Skip to content

Keep the good bit of quantum mechanics

Featured Replies

Eugene, you still aren't answering my question. I'm asking you how the analyzer crystal detects the coherence length. I have the idea that it's probably coupling coherence length to momentum, but you are the one who is presenting the experiment and therefore should be able to explain it. I'm not saying that it's affecting the coherence length. I'm not claiming anything about the experiment. I'm asking you, and you're not answering.

=Uncool-

3 - two phenomena, where the waves are always there and propagate in one direction, and optionally a particle travels backwards along that wave.

 

TEW is presenting a new physical description that has not been considered before. The idea of the wave and particle being separate physical entities in the same frame of reference is something that Neils Bohr, Werner Heisenberg and even Einstein did not consider. It is a different answer to the usual qm picture, and hence will take some getting used to.

the interpretation is phylosophically interesting. but dont you think that it necessitates a mathmatical proof to give it a physics sence?

  • Author

Studiot,

 

I think a simple wave can be described as a sinusoidal oscillation with a fixed frequency and wavelength. Waves can change their frequency and wavelength, but the basic idea of a wave has that basic oscillation.

 

Dr. Little wrote this in the 1996 paper on the Theory of Elementary Waves (TEW):

 

Perhaps the elementary "waves" might better be termed "periodic fluxes". Rather than being waves, which might imply a medium, they are fluxes with a wavelike pattern.

 

I say this to underline there is no medium.

 

This is relevant because you then asked how "field" applies to this. The answer is that field is not relevant to the description of elementary waves, as shown in this passage from Dr. Little in Section 15 of the 1996 paper. He is talking about TEW (all bracket comments added by me):


One simply has waves, as primary constituents of reality in their own right, along with particles. Because the waves simply exist and propogate as a flux, field equations are superfluous. They are of no value in expressing the fundamental theory (TEW).

 

Indeed, the theory (TEW) becomes so simple that one can state it without even writing down a differential equation!

 

It is because of the primary nature of the waves, rather than of field equations, that it was necessary in Sections 8 and 9 to establish the mathematical equivalence of the elementary waves theory to current quantum mechanics at the level of Feynman diagrams rather than at the level of field equations.

 

Perhaps it is confusing that I call them "waves" and than state that there are no field equations. But, as described above, they are waves only in the sense that they combine with one another in a wavelike manner when stimulating the emission of particles. There is a periodicity along the "wave". But these are not waves in a medium, and the signal is not carried by wave fronts.

 

The notion that any periodic "thing" must propagate as the result of a field equation is a carryover from, classical physics. One can deduce wave equations for classical waves from the physics of the medium through which the wave propagates. The notion was then applied to quantum waves, even though no medium is involved. But this is erroneous. It is only if the physics of the waves comes from that of the medium that it makes sense to describe the waves primarily in terms of a field equation. The field equation, after all, primarily describes the medium: the waves are the consquence. If the waves are the primary things, without there being any medium, then one simply describes the waves. The field equation becomes physically superfluous.

 

Three paragraphs later, he writes:

 

So it is not the elementary waves theory that should not be criticized for the fact that is has no field equations. Rather, current theory (quantum mechanics) should be cricized for the fact that it does have such equations, but without the appropriate physical foundation.

 

As for velocity and interference, I will get to that in another post.

 

 

Uncool,

 

The detectors assign a frequency to a neutron that is detected.

 

Those frequency values are turned into coherence lengths by quantum mechanics (qm). As I don't believe in qm, I will not be drawn into how qm does the calculation. All I will say is that I believe qm uses results from Fourier Analysis and Full Width at Half Maximum (FWHM) as a basis for the calculation.

 

The experimenters, who are qm experts, give their calculations of coherence length in Table VIII on page 41 of their paper, as I posted earlier. For qm, the coherence length is determined in the Neutron Interferometer, and they have shown that the analyzer crystal changes that coherence length, apparently backwards in time.

 

I am simply making everyone aware of qm is claiming in Table VIII. It is their problem to explain their own calculations.

 

 

univeral theory,

 

You wrote:

 

the interpretation is phylosophically interesting. but dont you think that it necessitates a mathmatical proof to give it a physics sence?

 

You can see in my reply to Studiot how Dr. Little claims that field equations are not necessary, nor are differential equations.

 

The whole argument in favor of TEW is that TEW claims to explain reality better than qm - because TEW is local and deterministic, and TEW doesn't have the multiple interpretations that qm does. That's quite enough for me. I know that's not impressed anyone in this current debate. I'm not impressed by qm quoting lots of maths, so the two sides are arguing in very different ways.

 

I think it comes down to a choice - what sort of answer makes sense? For some, it's all the maths of qm that is convincing. For others, it is the explanations of TEW that are convincing. It's good to have a choice.

 

Eugene Morrow

 

Uncool,

 

The detectors assign a frequency to a neutron that is detected.

How? What frequency?

Those frequency values are turned into coherence lengths by quantum mechanics (qm). As I don't believe in qm, I will not be drawn into how qm does the calculation.

Then you don't know what the experiment is actually presenting.

All I will say is that I believe qm uses results from Fourier Analysis and Full Width at Half Maximum (FWHM) as a basis for the calculation.

Do you have anything to back that up?

The experimenters, who are qm experts, give their calculations of coherence length in Table VIII on page 41 of their paper, as I posted earlier. For qm, the coherence length is determined in the Neutron Interferometer, and they have shown that the analyzer crystal changes that coherence length, apparently backwards in time.

Again, I do not accept your interpretation, and would appreciate it if you would hold it back and instead actually answer my questions. I'm asking you to explain the experiment you claim as by far the strongest basis of your ideas, not to continue repeating your claims without basis. You seem to be unable to do so.

I am simply making everyone aware of qm is claiming in Table VIII. It is their problem to explain their own calculations.

It is your problem to explain how such a calculation is a problem for quantum mechanics; that includes understanding what the calculations say.

=Uncool-

I think it comes down to a choice - what sort of answer makes sense? For some, it's all the maths of qm that is convincing. For others, it is the explanations of TEW that are convincing. It's good to have a choice.

 

 

It is too unfortunate that TEW is a physical hypothesis which necessitates that it must also pass the tests of mathematics to have its true physics sense.

 

It has never been a bad idea for physics to have even a thousand choices of interpreting the same physical phenomena so long as they can all demonstrate themselves logical - by logical i mean “consistence between predictability and testability”. With testability; our concerns focus mainly on the possibility of the claimed phenomena to have physical existence. by predictability, we focus on the consistence between the interpretational and calculation framework of predicting a claimed phenomena.

 

I personally do believe that the problem of physics has never been in the observation of the phenomena; but in the interpretations and calculations of what we observe. When you have a relevant interpretation of a given observation, you can formulate relevant calculations which are quite consistent to the interpretation. Else; if you have a relevant calculation of a given observation, you can formulate a relevant interpretations that are relevant to it. It does not matter what level of complexity or sophistication which the calculations and interpretations of the observed phenomena can be conceptualized – so as long as they are consistent to each other. That is why you here claims like “focus on calculations” when any challenge against the interpretation of QM is raised.Reason being; that the interpretations and calculations are quite consistent to each other when predicting the observed phenomena of the quantum world which is still failing with TEW. And then you claim to be scientifically safe with TEW when “keeping the good bit of quantum mechanics!

Edited by univeral theory

Oh dear, Oh dear, Oh dear.

 

I thought we were making progress and has agreed to start at the beginning with basics.

 

You have made a great fuss about not using mathematics so imagine my suprise when asked to tell me what a wave is you respond with mathematics. Is a sine curve not mathematics?

 

How about

 

A wave is a form of motion. It transports energy from one place to another.

 

Now that presupposes we know what space, time (to have motion) and energy are. Can we take these given?

Ther may be other properties of waves you feel are important to your analysis, the subject is open to discussion.

 

Uncool post # and many others

 

actually answer my questions

 

I too have experiencing this difficulty and, really, all that typing on your part is wasted.

 

In my case I would like you to say what you think a Field is, not repeatedly tell me there are no field equations.

 

We can examine that second statement when we have the first.

 

In my opinion, fields in physics (which is what I think we are discussing) refer to place so such a notion is not only useful for discussing my offering for waves but also for fields. However over to you.

  • Author

Uncool,

You asked about the neutron detector in the Kaiser et al 1992 experiment. How does it assign a frequency?

Helmut Rauch and Sam Werner (two of the experimenters) wrote a book "Neutron Interferometry". Page 34 says that they use "He3 gas proportional detectors". They give the reaction when a neutron is detected as: n + He3 ---> H1 + H3. Hence a neutron and a helium atom become a hydrogen and a tritium atom.

