Jump to content

Can someone check my answer/solution :)

Featured Replies

post-91416-0-14095200-1383862700_thumb.png

 

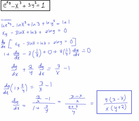
i'm not sure if i'm right,

i know there's another method in solving this but i'm not sure how to do that

 

i'm not sure if i'm right,

 

Sorry you are off beam here.

 

for f(x) = A(x)+B(x)+C(x)

 

take logs

 

ln(A(x)+B(x)+C(x)) is not ln A + lnB + lnC.

 

lnA + lbB +lnC is the log of (A times B times C)

 

So have another go.

  • Author

oh yeah, i'm totally out of the track,

i need to do it again :/

thanks


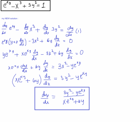
post-91416-0-05144800-1383868618_thumb.png

am i right now?

 

Edited by gwiyomi17

I would be more explicit and make it clear where you are using substitution and the chain rule etc. Lumping together stages might sometimes save time but can also mean that the calculation cannot be followed (either by an examiner or by yourself later on) - you have a use of the chain rule, the product rule and a simple derivative taken all as one unexplained stage. The answer and method is as I would do it - but in the end I would include more lines of working

Looks much better

 

A small point

 

For differentiation with respect to x (d.w.r.t.x) we write

[math]\frac{d}{{dx}}(something)[/math]

not

[math]\frac{{dy}}{{dx}}(something)[/math]

 

So your first line should be

[math]\frac{d}{{dx}}({e^{xy}}) - \frac{d}{{dx}}({x^3}) + \frac{d}{{dx}}(3{y^2}) = \frac{d}{{dx}}(1)[/math]

Looks much better

 

A small point

 

For differentiation with respect to x (d.w.r.t.x) we write

[math]\frac{d}{{dx}}(something)[/math]

 

not

[math]\frac{{dy}}{{dx}}(something)[/math]

 

So your first line should be

[math]\frac{d}{{dx}}({e^{xy}}) - \frac{d}{{dx}}({x^3}) + \frac{d}{{dx}}(3{y^2}) = \frac{d}{{dx}}(1)[/math]

 

 

 

Agree entirely - more than ever in this case as you are not simply differentiating a y = some polynomial function of x; but are working to get dy/dx as an answer which arises from the two instances of d/dx of y

Archived

This topic is now archived and is closed to further replies.

Important Information

We have placed cookies on your device to help make this website better. You can adjust your cookie settings, otherwise we'll assume you're okay to continue.

Configure browser push notifications

Chrome (Android)
  1. Tap the lock icon next to the address bar.
  2. Tap Permissions → Notifications.
  3. Adjust your preference.
Chrome (Desktop)
  1. Click the padlock icon in the address bar.
  2. Select Site settings.
  3. Find Notifications and adjust your preference.