Skip to content

Electricity and gravity.

Featured Replies

Hello,

I think I have experimentally found a weak link between electricity and gravity look at url deleted

I want to discuss all your comments and questions on the Forum.

Willy Guns

 

post-130282-0-96782500-1497276538_thumb.jpg

post-130282-0-07686100-1497276756_thumb.jpg

post-130282-0-60733300-1497276777_thumb.jpg

The problem I have with this is that there are no error calculations given. The values you give are all very, very close together. How did you measure them and what have you done to determine the accuracy of your measurements.

  • Author

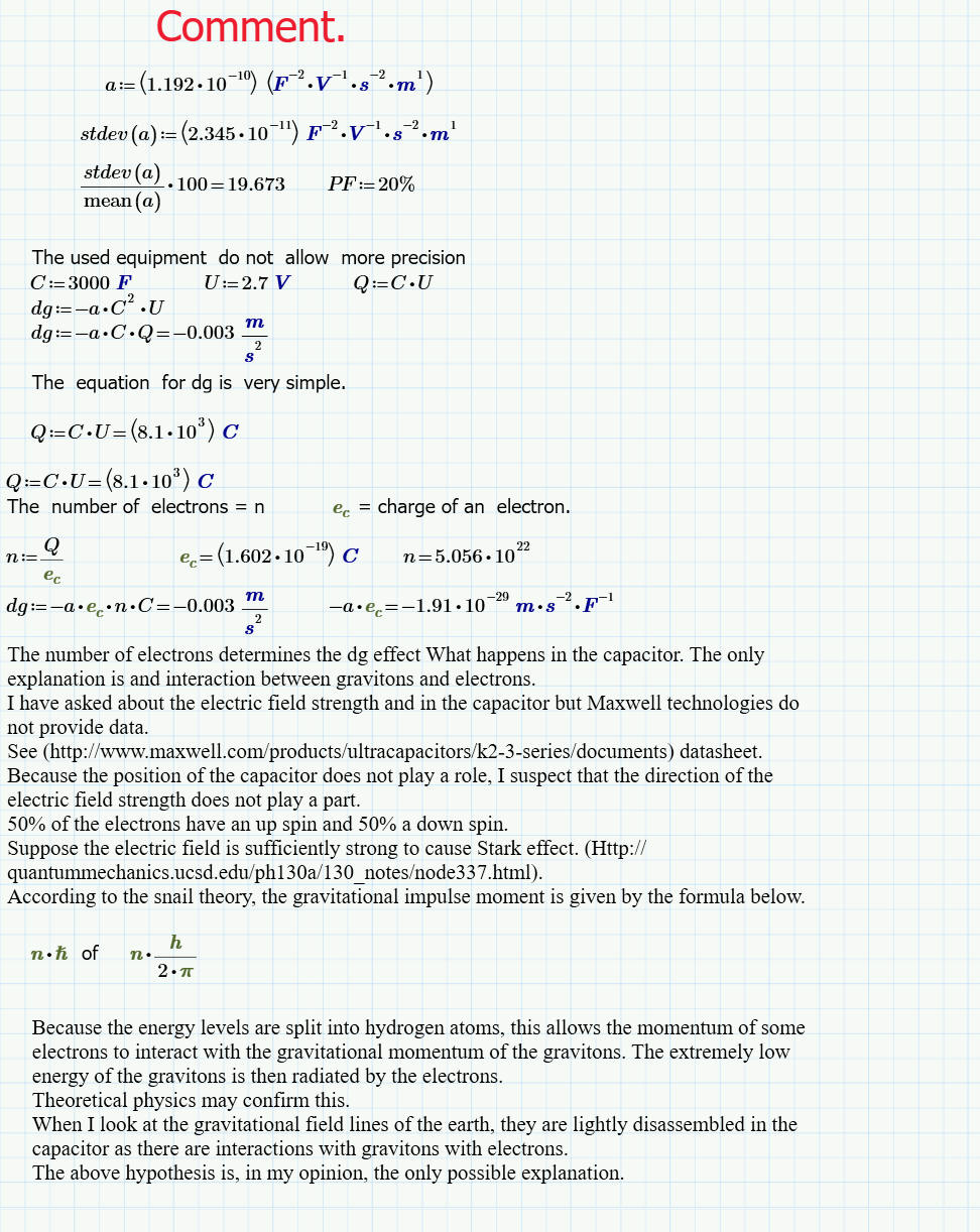
I have made error calculations, but due to my equipment these are about 20%.

The pictures are the result of calculations. You must search on my website. Search gravitatie with the extension Belgium.

I have other interesting results, because my age 75 and relatif primitive equipment, I only hope, that other scientists will contact me, and discuss the results . on this moment there are more thab 50 pages.

​I thank you for your interest.


sorry, 2*3000 must be 2*3000F

in other picture 2*300F MUST BE 2*3000F

post-130282-0-98956400-1497356974_thumb.jpg

post-130282-0-58738400-1497357186_thumb.jpg

post-130282-0-08332400-1497357187_thumb.jpg

post-130282-0-27647100-1497357787_thumb.jpg

post-130282-0-03963100-1497357869_thumb.jpg

Well I must admit you have some very impressive work here. Far better than one typically comes across on a forum.+1 for that. It will take me a bit to look over.

 

You mentioned above your dataset is roughly 50 pages is that correct?

 

Anyways finding a connection between gravities spacetime and its influence on the electromagnetic field is a topic under study. So there really isn't any issue with looking for one.

 

The question being whether or not your in fact finding such a link. You may be interested in this paper as it is one such study. If anything the formulas involved in the link will help progress your modelling. Other studies can be found under gravitoelectromsgnetism.

 

https://www.google.ca/url?sa=t&source=web&rct=j&url=https://arxiv.org/pdf/1602.01492&ved=0ahUKEwj1l8L5rrvUAhVE3GMKHQGdAkMQFggiMAE&usg=AFQjCNEnq7MLzlt11hIoZG4yZz4a7AS4KA&sig2=S7wTMAHLbOh91NiVdwvOxA

Edited by Mordred

  • Author

Thank s for the reponse.

This is the beginning of my publication

post-130282-0-22008500-1497380026_thumb.gif

post-130282-0-17270700-1497380052_thumb.gif

post-130282-0-04337800-1497380143_thumb.jpg

post-130282-0-57384100-1497380208_thumb.jpg

post-130282-0-51607200-1497380319_thumb.jpg

So am I correct your goal is presenting your work into publication and that your looking at how to get your works to publication standards?

 

Excellent work above by the way love your setup and methodology thus far. Well detailed on the presentation.

  • Author

Yes that is my goal.

Given my age and limited experimental equipment, I want others to continue my work and refine it.

i will publisch connection between voltage and dg

U voltage C kwadraat means C squared

 

Sorry but they are in dutch.

Willy

 

 

 

post-130282-0-64674000-1497387298_thumb.jpg

post-130282-0-19096100-1497387472_thumb.jpg

post-130282-0-18268300-1497387975_thumb.jpg

Archived

This topic is now archived and is closed to further replies.

Important Information

We have placed cookies on your device to help make this website better. You can adjust your cookie settings, otherwise we'll assume you're okay to continue.

Account

Navigation

Search

Search

Configure browser push notifications

Chrome (Android)
  1. Tap the lock icon next to the address bar.
  2. Tap Permissions → Notifications.
  3. Adjust your preference.
Chrome (Desktop)
  1. Click the padlock icon in the address bar.
  2. Select Site settings.
  3. Find Notifications and adjust your preference.