Skip to content

attempting to isolate frequency of an EM-wave

Featured Replies

image.png.c051136f09c638d4a53e7cb773d86938.png

 

the theory above from physics stack exchane made me puzzle a little

 

One set of possible solutions to maxwell equations are

image.thumb.png.8eff7ba5cc136cdd2755aceaf6ccf385.png

 

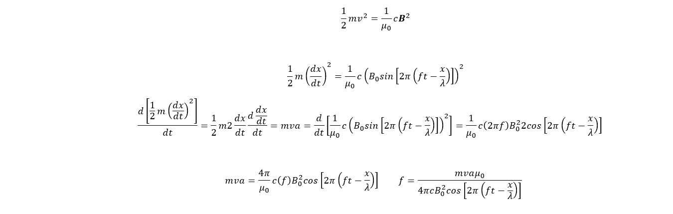
It is known that deacceleration of an electron creates EM-waves. If you have a constant acceleration of an electron from a B field and stops the electron then all kinetic energy should be given out as an EM-wave so that

image.thumb.png.e9e8332f82d1c080e0b7f4f2ce42c9b1.png

 

Anyone have anything to add of an experiment that could determine the frequency this way?

 

 

Edited by Tor Fredrik

1 hour ago, Tor Fredrik said:

image.png.c051136f09c638d4a53e7cb773d86938.png

 

the theory above from physics stack exchane made me puzzle a little

 

One set of possible solutions to maxwell equations are

image.thumb.png.8eff7ba5cc136cdd2755aceaf6ccf385.png

 

It is known that deacceleration of an electron creates EM-waves. If you have a constant acceleration of an electron from a B field and stops the electron then all kinetic energy should be given out as an EM-wave so that

image.thumb.png.e9e8332f82d1c080e0b7f4f2ce42c9b1.png

 

Anyone have anything to add of an experiment that could determine the frequency this way?

 

 

A B field won’t stop an electron, and would not represent a constant acceleration. 

Also, a photon in a cavity is a different problem from Bremsstrahlung.

 

  • Author
2 minutes ago, swansont said:

A B field won’t stop an electron, and would not represent a constant acceleration. 

 

well what if we just stopped an electron with kinetic energy and then equated this as the energy of the EM-wave released?

 

 

Edited by Tor Fredrik

3 minutes ago, Tor Fredrik said:

well what if we just stopped an electron with kinetic energy and then equated this as the energy of the EM-wave released?

If you converted all the energy, then KE = hbar*omega. It would represent the maximum frequency in case there were losses. But you have to have a situation where you only get one photon.

  • Author
Just now, swansont said:

If you converted all the energy, then KE = hbar*omega. It would represent the maximum frequency in case there were losses. But you have to have a situation where you only get one photon.

well I thought E=hf is only valid for photons?

4 minutes ago, Tor Fredrik said:

well I thought E=hf is only valid for photons?

What’s the problem? A 1 keV electron being stopped can give you a photon of maximum 1 keV. Its frequency would be given by hf

  • Author
3 minutes ago, swansont said:

Yes. What’s the problem? A 1 keV electron being stopped can give you a photon of maximum 1 keV. Its frequency would be given by hf

Well with my calculations there would be a formula for finding frequency f without using E=hf? But I needed clarifications since the solutions to maxwell dont directly tell me how to quantify its energy.

Edited by Tor Fredrik

31 minutes ago, Tor Fredrik said:

Well with my calculations there would be a formula for finding frequency f without using E=hf? But I needed clarifications since the solutions to maxwell dont directly tell me how to quantify its energy.

Maxwell doesn’t tell you how many photons you have.

But there have to be an integral number, so you can check to see it’s at least consistent.

  • Author
Just now, swansont said:

Maxwell doesn’t tell you how many photons you have.

But there have to be an integral number, so you can check to see it’s at least consistent.

Is there a way to calculate this?

Hi Tor Fredrik, Swansont and everyone,

I'm not sure of the classical energy formula you propose for the EM wave in the box. Electric and magnetic energy, but they are not present at the same time in a standing wave. If said box is a resonator, the constant contained energy oscillates between electric and magnetic form. Also, if the distribution is like sin(x)*sin(y)*sin(z), each dimension loses a factor of 2 in the mean versus peak energy density.

What kind of frequency do you want to measure? When I'm an electrical engineer, I can measure the resonant frequency of a cavity. Shall the photons' frequency differ from the cavity's resonance? Big cavity and small wavelength?

I don't see figures in your proposal. Technological electrons in vacuum tend to have >100eV energy (up to very much) and are produced by cathodes 0.05eV-0.2eV hot, which makes low energies inaccurate. But 100eV is already UV or X-rays, with 12nm wavelength. How small shall the box be?

