Skip to content

Interpreting a formula

Featured Replies

Hello!

I'm trying to understand the following formula, and pretty much need help with all parts of it:

 

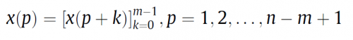
post-99797-0-05352100-1377011642_thumb.png

 

If anyone out there could help me I'd be extremely happy smile.png!

 

 

 

Best regards,

The Interpretator

Edited by Interpretor

The notation is too ambiguous. You have χ(p) on the left side = something inside [ ] on the right side, where the first term in this something is also χ(p). Furthermore the [ ] notation needs some explanation.

Looks to me like the description of some form of mapping x(p) - the 1st, 2nd, 3rd, pth value of x is equal to the any of the subsequant values of x from p+1, p+2, plus a factor k which runs from zero to m-1, this runs to a ceiling where it tops out because the k value is equal to the end value. But makes no sense to me either. maybe someone else - my maths is pretty basic

Looks to me like some instruction in some programming language for generating a recursive loop.

 

If this is true then the equals sign is not meant to be read as equality but

 

x(p) is replaced by x(p+k) where k is already defined previously in the program and the loop runs through for stated values of p,

For every element of p you carry out the operation within x. It looks like a function, but notated in a different way.

It may help if we know the context of this expression. Where did it come from?

 

Different branches of mathematics can have their own set of notations. Thus, it is quite possible that this is quite a simple idea, but we just don't recognise it.

I see lots of comments, but no explanation from the originator. I suggest that we wait until some clarification is given by "interpretor".

  • 3 weeks later...
  • Author

Hello! Thank you for the answers and sorry for my delayed reply (made this thread just before going on vacation). The formula presented above is used to determine the onset of a muscle reaction, with data gathered per millisecond in a time series.

 

Here follows the remaining information I have, hopefully, I'm not breaching any copywright laws by presenting it here:

 

1.

 

The scalar time seriers {x1,x2,...,xi,...,xn} is embedded in a delayed m-dimensional space, where vectors are constructed as (the formula above).

 

The probability Bm® that two sequences match for m points is computed by counting the average number of vector pairs, for which the distance is lower than the tolerance r. Similarly, Am®

 

is defined for an embedding dimension of m + 1. It is then calculated as:

 

Answer(x,m,r)=-ln(Am®/Bm®)

 

 

I hope this information is enough to solve the meaning of this formula.

  • 2 weeks later...
  • Author

Is there no one out there with any clues? Don't be shy, every little piece will help wink.png

Archived

This topic is now archived and is closed to further replies.

Important Information

We have placed cookies on your device to help make this website better. You can adjust your cookie settings, otherwise we'll assume you're okay to continue.

Account

Navigation

Search

Search

Configure browser push notifications

Chrome (Android)
  1. Tap the lock icon next to the address bar.
  2. Tap Permissions → Notifications.
  3. Adjust your preference.
Chrome (Desktop)
  1. Click the padlock icon in the address bar.
  2. Select Site settings.
  3. Find Notifications and adjust your preference.