Skip to content

Forcing and damping

Featured Replies

I feel like a complete idiot. I’ve spent hours on this low mark question but I just don’t get it. I’ve got the 3 forces: W=-mg, H=-k(x-L0)i, R=-rx but I am clueless about C and D let alone how to tackle them. What are they even asking? I’d email my lecturer but he never replies.


post-103068-0-89789600-1392960682_thumb.png

What were parts A and B? They usually hang together so one leads on to the next.

 

What exactly do you not understand about C and D?

 

You have noted that despite the two axes shown in the sketch this is a one dimensional problem (ie x is not horizontal)?

 

Finally I take it that the spring and dashpot are vertically aligned through the centre of gravity of the mass, so there is no twisting of the mass.

  • Author

Thank you for the reply. A is find the spring force (i used hooke's law) and B is find the damper and any other forces acting. I only got 3 forces: the weight of the mass, the spring and the damper. When using Newton's second law I can some up with a differential equation similar to the one stated in D but I have a -mg and I don't know where the my^.. came from. I've looked at many examples and they always give a negative mg if the unit vector is pointing upwards. Y is a resultant force of an earthquake but I thought this this would be sinusoidal with a sin or cos function. The -mg and the inserted my are the two parts that completely baffle me. C is also mildly confusing. I get the displacement vector for the mass from the origin to be: d+y-x, I understand that differentiating this with respect to time twice would get the acceleration but what would this denote?.... is this where the my and negative mg come from?

Edited by physica

c) The position vector is the vertical value of the y coordinate of the mass.

 

The seismometer works by having a rigid frame. That is the dimension d does not alter during the motion.

 

So the position vector for the mass can be obtained by noting that the base of the frame is at y, the top at y+d and the mass a distance x down from the top.

 

Can you make an equation of this ?

 

d) The mass suffers two vibrations, the one due to the seismic excitation ( the y) and the one due to its own resonance The (x).

The result depends upon the relative constants of the dashpot and the spring, which control the resonant response and how close it is to the excitation frequency.

Does the force of gravity make any difference?

 

 

Y is a resultant force of an earthquake but I thought this this would be sinusoidal with a sin or cos function

Remember also (it was what you deduced in parts A & B) that the ground force Asin(wt) does not act directly on the mass. Are any of the forces acting on the mass actually sinusoidal?

Further is Y not a force but a distance ?

Edited by studiot

  • Author

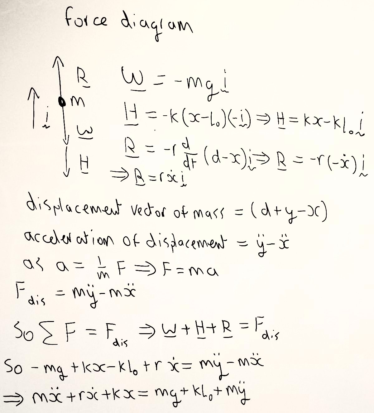
Ok I think I have it. I differentiated the displacement of the mass twice to get the acceleration and then added the mass in order to get the force. I then stated that the sum of all the forces equalled the forces acting on the displacement of the mass. I have attached the photo of my force diagram and equations.

 

I have attached the photo of my force diagram and equations.

 

 

???

 

:confused:

  • Author

slightly scared of the reply. Where have I gone wrong?... It does get the differential equation stated in the question.

Edited by physica

Well perhaps it's just me but I can't see an attachement in your post.

Thank you for the solution paper.

 

My only comment is that i is the unit vector so in deriving H you should have brackets round the kx-kl0 thus H = (kx-kl0)i

 

Otherwise you seem to have solved it.

 

Well done. Would you like me to post your solution until you?

  • Author

yes please thank you again for your help, you manage to make learning physics fun, I get a great sense of achievement when I manage to work it out myself, some lecturers are great but the one for this module never replies to emails, does a brief power point in class and then dishes out printed sheets. I don't know what he's gone through but he barely has any life in him. I wonder what students did without the internet when they had similar lecturers. I hope he finds happiness, he must have had some passion for the subject if he managed a phd in physics in the first place.

Physica's solution.

 

I have cleaned up the background a bit.

 

post-74263-0-41086200-1393280215_thumb.jpg

 

 

Archived

This topic is now archived and is closed to further replies.

Important Information

We have placed cookies on your device to help make this website better. You can adjust your cookie settings, otherwise we'll assume you're okay to continue.

Account

Navigation

Search

Search

Configure browser push notifications

Chrome (Android)
  1. Tap the lock icon next to the address bar.
  2. Tap Permissions → Notifications.
  3. Adjust your preference.
Chrome (Desktop)
  1. Click the padlock icon in the address bar.
  2. Select Site settings.
  3. Find Notifications and adjust your preference.