by ponderer

  • Author

Here is the other starting graph. And then there is this effect that is governed by the same general equations.

img00003.gif

img00431.gif

img00434.gif

Edited by ponderer

Your picture with the circles is wrong; we went through this recently in another thread. The light will not reach points on the moving circle simultaneously, according to the stationary observer, so it is incorrect to say that it reaches in t' such that d = t'c.

 

One must be careful not to impose any artificial constraints on the problem.

  • Author
Your picture with the circles is wrong; we went through this recently in another thread. The light will not reach points on the moving circle simultaneously, according to the stationary observer, so it is incorrect to say that it reaches in t' such that d = t'c.

 

One must be careful not to impose any artificial constraints on the problem.

 

A single instantaneous pulse of light was sent, when the stationary circle and the moving circle were overlapped perfectly, with the centers perfectly on top of each other.

 

In the frame of reference of the moving circle, the points of the moving circle are equidistant from the the center of the moving circle, from which the light pulse was emmitted. For an observer in the moving frame, the light must all arrive around the moving circle at the same time, since the circle remains equidistant from the light source, which is the center of the moving circle.

 

The light arrives around the stationary circle in the stationary frame also at the same time, according to an observer in the stationary frame.

 

The stationary observer does not see the light arriving all around the the moving circle at the same time, but the moving observer does.

 

In order for him to see things differently, his percention of time and space must be different.

 

t'c is direction dependent. It varies with direction. It is not a constant for the whole frame.

 

A general equation is derived for each point in 3-space, by substituting,

 

x^2 + y^2 + z^2 = (tc)^2

 

It is a spherical plot for all of 3-space, for any given x,y,z

 

At the end of the derivation, the reverse substitution is done, thereby relating t and t' for the same location in 3-space.


Merged post follows:

Consecutive posts merged

 

You know what? I might as well come out with it.

 

If you look at the very first graphic in the thread, it's only purpose is to calculate the relative space-time distortion in the moving frame shown in the second graphic.

 

The key is the second graphic, and only the send light cone.

 

It represents how time and space are distorted in the moving frame compared to the stationary frame, as perceived from the stationary frame.

 

The relative distortion of space and time must distort the gravity well, and if electrostatic potential is considered a potential well, you can expect the same thing.

 

The extra-dimensional topology of the potential well will appear to be tipped in the direction of motion.

 

Consequently, light bending around the front side of a moving galaxy should seem to be in a bigger gravity well, due to gradient, than light bending around the back side of the same galaxy.

 

If you measure light bending around a moving galaxy the estimate of the mass of the galaxy due to it's apparent constituents and by the bending of light may not jive. The light bending will vary, depending on geometric circumstance.

 

An observer in the moving galaxy will see our gravity well distorted in a similar way, but in the opposite direction, which is demonstrated by the bottom half of the same graphic, the receive light cone space-time distortion for the moving frame.

 

It seems relative motion must tip the topology of potential wells in the direction of motion, as seen from another frame of reference.

 

So, does GR take this into account? I don't know. I'm not a physicist, but I don't think so. I don't think I am wrong on this, but I am willing to be corrected. Unless I am missing some fundamental fact or other, I am certain my logic and math are correct.

 

I don't think anyone else is seeing this, up to now. I have just mentally taken it for granted for a decade or so.

 

Do you think I should publish something?

Edited by ponderer
Consecutive posts merged.

A single instantaneous pulse of light was sent, when the stationary circle and the moving circle were overlapped perfectly, with the centers perfectly on top of each other.

 

In the frame of reference of the moving circle, the points of the moving circle are equidistant from the the center of the moving circle, from which the light pulse was emmitted. For an observer in the moving frame, the light must all arrive around the moving circle at the same time, since the circle remains equidistant from the light source, which is the center of the moving circle.

 

The light arrives around the stationary circle in the stationary frame also at the same time, according to an observer in the stationary frame.

 

The stationary observer does not see the light arriving all around the the moving circle at the same time, but the moving observer does.

 

In order for him to see things differently, his percention of time and space must be different.

 

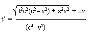
t'c is direction dependent. It varies with direction. It is not a constant for the whole frame.