This reaction produces a photon of energy and that tells us the kinetic energy of the neutron (and the momentum). Thanks to de Broglie a frequency can be calculated. Hence the detector assigns a frequency to the neutron.

I had written:

Those frequency values are turned into coherence lengths by quantum mechanics (qm). As I don't believe in qm, I will not be drawn into how qm does the calculation.


You replied:

Then you don't know what the experiment is actually presenting.


The experiment presents figures for neutron coherence length, and qm cannot explain why analyzer crystal affects them. I know what the experiment is about.

I had written:

All I will say is that I believe qm uses results from Fourier Analysis and Full Width at Half Maximum (FWHM) as a basis for the calculation.


You wrote:

Do you have anything to back that up?


In general, the qm description of "wave packets" uses Fourier Analysis to describe a group of waves of slightly different frequency all adding together to form the packet. That is qm's description, and I leave it to them.

The letters FWHM appear in the Kaiser et al 1992 paper when they discuss the calculations for the coherence length, and it makes sense to be talking about a range of frequencies for the neutrons. I think it is clear that Full Width at Half Maximum is being used.

I had written:

The experimenters, who are qm experts, give their calculations of coherence length in Table VIII on page 41 of their paper, as I posted earlier. For qm, the coherence length is determined in the Neutron Interferometer, and they have shown that the analyzer crystal changes that coherence length, apparently backwards in time.


You replied:

Again, I do not accept your interpretation, and would appreciate it if you would hold it back and instead actually answer my questions. I'm asking you to explain the experiment you claim as by far the strongest basis of your ideas, not to continue repeating your claims without basis. You seem to be unable to do so.


I have explained the experiment clearly from the qm point of view and the TEW point of view. It is qm that has not explained the central effect of the experiment.

I had written:

I am simply making everyone aware of qm is claiming in Table VIII. It is their problem to explain their own calculations.


You wrote:

It is your problem to explain how such a calculation is a problem for quantum mechanics; that includes understanding what the calculations say.


The problem for qm is explaining how the neutrons in the NI know which analyzer crystal is ahead of them. How can they know and why does it affect what the neutrons do in the NI? The calculations show the analyzer crytal has a huge effect on the coherence length.

The problem belongs entirely to qm. It is qm that believes in wave packets that have a coherence length, so qm has to explain the values calculated.

For TEW, the calculations are not of coherence length but of a spread of frequencies passing through the NI. It makes complete sense that the spread changes - the waves pass through the analyzer crystal first and then reach the NI. For TEW, it is obvious why the analyzer crystal affects the NI frequencies.


univeral theory

You wrote:


It is too unfortunate that TEW is a physical hypothesis which necessitates that it must also pass the tests of mathematics to have its true physics sense.


The 1996 paper on TEW gives the mathematical equivalence to qm, as does the book on TEW. Since qm is accepted on its maths, then TEW should be accepted on the same basis.

You wrote:

It has never been a bad idea for physics to have even a thousand choices of interpreting the same physical phenomena so long as they can all demonstrate themselves logical - by logical i mean “consistence between predictability and testability”.


Well said. I am looking forward to the experiments that distinguish between qm and TEW. It seems very unlikely we will prove anything one way or the other here until we have some experimental results that show which theory is supported. I can't wait for the results.

You wrote:

I personally do believe that the problem of physics has never been in the observation of the phenomena; but in the interpretations and calculations of what we observe.


Again well said. The whole qm-TEW choice is about this. As you can see with me and Uncool, we are looking at the neutron interference experiment, and coming to quite different interpretations about what the experiment is showing. For me, the experiment clearly shows the quantum waves travel from the analyzer crystal to the NI, whereas Uncool sees no such conclusion, and is questioning whether I understand the experiment. That's physics - we can see reality, but what does it mean?

You then wrote this:

It does not matter what level of complexity or sophistication which the calculations and interpretations of the observed phenomena can be conceptualized – so as long as they are consistent to each other. That is why you here claims like “focus on calculations” when any challenge against the interpretation of QM is raised.Reason being; that the interpretations and calculations are quite consistent to each other when predicting the observed phenomena of the quantum world which is still failing with TEW. And then you claim to be scientifically safe with TEW when “keeping the good bit of quantum mechanics!


I think you are saying that qm makes accurate predictions, which means the theory must be accurately described, so the multiple interpretations are not a problem. You are also saying that somehow TEW is failing to make accurate predictions.

Firstly, if only maths is an accurate way to describe a theory, why does qm have so many interpretations? The multiple interpretations are proof that the maths of qm is not really precisely describing what is going on. That is why qm focuses on calculations, because the maths gives the "answer" very accurately. However, the maths does not definitively say how or why we get that answer.

For TEW, there is only one interpretation, because the physical description is much more precise. The same "answer" now has a single physcial interpretaton. To me, a huge improvement on qm.

You mentioned the phrase "still failing with TEW". Are you saying TEW does not successfully predict the same experiments that qm does? TEW makes the same predictions (apart from the few that we are awaiting to be done). For example, TEW makes exactly the same predictions in the double slit experiment. Many qm supporters assume that means TEW is just another interpertation of qm (which TEW denies).

Why did I say "keep the good bit of quantum mechanics"? Because TEW keeps the same accurate predictions of probability (which is the good bit of qm). TEW has none of the multiple interpretations of qm (which are the tricky bit of qm).


Studiot,

I did use the word "sinusoidal". I was referring to the shape. I will think about a new word or phrase for that.

The next thing you wrote is worth a lot of discussion:

 


A wave is a form of motion. It transports energy from one place to another.

Now that presupposes we know what space, time (to have motion) and energy are. Can we take these given?

Ther may be other properties of waves you feel are important to your analysis, the subject is open to discussion.


I only agree that a wave is a form of motion.

Dr. Little has made it clear that our normal concept of energy does not apply to the propagation of elementary waves. The waves are there, but they are not created or destroyed and are not powered by some source. They are this infrastructure to the universe and are not, by themselves, moving anything around.

A particle can follow an elementary wave, of course. We think of the particle as having energy, and sometimes mass. However, the elementary waves by themselves are not doing anything other than propagating themselves. If you are really cynical, you could say that TEW does not really know what the elementary waves are - only that they are there. That's a fair enough view.

That puts our attempted discussion on this in a difficult situation. I'm not sure how we can proceed with this.

On fields, you wrote:

In my opinion, fields in physics (which is what I think we are discussing) refer to place so such a notion is not only useful for discussing my offering for waves but also for fields. However over to you.


I am happy to go with these Wikipedia sentences on a field in physics:

A field is a physical quantity that has a value for each point in space and time. A field can be classified as a scalar field, a vector field, a spinor field, or a tensor field according to whether the value of the field at each point is a scalar, a vector, a spinor (e.g., a Dirac electron) or, more generally, a tensor, respectively.


Where shall we go with this?

Eugene Morrow

Uncool,

 

You asked about the neutron detector in the Kaiser et al 1992 experiment. How does it assign a frequency?

 

Helmut Rauch and Sam Werner (two of the experimenters) wrote a book "Neutron Interferometry". Page 34 says that they use "He3 gas proportional detectors". They give the reaction when a neutron is detected as: n + He3 ---> H1 + H3. Hence a neutron and a helium atom become a hydrogen and a tritium atom.

 

This reaction produces a photon of energy and that tells us the kinetic energy of the neutron (and the momentum). Thanks to de Broglie a frequency can be calculated. Hence the detector assigns a frequency to the neutron.

OK, so the frequency is the one which corresponds (under E = hv) to the kinetic energy of the neutron?

 

In other words, the analyzer crystal is supposed to separate the neutrons based on their kinetic energy?

I had written:

 

 

You replied:

 

 

The experiment presents figures for neutron coherence length, and qm cannot explain why analyzer crystal affects them. I know what the experiment is about.

That's not what it's about. That's your take on it.

 

I had written:

 

 

You wrote:

 

 

In general, the qm description of "wave packets" uses Fourier Analysis to describe a group of waves of slightly different frequency all adding together to form the packet. That is qm's description, and I leave it to them.

 

The letters FWHM appear in the Kaiser et al 1992 paper when they discuss the calculations for the coherence length, and it makes sense to be talking about a range of frequencies for the neutrons. I think it is clear that Full Width at Half Maximum is being used.

Do you have the full quote?

I had written:

 

 

You replied:

 

 

I have explained the experiment clearly from the qm point of view and the TEW point of view.

No, you haven't, since you haven't been able to say what nearly any of the pieces do.

It is qm that has not explained the central effect of the experiment.

You haven't explained almost any part of the experiment.

I had written:

 

 

You wrote:

 

 

The problem for qm is explaining how the neutrons in the NI know which analyzer crystal is ahead of them.

