Skip to content

usage of vector identity in int to electrodynamics griffiths

Featured Replies

image.thumb.png.889371b10e767e027fc7853f8cd67288.png

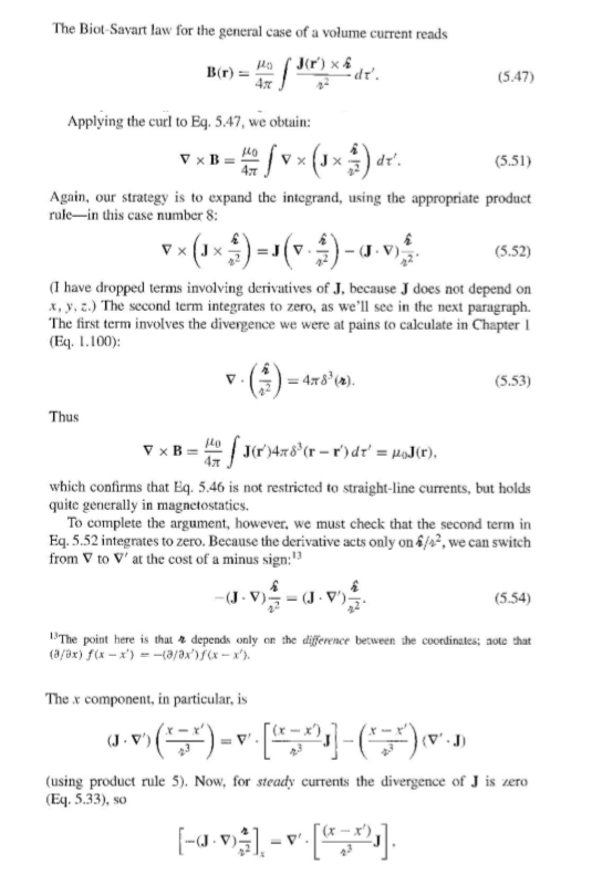
they refer to a product rule 5 for the second last equality above. This text is taken from David Griffiths, introduction to electrodynamics. If anyone is familiar with the book. At what page is product rule 5 that is used here introduced? I cant find that page. Or does anyone have another book or a internet site where this product rule 5 is derived? Or does anyone want to derive the second last equality above here on this page?

 

On a further note I understand that

image.png.701b162109be634e8eda4c03c5aee381.png

So I understand how they obtain the left side of:

image.png.0e0c8567982cce5a2c45b1b71d4d9dc2.png

 

Edited by Tor Fredrik

2 hours ago, Tor Fredrik said:

they refer to a product rule 5 for the second last equality above. This text is taken from David Griffiths, introduction to electrodynamics. If anyone is familiar with the book. At what page is product rule 5 that is used here introduced? I cant find that page. Or does anyone have another book or a internet site where this product rule 5 is derived? Or does anyone want to derive the second last equality above here on this page?

 

All the 8 product rules he uses are listed inside the front cover.

  • Author
6 hours ago, Mordred said:

I can look later on when I get home and look at my hardcopy

I found it but thanks anyway.

Archived

This topic is now archived and is closed to further replies.

Important Information

We have placed cookies on your device to help make this website better. You can adjust your cookie settings, otherwise we'll assume you're okay to continue.

Account

Navigation

Search

Search

Configure browser push notifications

Chrome (Android)
  1. Tap the lock icon next to the address bar.
  2. Tap Permissions → Notifications.
  3. Adjust your preference.
Chrome (Desktop)
  1. Click the padlock icon in the address bar.
  2. Select Site settings.
  3. Find Notifications and adjust your preference.