EM standing waves are used to produce energetic photons by interacting with energetic electrons. Call it Bremsstrahlung if you wish, it's the same and it works. But did you check how hugely inefficient Bremsstrahlung is? In storage rings they have >1T but one or few photons produce an extremely faint induction. In the setups to make energetic photons, they concentrate very powerful laser light in a resonator with dichroic mirrors to have a huge light power density. Very far from few photons.

I may be way off, but I imagine Haroche-style experiments with GHz photons in a superconducting cavity. I know no other lossless box. 3GHz is only 12.4µeV.

  • Author

image.thumb.png.19cef3f966d47182d423906550a13d0c.pngimage.thumb.png.9423e4080e49d882c179703481caa0ab.pngimage.thumb.png.3e08d7895756b0912c318830fb4e75f3.png

image.thumb.png.82a38ec784fdca6ca12b8ce13f0e0123.png

image.png.9ec880c6dc5e141f2a17fb571371f094.png

In the theory aove they calculate the perturbation of an E-field. Since there is kinetic energy involved I thought perhaps that the energy also could be emitted as an EM-wave. The issue is that they dont adress the mass of the moving part of the infinte sheet. If that mass was known one could use kinetic energy as well. Then I have for equalities:

 

image.png.ab9fe689a4ddfbda44da673ea88defc8.png

Is it possible to isolate them for h without having f or B as a variable?

 

 

 

 

Edited by Tor Fredrik

12 minutes ago, Tor Fredrik said:

 

 

image.png.9ec880c6dc5e141f2a17fb571371f094.png

In the theory aove they calculate the perturbation of an E-field. Since there is kinetic energy involved I thought perhaps that the energy also could be emitted as an EM-wave.

It flat-out tells you it's carried off as an EM wave.

  • 2 weeks later...
  • Author

image.png.39ce6897eee986dc0cfd34547b76f236.png 

image.png.10e1a4656eeb7e4d120cdbc172b4e89f.png

When the coil has turned 90 degrees it reaches equilibrium and deaccelerates to 0 velocity. Lets assume hypotetically that all this energy is released as one photon. Now I will try to introduce radiation pressure:

image.png.691bf0b7d6180cb8b78d96132bb4f466.png

So we hypotetically want the electron that has been deaccelerated to 0 velocity (I will ignore the current direction) to obtain the same kinetic energy and velocity. We want it to absorb a photon to do so. If we look at one half cycle of an EM wave that would be half of the energy of one photon if all of the energy of the photon is contained in one cycle. The EM wave exert radiation pressure as described above. It is also said that E=pc where p is radiation pressure density and E is energy density.

Over a half cycle of an EM wave the avearge cycle can be obtained the following way:

image.png.1fea33b2f51320f47704eacaea7065e1.png

In order to calculate the amplitude of the EM wave I try the following:
First I calculate the kinetic energy from the 90 degrees turn of the circular coil

image.thumb.png.aed3c744301f7d691c741d2e5f1b283e.png

Then I try to find the amplitude of the EM wave and uses the theory for the radiation pressure above along with E=pc:

image.png.d572c41f4ef3b3d3f89dc81d5836a31f.png

Is this a wrong usage of the radiation pressure?

12 hours ago, Tor Fredrik said:

 

When the coil has turned 90 degrees it reaches equilibrium and deaccelerates to 0 velocity. 

Why would it do that? The torque drops to zero, but there would still be a angular speed 

Quote

image.png.691bf0b7d6180cb8b78d96132bb4f466.png

So we hypotetically want the electron that has been deaccelerated to 0 velocity (I will ignore the current direction) to obtain the same kinetic energy and velocity. We want it to absorb a photon to do so.

A photon cannot be absorbed by a free electron.

Quote

If we look at one half cycle of an EM wave that would be half of the energy of one photon if all of the energy of the photon is contained in one cycle. The EM wave exert radiation pressure as described above. It is also said that E=pc where p is radiation pressure density and E is energy density.

E is energy and p is momentum 

 

 

Archived

This topic is now archived and is closed to further replies.

Important Information

We have placed cookies on your device to help make this website better. You can adjust your cookie settings, otherwise we'll assume you're okay to continue.

Account

Navigation

Search

Search

Configure browser push notifications

Chrome (Android)
  1. Tap the lock icon next to the address bar.
  2. Tap Permissions → Notifications.
  3. Adjust your preference.
Chrome (Desktop)
  1. Click the padlock icon in the address bar.
  2. Select Site settings.
  3. Find Notifications and adjust your preference.