I'm not even sure that it necessarily does.

How can they know and why does it affect what the neutrons do in the NI? The calculations show the analyzer crytal has a huge effect on the coherence length.

And part of why I'm asking you all these questions is to determine whether that's even a problem in the first place.

 

The problem belongs entirely to qm. It is qm that believes in wave packets that have a coherence length, so qm has to explain the values calculated.

 

For TEW, the calculations are not of coherence length but of a spread of frequencies passing through the NI. It makes complete sense that the spread changes - the waves pass through the analyzer crystal first and then reach the NI. For TEW, it is obvious why the analyzer crystal affects the NI frequencies.

As it happens, I have found the abstract for the 1992 paper; it includes the following quote: "By use of an analyzer crystal, we narrow the spectral distribution after the mixing and interference has occurred in the last crystal slab of the NI. This increases the coherence length and restores some of the fringe visibility." In other words, your claim that the analyzer crystal is irrelevant to the coherence length seems to contradict what they are saying. In other, other words, this effect is precisely what qm expects, and in fact is the exact reason why the analyzer crystal was placed there.

=Uncool-

In 133 posts, has Morrow actually answered ANY questions?

!

Moderator Note

 

Eugene Morrow

 

I am going to have to insist on a little more formalism in your responses. You are still being asked direct questions by knowledgeable members and still, in my estimation, answering them with flim-flam at best or evading them entirely at worst. This is a good debate - but the level of responses must attempt to match that of the counter arguments.

 

  • Author

Imatfaal,

 

What is your example of flim-flam? The Theory of Elementary Waves (TEW) is a very different description of the quantum world than quantum mechanics (qm) - perhaps the different description seems flim-flam to you?

 

You are also implying my responses are not at the level of the questioners. I am doing a lot of quoting of the developer of TEW - Dr. Lewis Little, and the experimenters in the Kaiser et al 1992 neutron interference experiment - the highest authorities to quote.

 

I need you to be more specific on what is the problem with the case I am making for TEW.

 

 

ACG52,

 

Are you sure you simply don't like the answers I'm giving? If you expect TEW to be merely an intepretation of qm, then you will be disappointed.

 

 

Uncool,

 

We are discussing Kaiser et al 1992 neutron interference. As a reminder, here is the experimental layout:

 

post-69620-0-75525500-1371150338_thumb.jpg

 

I discussed how the detectors measure a frequency for the neutrons. The analyzer crystal selects a subset of frequencies from the neutron beam, just like a prism selects a subset of frequencies from a light beam.

 

You wrote:

 

OK, so the frequency is the one which corresponds (under E = hv) to the kinetic energy of the neutron?

 

In other words, the analyzer crystal is supposed to separate the neutrons based on their kinetic energy?

 

That's one way of looking at the function of the analyzer crystal.

 

You challenged my knowledge of this experiment. I wrote:

 

The experiment presents figures for neutron coherence length, and qm cannot explain why analyzer crystal affects them. I know what the experiment is about.

 

You wrote:

 

That's not what it's about. That's your take on it.

 

Let's look at what the experimenters say.

 

As a reminder, Table VIII on page 41 shows how the analyzer crystal determines the coherence length of the neutrons in the Neutron Interferometer:


------------------------------------------------------------------------------
TABLE VIII. Calculated longitudinal coherence lengths delta x of the neutrons in the different analyzer configurations.

Beam...................................Delta X (Angstrom units)

Direct C3 (and C2)_______________86.2

PR analyzer, (111) parallel_________ 97.5

PR analyzer, (111) antiparallel______148

NP analyzer, (111) antiparallel_____3450
------------------------------------------------------------------------------

 

Notice how much the coherence length changes - between the PR analyzer in the 111 parallel position and the NP analyzer in the 111 antiparallel position. A change of over 34 times.


The experimenters admit that for qm the coherence length is determined in the NI, and the analyzer crystal affects that even though the neutrons in the NI have not reached the analyzer crystal yet. On page 41, they write (italics in the original):

 

The thing to keep in mind is that we determine the coherence length after the interference has taken place, far downstream from the interferometer.

 

This is an admission that something must be happening backwards in time.

 

They finish the paper discussing this issue, which is clearly what sets this experiment apart. The paper ends:

If the wave packets “were” the neutron particle, we could not vary their physical extent, at will, after the fact, as we have apparently done in this experiment.


The conclusion to be drawn is a familiar one in quantum mechanics: matter waves are not particles, and we have no right to think of them as such, even in a semi-classical way. The neutron wave-packet formalism is merely the mathematical description of Wheeler’s quantum-mechanical “great smoky dragon” . We know the neutron is a particle when emitted, and again when it is detected, but between these two times, the physical connection between the neutron particle and the wave packet remains hidden, no matter how diligently we try to analyze the quantum questions with our classical tools.

 

You may like this explanation. For me, it is an admission they do not know what is causing the analyzer crystal to affect the coherence length of the neutrons.

 

In summary, qm has calculated what they believe is the coherence length of the neutron "wave packets", and they cannot give a clear reason why the analyzer crystal affects it, apparently backwards in time.

 

I throw the question back to you - what do you think the experiment is about? I recommend you download the experiment and read it to form your own opinion.

 

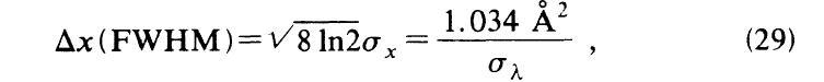
I mentioned how FWHM was used in the paper.

 

You wrote:

 

Do you have the full quote?

 

On Page 41, they write:

 

By reducing the wavelength spread, we increase the longitudinal coherence length of the packet, according to the uncertainty principle:

post-69620-0-33300900-1371151985_thumb.jpg

for lamda= 2.35 Angstroms. The calculated coherence lengths are given in Table VIII.

 

I wrote:

 

I have explained the experiment clearly from the qm point of view and the TEW point of view.

 

You wrote:

 

No, you haven't, since you haven't been able to say what nearly any of the pieces do.

 

I shown how the placing of the analyzer crystal after the coherence length in the NI, so the neutrons in the NI somehow must know what analyzer crystal is ahead of them.

 

For TEW, the explanation is easy. Elementary waves start at the detector and go in the opposite direction to the neutrons. The analyzer crystal affects those elementary waves if present. The elementary waves interfere in the NI, and some of them reach the reactor. The reactor sends back neutrons based on the incoming elementary waves, and those neutrons make their way to where the elementary waves started at the detector.

 

So there are elementary waves going from the analzyer crystal to the NI - that's how the analyzer crystal affects what is happening in the NI.

 

For TEW, qm is not measuring a coherence length of wave packets. Instead, TEW interprets the calculation as a spread of frequencies of elementary waves in the NI. Of course the analyzer crystal affects this - the elementary waves pass through the analyzer crystal first.

 

You wrote:

 

You haven't explained almost any part of the experiment.

 

It is for qm to explain how the analyzer crystal affects the coherence length backwards in time. The experimenters (who are experts in qm) cannot do it, and it is very clear that you cannot explain this either.

 

I had already pointed this out, when I wrote:

 

The problem for qm is explaining how the neutrons in the NI know which analyzer crystal is ahead of them.

 

You wrote:

 

I'm not even sure that it necessarily does.

 

Then shortly after you wrote:

 

And part of why I'm asking you all these questions is to determine whether that's even a problem in the first place.

 

You are not sure there is anything to explain? You can't see a problem?

 

Think about it: the neutrons reach the Neutron Interferometer. Somehow they know that there will or will not be an analyzer crystal later on, and they behave diffferently. What if the analyzer crystal was placed slightly out of position, so the neutrons will never reach it? How will they know if the analyzer crystal is in the right position to affect them or not?

 

This is a huge gap in the explanation given by qm in this experiment. Some of the world's leading experts on neutron interferometry cannot use qm to explain the hard numbers in Table VIII. This is an experiment that qm cannot explain. If you believe something happened backwards in time, how does that work? There is no mechanism given for cause and effect here.

 

You found an abstract for the paper, and you wrote:

 

As it happens, I have found the abstract for the 1992 paper; it includes the following quote:

 

"By use of an analyzer crystal, we narrow the spectral distribution after the mixing and interference has occurred in the last crystal slab of the NI. This increases the coherence length and restores some of the fringe visibility."

 

In other words, your claim that the analyzer crystal is irrelevant to the coherence length seems to contradict what they are saying. In other, other words, this effect is precisely what qm expects, and in fact is the exact reason why the analyzer crystal was placed there.

 

Let's look at the two sentences you quoted:

 

By use of an analyzer crystal, we narrow the spectral distribution after the mixing and interference has occurred in the last crystal slab of the NI. This increases the coherence length and restores some of the fringe visibility.

