Skip to content

absolute configuration R and S

Featured Replies

Untitled.thumb.jpg.4c4e59d6d839b257757a2b265335f868.jpg

 

 

Can someone please help me with understanding how this works?

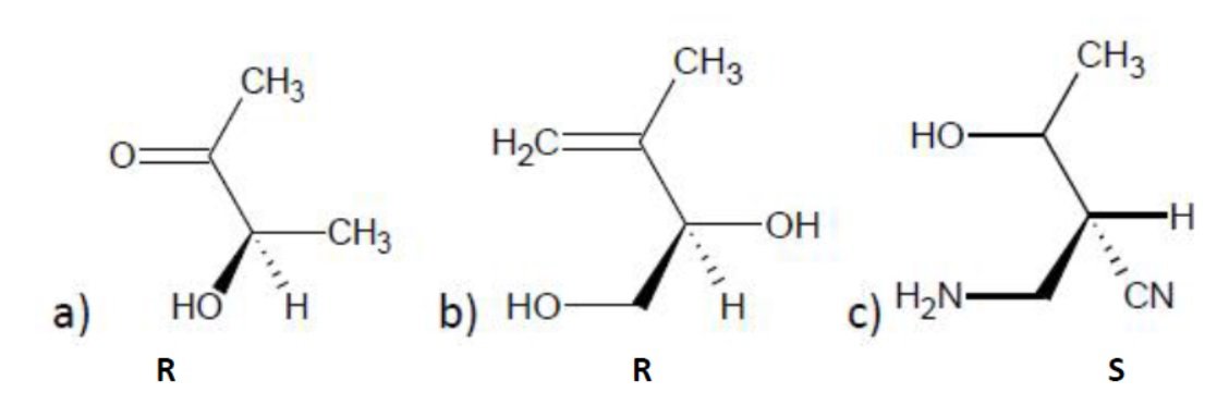
I undestand a bit, but don't get why for example the     a)   is  a  "R" configuration?
and not an S, because I think that "COCH3"  is first then "HO"  is second and third "CH3"
So this in my logic should be S.

Can someone help me understand why is "HO" first?

 

If you want to comment also the other ones, please feel free, it will help me understand faster.
I have the result, just I don't understand WHY.

 

I will be very grateful to whom would like to comment and help me with this.

Thank You guy for your time and your help.

 

 

 

 

 

 

 

As you have example 3 shown the sequence is N C H C , whichever way round round work.

But shouldn't the H be pointing backwards (the lowest priority), not sideways ?

  • Author

Hi, thank you for the answer. What you say is true, it can be pointing backwards.

I don't understand good the example a) why it is R configuration?

and if someone can explain me in detail little how this works i would be grateful.

You mistake appears to be that you are considering the functional group as a whole rather than the atoms individually. When assigning priorities, you are supposed to only look one atom out from the chiral carbon. In your case, the atoms attached to this carbon are C, O, H, and C. Assigning priorities to these, the O is first, the H is last and you cannot yet distinguish between the other two. In this case, you take those two carbons and look at that they are connected to. In the first carbon, you have (in CIP order) O, O, and C (NB with double bonds, the atom is counted twice), and in the second carbon you have H, H, and H. The first place in which these differ is in the first priority, where the first carbon has an O and the second a H. Since the O is higher priority than H, that carbon is given the higher priority. Thus you have this:

 

Untitled Document-5.png

 

Since the H is already orientated to the back, we can look at it as is and see that it is R. 

3 hours ago, studiot said:

As you have example 3 shown the sequence is N C H C , whichever way round round work.

But shouldn't the H be pointing backwards (the lowest priority), not sideways ?

This is just how they've given the question. The point would be that the student has to know to orientate the H properly to assign stereochemistry.

  • Author

Thank you very much for your reply. I really understood and is much clear now. Is nice to have people like you who keep forums like this going forward. 

Archived

This topic is now archived and is closed to further replies.

Important Information

We have placed cookies on your device to help make this website better. You can adjust your cookie settings, otherwise we'll assume you're okay to continue.

Account

Navigation

Search

Search

Configure browser push notifications

Chrome (Android)
  1. Tap the lock icon next to the address bar.
  2. Tap Permissions → Notifications.
  3. Adjust your preference.
Chrome (Desktop)
  1. Click the padlock icon in the address bar.
  2. Select Site settings.
  3. Find Notifications and adjust your preference.