Jump to content

usage of gauss law in magnetic law

Featured Replies

image.thumb.png.fdbec60a38930aa0e487d3f9f0d4d344.png

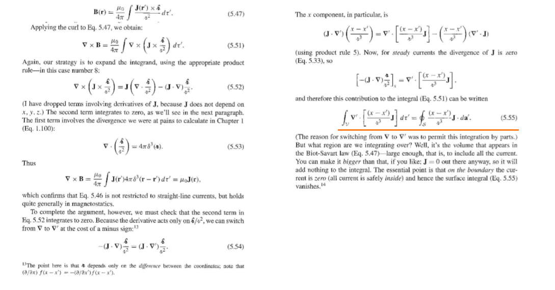
In 5.55 they use Gauss law. In my proof of Gauss law they require that there is no holes on the volume of Gauss law. But in 5.55 there is a hole when the radius is 0. How can you create a proof for this rewriting then? I have the same issue in the electromagnetic gauss law:

image.thumb.png.fcbdbb630220badab5800075e4b56089.png

Then they introduce Gauss law even though the electric field E is undefined in origo

image.png.f33ff8d72246bdb4d47320f0ae5897a1.png

 

I guess I in the end must add a derivation for Gauss law so that someone can point out how the proof is still valid for the theory above.

 

 

 

 

image.png

Edited by Tor Fredrik

Gauss' Law says that

The total flux through an enclosing boundary of a region equals the strength of the source (or sink) within that region.

There is also the trivial case where there are no sources/sinks and therefore the flux must also be zero.

 

The law is a multidimensional version of the relation between a boundary integral and an integral taken over a region.

This can be traced to its simplest form which is known as the fundamental theorem of calculus.

Did you find your table of vector operations?

Edited by studiot

54 minutes ago, Tor Fredrik said:

image.thumb.png.fdbec60a38930aa0e487d3f9f0d4d344.png

In 5.55 they use Gauss law. In my proof of Gauss law they require that there is no holes on the volume of Gauss law. But in 5.55 there is a hole when the radius is 0. How can you create a proof for this rewriting then?  

 

It's a volume integral. What is the volume when R=0?

  • Author
6 hours ago, swansont said:

It's a volume integral. What is the volume when R=0?

But in the orange part in my first post in this thread they use that thet get a value for the volume integral at origo and that it is 0 everywhere else.

7 hours ago, studiot said:

Gauss' Law says that

The total flux through an enclosing boundary of a region equals the strength of the source (or sink) within that region.

There is also the trivial case where there are no sources/sinks and therefore the flux must also be zero.

 

The law is a multidimensional version of the relation between a boundary integral and an integral taken over a region.

This can be traced to its simplest form which is known as the fundamental theorem of calculus.

Did you find your table of vector operations?

Yes luckily I did find my table.  I see now that the requirement in the proof for gauss divergence theorem was that the volume must be continuous. So they are not mentioning F. So is it possible to prove that F does not have to be continous from the fundamental theorem of calculus? For example this note might pull one in the right direction?

image.png.26c3b34150c0fd3b89e127fa558ed3f7.png

Edited by Tor Fredrik

  • Author

I did stumble upon a thing about gauss law

image.png.c8322961c5fd683530a09377c6746f7e.png

I guess this could explain that the sum of div of E inside the whole electron is as noted in gauss law

image.png.c45150b79afd3108a3df10c2c69a8e2d.png

But as for deriving

image.png.4b59335d03e8c76be2ca04ed120e4c9d.png

without using gauss law? I think this problem in Griffiths might help 

image.png.27307d4ffeb59774a17cf9641f4f9ed1.png

image.png.3f7dd404ab44323891679163ec598b7c.png

I guess I just would have to read the answer properly

Edited by Tor Fredrik

Archived

This topic is now archived and is closed to further replies.

Important Information

We have placed cookies on your device to help make this website better. You can adjust your cookie settings, otherwise we'll assume you're okay to continue.

Configure browser push notifications

Chrome (Android)
  1. Tap the lock icon next to the address bar.
  2. Tap Permissions → Notifications.
  3. Adjust your preference.
Chrome (Desktop)
  1. Click the padlock icon in the address bar.
  2. Select Site settings.
  3. Find Notifications and adjust your preference.