 

Notice how they say "after the mixing and interference has occurred in the last crystal slab of the NI" and then "this increases the coherence length". This is the whole problem - the coherence length in the NI is changed after the neutrons leave the NI.

 

You are claiming this is what qm expects? They have described the results, but how can you argue that qm expects them?

 

The reason the analyzer crystal was put in was to study the interference patterns in a narrower wavelength spectrum of the beam of neutrons. The experimenters call the interference pattern the "contrast' coming out of the NI. On page 34, the experimenters write:

 

The analyzer crystal thus restores the contrast by reducing the wavelength spectrum of the beam after the interference has taken place.

 

They are saying that the wider spectrum of neutrons may show no interference, but when you look at a narrow spectrum there is an interference pattern there. That is what they were investigating.

 

What they did not expect was the change in coherence length caused by the analyzer crystal. It remains a big challenge for qm to explain.

 

Eugene Morrow

I only agree that a wave is a form of motion.

 

That puts our attempted discussion on this in a difficult situation. I'm not sure how we can proceed with this.

 

 

I really don't see why the position is difficult, this is good lively discussion.

 

I do not know of any (travelling) wave that does not transport energy. You are offering the proposition that your TEW achieves this so we will go with that proposition and see where it leads.

 

Since it does not transport energy, how does it interact with matter? Other waves interact by energy transfer.

 

We started an unfinished discussion earlier about starting and stopping these waves. I meant both in space and time. So what happens?

 

I think I have made my point that there are many things you can discuss about these waves, without getting mathematical if you do not wish to.

 

 

On fields, ....................................................I am happy to go with these Wikipedia sentences on a field in physics:

 

 

 

A field is a physical quantity that has a value for each point in space and time. A field can be classified as a scalar field, a vector field, a spinor field, or a tensor field according to whether the value of the field at each point is a scalar, a vector, a spinor (e.g., a Dirac electron) or, more generally, a tensor, respectively.

 

Where shall we go with this?

 

 

Well It pretty much confirms my comment that a field refers to place, although would you not agree that your 'non mathematics' is getting heavier and heavier, I mean tensors, spinors and whatnot.

Edited by studiot

Uncool,

 

We are discussing Kaiser et al 1992 neutron interference. As a reminder, here is the experimental layout:

 

attachicon.gifKaiser Diag 1996 02.jpg

 

I discussed how the detectors measure a frequency for the neutrons. The analyzer crystal selects a subset of frequencies from the neutron beam, just like a prism selects a subset of frequencies from a light beam.

 

You wrote:

 

 

That's one way of looking at the function of the analyzer crystal.

 

You challenged my knowledge of this experiment. I wrote:

 

 

You wrote:

 

 

Let's look at what the experimenters say.

 

As a reminder, Table VIII on page 41 shows how the analyzer crystal determines the coherence length of the neutrons in the Neutron Interferometer:

 

------------------------------------------------------------------------------

TABLE VIII. Calculated longitudinal coherence lengths delta x of the neutrons in the different analyzer configurations.

 

Beam...................................Delta X (Angstrom units)

 

Direct C3 (and C2)_______________86.2

 

PR analyzer, (111) parallel_________ 97.5

 

PR analyzer, (111) antiparallel______148

 

NP analyzer, (111) antiparallel_____3450

------------------------------------------------------------------------------

 

Notice how much the coherence length changes - between the PR analyzer in the 111 parallel position and the NP analyzer in the 111 antiparallel position. A change of over 34 times.

 

The experimenters admit that for qm the coherence length is determined in the NI,

Where?

 

Based on the abstract, I'm doubting this assertion, unless you can back it up.

and the analyzer crystal affects that even though the neutrons in the NI have not reached the analyzer crystal yet. On page 41, they write (italics in the original):

 

 

This is an admission that something must be happening backwards in time.

Certainly not if your assertion is wrong, which I'm now doubting.

They finish the paper discussing this issue, which is clearly what sets this experiment apart. The paper ends:

 

 

You may like this explanation. For me, it is an admission they do not know what is causing the analyzer crystal to affect the coherence length of the neutrons.

Or, alternatively, they are saying that the change in the coherence length means that they can't think of it as a particle; that does not say that it is determined in the NI.

In summary, qm has calculated what they believe is the coherence length of the neutron "wave packets", and they cannot give a clear reason why the analyzer crystal affects it, apparently backwards in time.

Only once you add in your apparent assumption that the coherence length is determined in the NI.

I throw the question back to you - what do you think the experiment is about? I recommend you download the experiment and read it to form your own opinion.

I don't know. You are the one who presented the experiment in the first place.

I mentioned how FWHM was used in the paper.

 

You wrote:

 

 

On Page 41, they write:

 

attachicon.gifFormula 29.jpg

 

I wrote:

 

 

You wrote:

 

 

I shown how the placing of the analyzer crystal after the coherence length in the NI, so the neutrons in the NI somehow must know what analyzer crystal is ahead of them.

Or the coherence length isn't "determined" in the NI. In other words, part of the function of the analyzer crystal is to change the coherence length.

For TEW, the explanation is easy. Elementary waves start at the detector and go in the opposite direction to the neutrons. The analyzer crystal affects those elementary waves if present. The elementary waves interfere in the NI, and some of them reach the reactor. The reactor sends back neutrons based on the incoming elementary waves, and those neutrons make their way to where the elementary waves started at the detector.

 

So there are elementary waves going from the analzyer crystal to the NI - that's how the analyzer crystal affects what is happening in the NI.

 

For TEW, qm is not measuring a coherence length of wave packets. Instead, TEW interprets the calculation as a spread of frequencies of elementary waves in the NI. Of course the analyzer crystal affects this - the elementary waves pass through the analyzer crystal first.

 

You wrote:

 

 

It is for qm to explain how the analyzer crystal affects the coherence length backwards in time. The experimenters (who are experts in qm) cannot do it, and it is very clear that you cannot explain this either.

 

I had already pointed this out, when I wrote:

 

 

You wrote:

 

 

Then shortly after you wrote:

 

 

You are not sure there is anything to explain? You can't see a problem?

 

Think about it: the neutrons reach the Neutron Interferometer. Somehow they know that there will or will not be an analyzer crystal later on, and they behave diffferently. What if the analyzer crystal was placed slightly out of position, so the neutrons will never reach it? How will they know if the analyzer crystal is in the right position to affect them or not?

What if they don't have to, because the change in the coherence length is caused directly by the analyzer crystal? In other words, what the analyzer crystal may do is it changes the wave directly, rather than "reaching into" the NI to change it. No need for "elementary waves", nothing.

This is a huge gap in the explanation given by qm in this experiment. Some of the world's leading experts on neutron interferometry cannot use qm to explain the hard numbers in Table VIII.

Source, please. Which "leading experts on neutron interferometry"?

This is an experiment that qm cannot explain. If you believe something happened backwards in time, how does that work? There is no mechanism given for cause and effect here.

 

You found an abstract for the paper, and you wrote:

 

 

Let's look at the two sentences you quoted:

 

 

Notice how they say "after the mixing and interference has occurred in the last crystal slab of the NI" and then "this increases the coherence length". This is the whole problem - the coherence length in the NI is changed after the neutrons leave the NI.

 

You are claiming this is what qm expects? They have described the results, but how can you argue that qm expects them?

I am saying that you haven't shown that qm expects anything different.

The reason the analyzer crystal was put in was to study the interference patterns in a narrower wavelength spectrum of the beam of neutrons. The experimenters call the interference pattern the "contrast' coming out of the NI. On page 34, the experimenters write:

 

 

They are saying that the wider spectrum of neutrons may show no interference, but when you look at a narrow spectrum there is an interference pattern there. That is what they were investigating.

 

What they did not expect was the change in coherence length caused by the analyzer crystal. It remains a big challenge for qm to explain.

 

Eugene Morrow

Please source the claim that "they did not expect ... the change in coherence length caused by the analyzer crystal".

 

What I'm saying I expect at the moment is that I think that the analyzer crystal does change the neutrons directly - that the coherence length is not "determined in the NI".

 

 

 

The main question I want you to answer - in fact, at the moment, the only question I want you to answer - is the following: Source the claim that "The experimenters admit that for qm the coherence length is determined in the NI."

=Uncool-

Edited by uncool

  • Author

Uncool,

This is a welcome simplification: we are debating Kaiser et al 1992, and we have one main point of discussion:

The main question I want you to answer - in fact, at the moment, the only question I want you to answer - is the following: Source the claim that "The experimenters admit that for qm the coherence length is determined in the NI."