 

But that's the problem with the caption in the picture — it presents tc as a constant, meaning that t is not a variable; the implication is that t' is also a constant, because you can transform from t to t'.

  • Author
But that's the problem with the caption in the picture — it presents tc as a constant, meaning that t is not a variable; the implication is that t' is also a constant, because you can transform from t to t'.

 

I can`t help it if you find the caption misleading. The graphic is taken out of context, from a article. Now, that you see the explanation, do you understand? I was not intending to go into this at length, but after posting graphs and equations, It was easy to explain.

 

If this distortion is not confirmed, then the logical explanation is non-rotational frame dragging.

 

Either we see distorted potential wells, or there is non-rotational frame dragging. Either way, something is going on that no one is considering, I think.

 

Is there an actual physicist on this site that can confirm this is actually something novel.

 

Don't tell me, you don't like my conclusions.

 

I never did like this transformation being rammed down my throat, without due analysis, consideration, and explanation. "Now let's move on."

 

It wanted more chewing on, to break it down more, and digest it better.

Edited by ponderer

Is there an actual physicist on this site that can confirm this is actually something novel.
"Actual physicist", as in "professional physicist"? Someone who actually makes their living as a physicist, say, for the US Naval Observatory?

 

That would be swansont.

I can`t help it if you find the caption misleading. The graphic is taken out of context, from a article. Now, that you see the explanation, do you understand? I was not intending to go into this at length, but after posting graphs and equations, It was easy to explain.

 

If this distortion is not confirmed, then the logical explanation is non-rotational frame dragging.

 

It sounds to me like you are asking of the distortion of the moving circle, as seen from the stationary observer's frame, is taken into account by relativity.

 

Yes. The application of relativity is why I made my objection to the caption. Length contraction (and more generally, Penrose-Terrell rotation) are well-known consequences of relativity.

  • Author
It sounds to me like you are asking of the distortion of the moving circle, as seen from the stationary observer's frame, is taken into account by relativity.

 

Yes. The application of relativity is why I made my objection to the caption. Length contraction (and more generally, Penrose-Terrell rotation) are well-known consequences of relativity.

 

You aren't getting it.

 

Everyone learned a transformation, and now nobody can think in other terms.

 

Let me make it as plain as I can without graphics.

 

Because space and time are altered in the moving frame compared to the stationary frame, the shape of the potential wells in the moving frame must be different in the same way.

 

It is not a simple length contraction over the whole frame.

 

Length is contracted, in front of every potential well, and stretched out, behind every potential well in the moving frame, compared to the stationary frame.

 

If you draw a plane perpendicular to the vector of motion, through the center of any potential well in the moving frame, the side of the plane towards the front of the potential well has contracted space-time and the side of the plane towards the back of the potential well has elongated space-time.

 

Do you get it now.

 

It seems a bit strange, but that's seems to be what you get if the space-time of the moving frame is considered altered compared to the stationary frame, due to the speed of light being constant.

Edited by ponderer

You aren't getting it.

 

Everyone learned a transformation, and now nobody can think in other terms.

 

Let me make it as plain as I can without graphics.

 

Because space and time are altered in the moving frame compared to the stationary frame, the shape of the potential wells in the moving frame must be different in the same way.

 

The altering of space is length contraction.

 

It is not a simple length contraction over the whole frame.

 

Length is contracted, in front of every potential well, and stretched out, behind every potential well in the moving frame, compared to the stationary frame.

 

Are you are proposing something new?

 

If you draw a plane perpendicular to the vector of motion, through the center of any potential well in the moving frame, the side of the plane towards the front of the potential well has contracted space-time and the side of the plane towards the back of the potential well has elongated space-time.

 

Do you get it now.

 

It seems a bit strange, but that's seems to be what you get if the space-time of the moving frame is considered altered compared to the stationary frame, due to the speed of light being constant.

 

Why would the back be elongated?

  • Author
The altering of space is length contraction.

 

 

 

Are you are proposing something new?

 

 

 

Why would the back be elongated?

 

Yes, I think I am proposing something new. That is why I asking if I am obligated to publish.