This is given away by one of the quotes from the experimenters:

The thing to keep in mind is that we determine the coherence length after the interference has taken place, far downstream from the interferometer.


Notice how they say they have determined the coherence length downstream (away) from the interferometer. That implies they are at least measuring the coherence length in the interferometer, and that it has not changed since then.

When you stand back from the experiment, you can see the whole point of why they had an interferometer in the first place. In the quantum mechanics (qm) picture given by these experimenters, neutrons are "wave packets" that must have a coherence length. How do you find how big a wave packet is? You run it through an interferometer, which is like a double slit. The wave packet goes through two paths and then interferes with itself. By delaying one of the packets with Bismuth, you can investigate how big that packet is, because if you delay one packet enough it 'misses" the other packet.

This is discussed in the abstract that you have. One sentence reads:

The coherent overlap of the wave packets traversing the two beam paths in a perfect-silicon-crystal neutron interferometer (NI) is altered by placing a material with a neutron-nuclear optical potential in one of the beam paths in the NI. If the optical potential is positive, it causes a delay of the wave packet and a loss of fringe visibility.

 

The "perfect-silicon-crystal neutron interferometer (NI)" means that the three bits of the NI started out as a single silicon crystal, and then acid was applied to eat away everything except the three segments shown on one leve, but underneath the block is still there holding them together. It is expensive to make, but it gives you an interfereometer accurate to atomic distances.

 

The "loss of fringe visibility" means the interference disappears (becuse the two wave packets miss each other completely). So we can work out the coherence length in the NI. The analyzer crystal just selects a subset of the neutrons coming in. It should not be changing the size of the wave packet.


The experimenters are clearly saying the analyzer crystal changes the coherence length in the NI. That is the key result of the experiment.

By the way, because neutron experiments are so expensive to perform that only about 50 people have ever done neutron interfereometry (also called neutron optics). Of the five experimenters: Kaiser, Clothier, Werner are US professors of physics (Werner has passed away) and Rauch and Wolwitsch are Austrlan professors of physics. The experimenters have their names in many other experiments too. This experiiment was part of a series funded jointly by the National Science Foundation in the US and the Atoms Institute of the Austrian Universities. If anyone in the world understands neutron interference, it is one of the select group of experimenters who have actually done it themselves.

So we can be sure they have thought of everything. If the analyzer crystal changed the coherence length, they would say so and it would not be anything remarkable.

 


Studiot,

I had no idea you wanted to back to such basics. Sure, this is a great idea - discuss the Theory of Elementary Waves (TEW) from the ground up.

 

I do not know of any (travelling) wave that does not transport energy. You are offering the proposition that your TEW achieves this so
we will go with that proposition and see where it leads.

 

Since it does not transport energy, how does it interact with matter? Other waves interact by energy transfer.

 

We started an unfinished discussion earlier about starting and stopping these waves. I meant both in space and time. So what happens?

 

I think I have made my point that there are many things you can discuss about these waves, without getting mathematical if you do not wish to.


Yes, elementary waves by themselves do not appear to be part of the current picture of mass and energy we look at in physics. On their website www.elwave.org they even describe the waves as not having energy at all.

How do they interact with matter? A few ways.

 

Firstly, a source of particles (like light globe or laser or electron gun) does not provide particles randomly. The source is providing particles in response to incoming elementary waves. So in a lighted room, waves come from all surfaces and go to the light globe which sends photons back.

 

Why does Dr. Little believe this? Look at the neutron interference experiment I am debating here with Uncool. For TEW, the waves go from the detector through the analyzer crytsal and the NI (where they interfere) to the reactor. Where elementary waves interfere constructively in the NI and reach the reactor, then a neutron makes the return journey along those elementary waves.

 

Notice how when we change the analyzer crystal we get neutrons with a different coherence length (which is a different spread of frequencies for TEW). So by changing the elementary waves going into the reactor, we get different particles coming out. There are other experiments that suggest the same thing - so TEW claims that sources respond to incoming elementary waves.

 

So that's the first way elementary waves interact with matter.

 

The second way is that a particle like a neutron or a photon is always following an elementary wave at all times. The elementary wave is like a railroad track for individual particles. When particles form atoms, it is because there are elementary waves in the nucleus (holding the neutrons and protons together) and other elementary waves wrapping around the atom holding the electrons in orbit.

 

Somtimes atoms and molecules as a group can follow a single elementary wave too, when we see atoms or molecules forming interference patterns in the double slit experiment. Once groups of particles get too big, they don't follow an individual elementary wave, so the usual rules of conservation of energy and momentum apply.

 

By the way, TEW explains those two conservation rules by the fact that they are conserved for an individual particle following an elementary wave. So since the components of matter have these things conserved, that's why bigger things also follow those rules. In TEW there is a great feeling of physics making sense at last.

 

Why does Dr. Little believe that particles follow an elementary wave at all times? Because all the experiments of particle physics are explained in a local and deterministic way using that idea. He mentions the double slit experiment and about ten other experiments in the book as good examples. It's too much to go into here - I'm just letting you know his reasoning overall.

 

The third way the elementary waves interact with matter is that many of the properties we think of as belonging to the particle are regarded by TEW as properites of the elementary wave. For photons, it is a particle, but the "frequency" and "wavelength" are properties of the elementary wave. In qm, the belief is "wave-particle duality", which means a particle is also a wave. Most importantly, that assumes the wave travels in the same direction as the particle (a much overlooked assumption in qm). In TEW, waves are waves and particles are particles. The particles are guided by elementary waves, but the two things are physically separate, and they are going in different directions. As I've mentioned, TEW believes the direction of the elementary waves is the opposite to the particles because of experiments like the neutron interference experiment being debate here.

 

A final note. Elementary waves are always there. If you switch a light globe off, the source decides to send nothing. The elementary waves are still coming in and are always coming in. So there is no "switching on and off" of elementary waves.

 

There is a lot more to it, but there is TEW 101.

 

As for fields, you are saying a field refers to a place. I would be pedantic and say it refers to measuring something in many places. I think we're saying the same thing on this one.

 

Eugene Morrow

 

Thank you for your more detailed descriptions.

 

Yes it would seem we both know in our hearts what a field is in the context of physics. I would observe that the Wiki statement could be taken to mean the 'something' must have physical reality. This is clearly not true as for instance a velocity field places an abstract noun or concept at each and every place.

I would, however, observe that placing one of your TEW waves at every point would meet the above agreed definition. Further such a distribution would admit of a mathematical description, even perhaps a 'field equation'.

 

Anyway to these TEW waves.

 

I have to admit that when I was younger I thought particle physics the bees knees. However now that I have grown up I cannot get very interested in neutron beams. Your light bulb in a room is much more interesting.

 

You describe TEW waves travelling from the walls to the light bulb. You also tell me that they do not stop or start, in space. Are you asserting that they pass through the light bulb and continue to infinity? and are you further asserting that they continue backwards from the walls to infinity in the other direction?

 

Please note that I am not arguing that they do or do not, I am simply trying to elicit information. You mentioned sine curves before. A true sine curve goes to infinity in both directions.

 

You also describe these TEW waves as capable of 'guiding' particles. In fact you further assert that it can impart an acceleration to a particle with mass (the electron). This is the necessary consequence of guiding an electron along a wrap around path.

 

You further describe the TEW waves as possessing a frequency and a wavelength. I was going to ask, but you saved me the bother. Do they also possess an amplitude and are they one, two or three dimensional?

 

I could go for more, but progress seems better in small doses.

Uncool,

 

This is a welcome simplification: we are debating Kaiser et al 1992, and we have one main point of discussion:

 

 

This is given away by one of the quotes from the experimenters:

 

 

Notice how they say they have determined the coherence length downstream (away) from the interferometer. That implies they are at least measuring the coherence length in the interferometer, and that it has not changed since then.

Please explain your reasoning, because your claim doesn't seem to follow from their statement. Do you have a more direct quote, or is this indirect inference the best you have to support what appears to be your main contention? Further, would you please provide more context for that statement - the paragraph it is in and the 2 surrounding it would be nice.

When you stand back from the experiment, you can see the whole point of why they had an interferometer in the first place. In the quantum mechanics (qm) picture given by these experimenters, neutrons are "wave packets" that must have a coherence length.

This is phrased very ambiguously; a better way to say it is that there is a wave that describes the neutrons; coherence length is then a property of waves.

How do you find how big a wave packet is? You run it through an interferometer, which is like a double slit. The wave packet goes through two paths and then interferes with itself. By delaying one of the packets with Bismuth, you can investigate how big that packet is, because if you delay one packet enough it 'misses" the other packet.

 

This is discussed in the abstract that you have. One sentence reads:

 

 

The "perfect-silicon-crystal neutron interferometer (NI)" means that the three bits of the NI started out as a single silicon crystal, and then acid was applied to eat away everything except the three segments shown on one leve, but underneath the block is still there holding them together. It is expensive to make, but it gives you an interfereometer accurate to atomic distances.

 

The "loss of fringe visibility" means the interference disappears (becuse the two wave packets miss each other completely).

 

So we can work out the coherence length in the NI. The analyzer crystal just selects a subset of the neutrons coming in.

Based on what?

 

So now the analyzer crystal is no longer a "prism", but instead something which "selects" a subset of the neutrons?

It should not be changing the size of the wave packet.

 

The experimenters are clearly saying the analyzer crystal changes the coherence length in the NI.

You have a very different idea of "clearly" than I do, especially since your claim relies on an indirect and unlikely inference.

That is the key result of the experiment.

 

By the way, because neutron experiments are so expensive to perform that only about 50 people have ever done neutron interfereometry (also called neutron optics). Of the five experimenters: Kaiser, Clothier, Werner are US professors of physics (Werner has passed away) and Rauch and Wolwitsch are Austrlan professors of physics. The experimenters have their names in many other experiments too. This experiiment was part of a series funded jointly by the National Science Foundation in the US and the Atoms Institute of the Austrian Universities. If anyone in the world understands neutron interference, it is one of the select group of experimenters who have actually done it themselves.

 

So we can be sure they have thought of everything. If the analyzer crystal changed the coherence length, they would say so and it would not be anything remarkable.

It seems to me that your claims, if anything, are what would be remarkable - if your claims were accurate, they would say so.

 

But as it happens, most professors are often very willing to discuss their experiments with the public. I invite you to send an email to them asking what the role of the analyzer crystal is - whether it does change the coherence length or not - and to report back the full email exchange.

 

Again, to try to simplify the conversation, the main question I would like answered is the following: How do you get from "The thing to keep in mind is that we determine the coherence length after the interference has taken place, far downstream from the interferometer." to your claim that the coherence length is determined within the NI, and that the analyzer crystal leaves it unchanged?

=Uncool-

Edited by uncool

  • Author

Studiot,

 

You and Uncool are a very patient debaters, and that is a big compliment. There is quite a bit to the Theory of Elementary Waves (TEW) and for you to debate the merits of it will need a bit of input from me. All I ask is to be heard and your idea of snall doses is good. Of course there will be healthy skepticism and many people will think TEW is rubbish- c'est la vie. I think the explanations of qm are rubbish too, so it's a good topic for a debate.

 

You are asking all the sensible questions. I will answer the first one today, and will need more posts to answer the others:

 

You describe TEW waves travelling from the walls to the light bulb.

You also tell me that they do not stop or start, in space. Are you asserting that they pass through the light bulb and continue to infinity? and are you further asserting that they continue backwards from the walls to infinity in the other direction?

Please note that I am not arguing that they do or do not, I am simply trying to elicit information. You mentioned sine curves before. A true sine curve goes to infinity in both directions.

You also describe these TEW waves as capable of 'guiding' particles. In fact you further assert that it can impart an acceleration to a particle with mass (the electron). This is the necessary consequence of guiding an electron along a wrap around path.

You further describe the TEW waves as possessing a frequency and a wavelength. I was going to ask, but you saved me the other. Do they also possess an amplitude and are they one, two or three dimensional?

 

Yes, elementary waves are going through all points of the universe in all directions at all times. So yes, there are elementary waves always going between the walls of the room and the light globe and there are elementary waves going from the light globe to the walls and so on. The elementary waves going from A to B and the waves going from B to A can be considered entirely separate from each other.

 

An important extra piece of this picture is that when an elementary wave goes through a mass they get a marker or signature that is unique to that mass. An analogy I Iike to use is think of light relecting off the surface of something - the reflected beam has changes in frequencies and polarization that are unique to the reflecting surface, but that surface did not have to expend any energy in supplying those changes. In the same way, an elementary wave gets a marker from the last mass it came out of, and the mass did nothing to impart that marker.

 

The elementary wave is travelling at speed c in all frames of reference, and we can think of the marker as being carried along with the wave.

 

What is the marker? Dr. Little does not know, and is quite open about this. On page 31 of the TEW book he writes:

 

Exactly what these markers look like is at present unknown.

 

There are some very important behaviors that come from these markers.

 

If two elementary waves meet and the have the same marker then they will interfere, in the normal way we see wave interference patterns. This is a key to the double slit experiment and to the Neutron Interferometer (NI) in the Kaiser et al 1992 experiment. So the wave interference pattern only happens in quite a specific situation.

 

If two elementary waves meet and have different markers, then the normally ignore each other.

 

In some situations, yet to be comprehensively cataloged, elementary waves that have different markers will meet and have a "collision". A collision is actually something that affects the markers, not the waves themselves. In a "collision" the marker from the first wave jumps across to the marker in the second wave. This may seem rather dull, but it affects the next behavior.

 

When a particle is following an elementary wave, the particle is in fact following the marker of that wave. If the elementary wave has a collision and the marker is now coming from a different direction, then the particle follows the new direction that the marker is coming from. So the particle changes direction to match the (opposite) change of direction of the marker.

 

For an elementary wave coming from the wall of a room to a light globe, there is no collision along the way, so the photon travels directly from the light globe to the mass that imparted the marker. However, in the double slit experiment, the markers have collisiions at the slits and can change direction, so the particles can change drection at the slits coming back. The same applies to the NI in the Kaiser et all experiment, as well as the analyzer crystal. So particles change direction in their journey back to the mass that imparted the marker.

 

That's quite a bit for you to swallow for now. I will cover more on the particles following a marker and how this happens in my next post.

 

 

Uncool,

 

We are debating Kaiser et al 1992 - a neutron interference experiment. You are very patient in carefully reviewing the statements of the experimenters and that is a very thoughtful approach.

 

The best way to understand the analyzer crystal is to think of a prism splitting a beam of white light, to give a red beam. No one said that the prism had created red light - they are saying the red light was part of the original beam. For quantum mechanics (qm) the beam is a stream of photons that are also waves, and so each photon is a "wave packet" with a coherence length. The prism did not change the coherence length of the red photons - is just selected them from the stream of photons.

 

In the same way, the analyzer crystal simply selects neutrons from the beam, but it did not create entirely new neutrons. The analyzer crystal did not change the coherence length of the wave packets as they pass through it - how could it?

 

Yet for some strange reason, when a different analyzer crystal is present, the coherence length that controls behavior in the NI is different. In the NI a single neutron wave packet takes two routes and the two packets meet againo (according to qm). By delaying one packet we can see how this changes the interference pattern. Why should the analyzer crystal affect this?

 

You don't like the word "determine" being used for the coherence length in the NI. If you like you could call it "measured" in the NI. That is where the coherence length matters - when the two wave packets meet.

 

The situation is still clear - the analyzer crystal affected the neutrons in the NI, and that is before the neutrons reached the analyzer crystal. I think you are trying to deny the facts of this experiment, simply because qm cannot explain them.

 

I am reluctant to quote more of the experiment - you can just keep playing that game until I have quoted the lot, which is not fair on the journal Physical Review A or the experimenters. You should download your own copy to argue your case.

 

Eugene Morrow

 

Uncool,

 

We are debating Kaiser et al 1992 - a neutron interference experiment. You are very patient in carefully reviewing the statements of the experimenters and that is a very thoughtful approach.

 

The best way to understand the analyzer crystal is to think of a prism splitting a beam of white light, to give a red beam. No one said that the prism had created red light - they are saying the red light was part of the original beam. For quantum mechanics (qm) the beam is a stream of photons that are also waves, and so each photon is a "wave packet" with a coherence length. The prism did not change the coherence length of the red photons - is just selected them from the stream of photons.

It certainly does change the coherence length of the entire wave altogether.

 

From Wikipedia: "In radio-band systems, the coherence length is approximated by L = c/n df" (delta changed to d by me). By using the prism to separate out the red photons only, we are changing the bandwidth - the df in that statement - to be much smaller, and therefore greatly increasing the coherence length. A similar effect holds for the other approximation used.

 

In other words, it might be fair to say that the coherence length for the wave of red photons (in other words, the projection of the wave onto only the red frequencies) was determined before the prism. But that's not what was measured before the prism - what was measured was the coherence length of the entire wave.

In the same way, the analyzer crystal simply selects neutrons from the beam, but it did not create entirely new neutrons. The analyzer crystal did not change the coherence length of the wave packets as they pass through it - how could it?