 

Still dicussing observations of a distant galaxy moving across our field of view, the top light cone is how the stationary frame experiences the moving frame, and the bottom light cone is how the moving frame experiences the stationary frame.

 

It's us looking at them. We are not interested to doing any transformations. We are not interested in making them look stationary, and have everything run normally from our perspective. We are just looking. We are just observering their mess-up sequence of events and their distorted space-time. We must love this galaxy because we are accepting it with all its faults and not trying to change it.

 

However, for things to run normally in the moving frame, time and space must be altered in that frame compared to the stationary frame.

 

A circular set of reference points was used, only to get a geometric picture of the space-time distortion in the moving frame, compared to the stationary frame.

 

This geometric picture must be applied to the potential wells in the moving frame.

 

The moving observer will also experience the potential wells in the stationary frame to be distorted in the same way, but the opposite direction.

 

This is important for cosmic observations, and for the manifestation of magnetic force.

 

This graphic is the space-time distortion, for a galaxy moving from left to right across our field of view:

 

The top part of the graphic is a cross-section of a normal light cone for the stationary frame, representing the space time distortions of the moving frame. This distortion must be applied to our experience of the moving potential wells.

 

You take the shape of the top light cone cross-section and you multiply that by the normal geometry of the potential well.

 

The bottom part of the graphic is how the moving frame experiences the potential wells in the stationary frame, also distorted in the same manner but the opposite direction.

 

It must be so, by simple deductive reasoning. It just seems that nobody bothered looking deeper into the transformation. I felt the topic was rushed and not thoroughly examined.

 

I didn't like that. I thought it was a glossed over leap of faith, without due analysis. I needed a bigger picture.

 

My first impression was that I had satisfied myself, that the transformation would apply across the frame uniformly and thus I had a general proof for the Lorentz transformation.

 

After some consideration, I also realized that my bigger picture was also showing me this.

 

I was concerned with 5D potential wells for E-M. This was important for that, but nobody wants to hear about 5D E-M. So I did not concern myself with the discrepency between my way of thinking and everybody elses. It did not seem to matter.

 

Then I recently realized that gravity wells must also be affected, and I am hearing about dark matter, and how the bending of light does not match the apparent mass of the constituents of the galaxy, and things about the universe suddenly expanding, and I am wondering if this might affect cosmic observations. Well actually to my way of thinking, it must.

 

In any case, for now it seems, nobody wants to hear about 5D E-M, but everybody is interested in cosmic observations.

 

So, am I obligated to publish something? Will anyone listen?

cones28.gif

Edited by ponderer

  • Author
How do your alterations differ from the Lorentz transformations?

 

There is no transformation being done.

 

We are just experiencing the moving frame in its native state.

 

The sequence of events in the moving frame will be seen differently than the same events seen from the stationary frame.

 

In order for the moving observer to see things normally, his space-time must be different than the stationary frame.

 

The sequence of events is inconsequential to the shape of the space time distortion of the moving frame, other than to assess the actual space-time distortion. It is evidence of the space-time distortion. Space-time is distorted in the moving frame compared to ours so we see things in a different sequence as a result.

 

If the space-time of the moving frame is different, the shape of the moving potential wells must be different in the same way, to the stationary observer.

 

The moving observer also experiences the stationary frame to have a similar distortion, but in the opposite direction.

 

Why does nobody understand this simple thing?

Edited by ponderer

Why does nobody understand this simple thing?

 

It seems to be contradictory to me. The Lorentz transforms tell you what the moving frame looks like, to the stationary frame. What you are proposing is inconsistent with this, and lacks both a theoretical framework and experimental evidence.

Archived

This topic is now archived and is closed to further replies.

Important Information

We have placed cookies on your device to help make this website better. You can adjust your cookie settings, otherwise we'll assume you're okay to continue.

Account

Navigation

Search

Search

Configure browser push notifications

Chrome (Android)
  1. Tap the lock icon next to the address bar.
  2. Tap Permissions → Notifications.
  3. Adjust your preference.
Chrome (Desktop)
  1. Click the padlock icon in the address bar.
  2. Select Site settings.
  3. Find Notifications and adjust your preference.