By changing aspects of the wave. Which is precisely what an analyzer crystal does. Analogous to the above: it may be fair to say that the coherence length for the wave of whatever set of neutrons is "selected" (assuming that that's what an analyzer crystal does) was determined in the NI, but that that's not the same as the coherence length of the entire wave, or of a different "selected" set, which is what happens without the crystal or with a different crystal.

Yet for some strange reason, when a different analyzer crystal is present, the coherence length that controls behavior in the NI is different. In the NI a single neutron wave packet takes two routes and the two packets meet againo (according to qm). By delaying one packet we can see how this changes the interference pattern. Why should the analyzer crystal affect this?

Because it causes the neutron wave - which no longer has a specific momentum (and hence frequency) after having passed through the interferometer - to interfere in a different way. Which means that the analyzer crystal changes the wave - and as the coherence length is an aspect of the wave itself, the analyzer crystal changes the coherence length.

You don't like the word "determine" being used for the coherence length in the NI. If you like you could call it "measured" in the NI. That is where the coherence length matters - when the two wave packets meet.

Changing the term doesn't change my objection. I still dispute that the analyzer crystal cannot change the coherence length.

The situation is still clear - the analyzer crystal affected the neutrons in the NI, and that is before the neutrons reached the analyzer crystal. I think you are trying to deny the facts of this experiment, simply because qm cannot explain them.

I am denying your bare assertion. Nothing more, nothing less.

I am reluctant to quote more of the experiment - you can just keep playing that game until I have quoted the lot, which is not fair on the journal Physical Review A or the experimenters. You should download your own copy to argue your case.

 

Eugene Morrow

I am asking you about an assumption that you are specifically using to claim that your entire theory is validated. You have taken a single statement, which to my knowledge could mean anything since I have no context for it, as proof of that claim. If you are unwilling to give the context for the statement, then you must understand when other people see it as sketchy, especially when you claim it as a very indirect proof of your claim.

=Uncool-

My understanding of the word debate is

 

One side promotes a proposition and defends it.

 

The other side attacks and attempts to discredit it, perhaps offering an alternative proposition.

 

I have used the word 'discussion' where both sides contribute and jointly reach some conclusion that may well be a modification of both contributors efforts, because I hope out interchanges more reflect this word.

 

To this end I would urge you (yet again) to please answer simple unambiguous questions with simple unambiguous answers. My questions are, after all, intended to further 'discussion'.

 

I am trying to develop a picture of the mechanics of TEW waves and asked some particular questions to help.

 

My question about the number of dimensions is relevent to the statement that a wave travels or propagates (which do you prefer?) from point A to point B.

 

My question about how far do you consider a particular wave reaching in space, beyond A and B is relevent to me at least and also I think to the markers you speak of.

 

So please answer these.

 

Some further relevant questions.

 

Can two (or more) TEW waves occupy the same space at the same time?

 

How many 'markers' can a particular TEW carry at once?

 

You say that these markers are "unique to that mass".

In what way do they depend upon mass?

Do you mean they can distinguish between say individual adjacent silicon atoms or would you get the same marker from any silicon atom or what?

  • Author

Uncool,

 

One of your comments seems to be agreeing with me - perhaps I have not understood it.

 

I had written:

 

Yet for some strange reason, when a different analyzer crystal is present, the coherence length that controls behavior in the NI is different. In the NI a single neutron wave packet takes two routes and the two packets meet againo (according to qm). By delaying one packet we can see how this changes the interference pattern. Why should the analyzer crystal affect this?

 

You replied:

 

Because it causes the neutron wave - which no longer has a specific momentum (and hence frequency) after having passed through the interferometer - to interfere in a different way. Which means that the analyzer crystal changes the wave - and as the coherence length is an aspect of the wave itself, the analyzer crystal changes the coherence length.

 

The wave in quantum mechanics (qm) is traveling with the neutron, so it is going from the NI to the analyzer crystal. Your second sentence claims the analyzer crystal changes the wave which changes the coherence length.

 

Are you saying the analyzer crystal changes the coherence length in the NI? That is in the opposite direction to the direction the wave is traveling in - which is the evidence that supports the Theory of Elementary Waves (TEW).

 

I've already given a quote from the experimenters that confirms this interpretation. The experimenters write on page 41:

 

If the wave packets “were” the neutron particle, we could not vary their physical extent, at will, after the fact, as we have apparently done in this experiment.

 

Physical extent" means coherence length of the wave packets. "After the fact" means the coherence length is varied in the NI when the neutrons have left the NI and reached the analyzer crystal. So the experimenters are backing this interpretation.

 

I claim there is already enough information available. The figures I quoted for Table VIII are not explained by qm - the analzyer crystal should not be affecting the NI coherence length, but it does.

 

I will see if it is possible to email to one of the experimenters. Sam Werner has passed away. It is possible the other two Americans (Kaiser and Clothier) are still contactable. I am reluctanct to contact the Austrian experimenters as I am not sure how comfortable they will be emailing in English.

 

 

Sudiot,

 

I think Dr. Little prefers the idea that elementary waves propagate from A to B.

 

Very happy to answer these questions.

 

Can two (or more) TEW waves occupy the same space at the same time?

How many 'markers' can a particular TEW carry at once?

You say that these markers are "unique to that mass". In what way do they depend upon mass?

Do you mean they can distinguish between say individual adjacent silicon atoms or would you get the same marker from any silicon atom or what?

 

Yes, two or more TEW waves can pass through the same space at the same time. This is the normal situation for every point in the universe - there are waves coming from and going to all directions.

 

One elementary wave (going in a single direction) has one and only one marker.

 

Markers are unique to a particlar mass. So in a screen in the double slit experiment, each point (atom) on the screen has a unique marker. So yes, it distinguishes individiual silicon atoms, for example.

 

How clear are these answers? I like your approach - find out exactly what TEW is claiming, so you can formulate counter arguments.

 

Eugene Morrow

 

How clear are these answers? I like your approach - find out exactly what TEW is claiming, so you can formulate counter arguments.

 

Pretty useless, to tell the truth.

 

I see now that you are out to waste my time since you avoid specific questions.

 

In the absence of these specific answers I will have to withdraw from the thread.

 

As to formulate counter arguments, not a bit of it. I have insufficient information as to veracity.

Nor have I made any secret that I wish to find out what your assumptions are and test them against each other for logical consistency.

 

Edit To make things crystal clear

 

I asked for two specific pieces of information in post140 and again in post 144 where I explained why I considered these important, that of the number of dimensions of a TEW and also how far you consider it extends in space.

 

Both times your answers avoided these particular questions.

Edited by studiot

Uncool,

 

One of your comments seems to be agreeing with me - perhaps I have not understood it.

 

I had written:

 

 

You replied:

 

 

The wave in quantum mechanics (qm) is traveling with the neutron, so it is going from the NI to the analyzer crystal. Your second sentence claims the analyzer crystal changes the wave which changes the coherence length.

 

Are you saying the analyzer crystal changes the coherence length in the NI?

No. I'm saying the analyzer changes the coherence length in the analyzer.

I've already given a quote from the experimenters that confirms this interpretation. The experimenters write on page 41:

 

 

Physical extent" means coherence length of the wave packets. "After the fact" means the coherence length is varied in the NI when the neutrons have left the NI and reached the analyzer crystal. So the experimenters are backing this interpretation.

I disagree. What the analyzer crystal is doing is changing what we think of as a wave packet itself, by changing the wave.

I claim there is already enough information available. The figures I quoted for Table VIII are not explained by qm - the analzyer crystal should not be affecting the NI coherence length, but it does.

You have yet to show this, if by NI coherence length you mean coherence length of the wave after the NI (but before the analyzer crystal).

I will see if it is possible to email to one of the experimenters. Sam Werner has passed away. It is possible the other two Americans (Kaiser and Clothier) are still contactable. I am reluctanct to contact the Austrian experimenters as I am not sure how comfortable they will be emailing in English.

Sounds good to me. Remember to copy the full correspondence - your email and the full response, everything.

 

Edited to add: I'm curious. I have a modification of this experiment that I think according to your claims would distinguish between TEW and quantum theory. Let's say that the analyzer crystal is mounted on a track that can move it into and out of the beam from the neutron interferometer. We start with the crystal not in the path of the interferometer, and measure coherence length; we then move it into the path, and measure the coherence length at a time such that light would not be able to go from the crystal to the interferometer. Quantum mechanics (where the wave is changed within the analyzer crystal) would predict that we see the same outcome as before - that the coherence length would be changed. But under TEW, the "elementary wave" spreads at the speed of light, meaning that there wouldn't be enough time for the elementary wave to get to the neutron interferometer in time to affect the coherence length, right? In other words, quantum theory would get the "with analyzer crystal" coherence length, but TEW would get the "without analyzer crystal" coherence length, right?

=Uncool-

Edited by uncool

  • Author

Studiot,

 

I am sad to see you go. I realize that I should have adopted the style of answers I used for Uncool - do it quote by quote. I have been very much pressed for time in my debating, I think I have rushed too much. I apologise again for not answering questions well enough to keep you in the thread.

 

For the record, I think the bits I missed out I think were these. You wrote:

 

Are you asserting that they pass through the light bulb and continue to infinity? and are you further asserting that they continue backwards from the walls to infinity in the other direction?

 

Yes, the elementary waves (ignoring markers) continue to infinity in both directions. It is the markers that jump between waves or get into interference and make things interesting.

 

You also asked:

 

Do they also possess an amplitude and are they one, two or three dimensional?

 

They are definitely 3 dimensional, although the width of one elementary wave is not known. As for amplitude, I am not sure. Dr. Little does not talk a lot about amplitude of an individual wave - it is more about the number of waves of a certain type that are arriving at a source of particles.

 

I was hoping to get onto the mechanism where particles follow waves. I will cover it anway, even if you are no longer reading.

 

If an elementary wave is traveling in a straight line, then there is no problem for the particle following in the reverse direction. The tricky bit is when the marker on that elementary wave changes direction. The best example is the double slit experiment.

 

Let's look at the double slit experiment from the point of view of quantum mechanics (qm) point of view and then the point of view of the Theory of Elementary Waves (TEW).

 

The double slit experiment has always been a mystery because a single particle traverses the apparatus at a time, and we get an interference pattern on the detector or screen.

 

In qm, the double slit experiment is normally described by the Copenhagen interpretation, where the particle is also a wave, so the particle is a "wave packet" or "wave particle'. The spreading packet goes through both slits and interferes with itself.

 

post-69620-0-89788300-1371502514.gif

 

I have pointed out the problems with mass and energy with this picture before. There are also more problems when we move the position of the detector or screen. Despite problems, many people are still very comfortable with the qm view.

 

In TEW, the waves are going in the opposite direction, from each point on the detector through the slits to the source of the particles:

 

post-69620-0-28934300-1371502657.gif

 

Here is where the markers come in. Each point on the detector produces a unique marker on the elementary wave. Since waves with one marker normally ignore all the other waves, we can consider each point on the detector separately.

 

For point D1, the waves go outwards like a wave normally does. At the slits, the waves from D1 go outwards from the two slits. Here is where waves from D1 will meet other waves from D1, so they interfere.

 

At the source, the waves from D1 will arrive if there is constructive interference there. The more waves from D1 that arrive at the source the more likely it is that the source sends a particle back.

 

post-69620-0-41600800-1371503912.gif

 

The particle is following just one of the waves from D1, so the particle only goes through one slit. The particle arrives back at D1 (if there was some sort of constructive interference of the waves from D1 at the source). Let's say that at D1 there was such constructive interference and many particles come back to D1. At D2, there was less constructive inteference, so less particles arrive. At D5 there may be none, because the waves from D5 interference totally and none arrive at the source. By D10 there is constructive interference again, so particles arrive. You can see how an interference pattern is formed at the detector, one particle at a time. The waves are always going out - it simply depends on the source how many particles are sent back. An interference pattern still builds up one particle at a time, because the waves are always interfering at the source. The number of particles coming back simply decides how fast the pattern at the detector builds up.

 

The important bit is what happens to the particles at the slits. The particles are coming from the source, and so most particles will change direction at the slit to keep following their marker and reach the point on the screen where the marker came from (such as D1). How does the particle change direction to match the marker changing direction?

 

The elementary wave from D1 has collisions with other elementary waves in the walls of the slit. Collision are likely to happen near an atomic nucleus.

 

post-69620-0-70511700-1371503945.gif

 

The collision happens with an elementary wave coming out of a nuclues of an atom in the slit. The colliding elementary wave is called a "photon" elementary wave for reasons we will see in a moment. The marker D1 jumps across to an elementary wave heading off in a different direction as shown. The marker from the nucleus of the atom in the slit sort of "reflects back" to where it came from.

 

Remember that there are lots of elementary waves coming from D1 and they all have different collisions with different atoms in the walls of the slit, and so randomly some of the D1 markers end up traveling towards the source. There are the elementary waves that after interfering may get a particle coming back.

 

Let's look at when a particle is coming back. Normally, the particle is following marker D1, and is ignoring other waves. At the actual collision point the particle "experiences" the colliding photon elementary wave. This allows the particle to behave like a source, and it emits a photon back along the colliding elementary wave.

 

post-69620-0-29782500-1371503958.gif

 

By emitting the photon, the particle changes direction to head towards D1, with a reduced momentum because of emitting a photon. Why does the particle change direction to match the change of direction of the D1 marker? Because both changes of direction were caused by the same thing - the colliding photon elementary wave. All that is necessary is that the colliding photon elemetary wave causes the marker and the particle to change direction in the equal and opposite way. You could say that the particle and the markers are correlated in how they change direction.

 

So the elementary wave carrying the marker did not "make" the particle follow it - the particle and the marker simply behave in a correlated way to collisions with other elementary waves.

 

There is a more comprehensive picture of elementary waves and particles. I hope you continue in this debate, because now that I have given a lot more details, you should be able to find things to refute and challenge.

 

 

Uncool,

 

I will reply to you in a short while.

 

Eugene Morrow

 

 

 



Uncool,

 

You are convinced that the analzyer crystal changes the coherence length at that point. Table VIII shows the calculated coherence lengths that apply to the NI. You are not looking at the results that show the analyzer crystal affects the NI.

 

I see the aim of your variation on this experiment.

 

The problem is measuring a difference between qm and TEW is that the elementary waves are traveling at the speed of light, so we'd have to have the NI some miles/kilometers away from the analyzer crystal, and have neutrons that will make such a long journey. The experiment ues "ultra cold" neutrons that travel at just a few metres per second, so they will take a long time to travel such distances, and with a half life of just under 15 minutes free neutrons decay into a proton. Perhaps they can use faster neutrons for the longer distances involved.

 

I do not agree with your statement:

 

Quantum mechanics (where the wave is changed within the analyzer crystal)

 

This is Uncools view. I hope Helmut Kaiser replies and clear that one up. I guess he may never reply because I am not one of his students and life is busy. I will certainly show the entire email exchange.

 

Eugene Morrow

There is a more comprehensive picture of elementary waves and particles. I hope you continue in this debate, because now that I have given a lot more details, you should be able to find things to refute and challenge.

 

Thank you for your answers.

 

 

My purpose was not to challenge but to construct a model of TEW waves.

 

 

The questions were all intended to further this process.

 

 

The model is not yet at the stage where I can discuss Young's slits, though I would comment that they depend upon plane waves and you have stated that TEW waves are 3D.

 

 

Back to the model and the light bulb within walls.

 

 

Do the waves follow Huygen's principle?

 

 

Consider the wave travelling from point A on the walls to point B on the bulb and carrying the marker from point A.

 

 

Since the wave extends beyond B it should pick up a marker from material at B, but it is already carrying a marker from material at A and you say that a wave can carry only one marker.

 

 

How is this resolved?

 

 

Since the wave is 3D is must also pass through points C, D etc. In fact I assume the whole wave must carry the marker away from A?

If this is the case, consider the situation where the wave front from A and carrying the maker from A reaches B. At this point it apparantly changes marker at B.

What about the rest of the wavefront? What maker does it now carry? How fast does this change propagate through the wavefront?. What happens if the wavefront is very large so B and another point

on the wavefront are many light years apart?

 

If point C is the same distance from A as is B the wave will arrive at B and C simultaneously. If there is material at C as well as at B how will the wave decide which marker to carry, since it can carry only one?

 

 

Again since the wave is 3D is must also travel away from A along the path AB of the wave you say is incoming towards A.

 

Do these interfere destructively?

 

 

 

Edited by studiot

Uncool,

 

You are convinced that the analzyer crystal changes the coherence length at that point. Table VIII shows the calculated coherence lengths that apply to the NI. You are not looking at the results that show the analyzer crystal affects the NI.

You haven't demonstrated that any of the results show that. You continue to claim it, but have yet to show it.

=Uncool-

Archived

This topic is now archived and is closed to further replies.

Important Information

We have placed cookies on your device to help make this website better. You can adjust your cookie settings, otherwise we'll assume you're okay to continue.

Account

Navigation

Search

Search

Configure browser push notifications

Chrome (Android)
  1. Tap the lock icon next to the address bar.
  2. Tap Permissions → Notifications.
  3. Adjust your preference.
Chrome (Desktop)
  1. Click the padlock icon in the address bar.
  2. Select Site settings.
  3. Find Notifications and adjust your preference.