Skip to content

Simple yet interesting.

Featured Replies

  • Author
Quote

More hints can be added upon request.

My guess is that you proved my “suggested factor” not to be prime by factoring the “suggested factor.” That is ok because my factor is of the right magnitude.

That is if my equations work for large numbers.

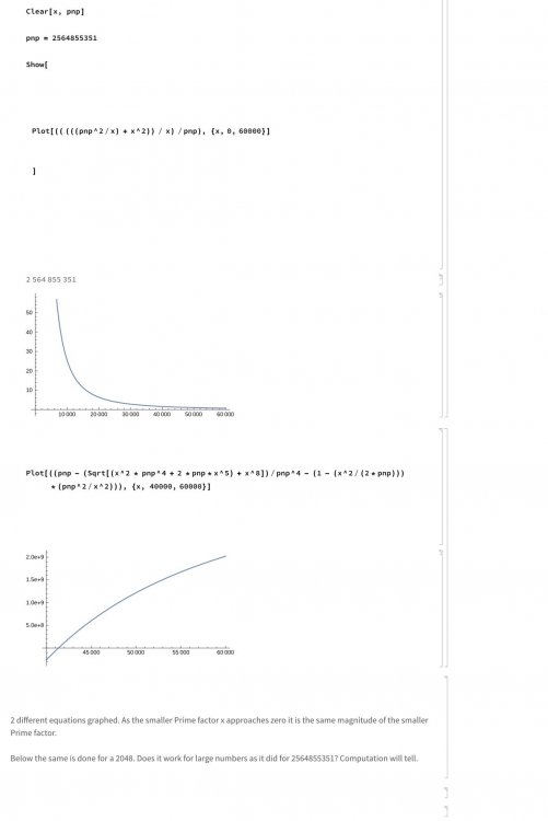
As the graph approaches zero x approaches the smaller Prime number (in theory).

IMG_3177.thumb.jpeg.bb04142f053e38e58334643578740762.jpeg

 

IMG_3178.thumb.jpeg.c6b2886a6cf39b221b2a7015c2e1627b.jpeg
 

I think I know one more way to test so give me until I post again before you reveal your method. It is late and I need more time to respond.

  • Author
Quote

More hints can be added upon request.

@Ghideon

I need more hints unless you are saying the number isn’t Prime. If it isn’t Prime it would be close to the actual Prime.

I know 38 digits does seem small divided into a 618 digit number. But as I have shown 2 of my equations point to it.

So far no one knows what it is. The equations work for 2564855351. Maybe they will work for larger numbers.

I’m interested in seeing how you proved it wrong. Right now I have no way of knowing but division.

On 8/27/2024 at 9:18 PM, Trurl said:

I need more hints

1: Use the hints already provided:

On 8/23/2024 at 7:56 PM, Ghideon said:

The task can easily be solved in a few minutes. No tools are needed but pen and paper may be handy. Solutions does not depend on dividing the RSA-2048 number with the given number.

And then new hints:

2: Look at the RSA numbers that have been factored at https://en.wikipedia.org/wiki/RSA_numbers and compare to page 1 in the paper https://crypto.stanford.edu/~dabo/papers/RSA-survey.pdf *

On 8/25/2024 at 7:54 AM, Trurl said:

my equations

 

On 8/27/2024 at 9:18 PM, Trurl said:

my equations

3: "Your equations" are just a distraction, they provide no information and can't be used. 
4: Unsupported claims are not part of the solutions I think of.

 

*) Basic RSA knowledge

 

  • Author
On 8/28/2024 at 4:01 PM, Ghideon said:

Look at the RSA numbers that have been factored

I will research how they are factored. But I did not do research, only original research. I haven't looked at it yet, but those mathematicians at Stanford are above me. It would probably take months to understand them. And are they correct.

I will research them. Thank you for the link.

I would say the problem  with my numbers is that I was only factoring the first 75 digits. Computation gets confusing when the numbers get large. I would say to you on the code I have just posted below in this thread, "Prove it Wrong." Just as I have to prove it right, to me the numbers seem to be working.

You could say the first number was wrong, but I don't think it is. My hunch is that you thought the magnitude of the smaller factor I proposed was too small. If there was an algebraic run to multiply a^n and b^m factoring would be much easier. But as far as I know no such rule exists.

Read this code I post. I don't know the answer. I don't think anyone can say an answer. This is the distraction of my equations. But if they work it would change how we think about Prime numbers.

 

Clear[x,y,g,pnp]

pnp=2519590847565789349402718324004839857142928212620403202777713783604366202070\7595556264018525880784406918290641249515082189298559149176184502808489120072\8449926873928072877767359714183472702618963750149718246911650776133798590957\0009733045974880842840179742910064245869181719511874612151517265463228221686\9987549182422433637259085141865462043576798423387184774447920739934236584823\8242811981638150106748104516603773060562016196762561338441436038339044149526\3443219011465754445417842402092461651572335077870774981712577246796292638635\6373289912154831438167899885040445364023527381951378636564391212010397122822\120720357;

x=40861574600078048833983218761558688141

y=(((pnp^2/x)+x^2)/pnp)



40861574600078048833983218761558688141


634833803913729274149046560006110105341653987032644347139491065463960765590983014594270745280490943612524425735691584192357714405134539298334254086508463781769463545365966990230877020139587494264115931259401035776266879854280637911181600802763300680148655445534314280852835966547981430518726074134498756877075347610533912610882082571593792533386863778600058303720971034349799390014347520048267237872419333149303301358190482052097820150373855848496280186985832493081485651076553227345540702399208519938470313956044554498336151298425477716733509134466593458008908417427074091201531204090188340432250521346783546450569186626944925787846341539066839302955697556953200935562068268509147390847569567813190953745889578796065991456608595094775372274724035820106046753346703202092454091532620276574400974810603033731667772333116072331674764649360687392789065558184319741482042496890297790135396659502960271951214593374229349810409021779095513702571776210723562008955029462000296608359090753780513193581054298210353890469163174127612293185453114099745606391072987998065659734323866602790265365503491919975152225157252257325443440549579867786230870245990843625165669247214878065515035182695333007699122793085682845204420142443354543637937394670/1029544493794833810362719399813336867927292796870105985767066638600787949056122326854257679972284970010944308811790024149299718090777560077453412457010521445303837785995429144256429395104047108858051197839406607192157326592513109026780645546804565855787882246931691946026121697600798370743023310919920240496366458210984067304416868633515308096356298816579415040357140823932519476960953659465709561744424103986576674496903092964092709805027103183570967574475083485410490451939386941577863721438385490436407675487353298659477292651598896919377654472607793847335861184927553234887906511137785877776276042420931844038131417543652262939192664076316610833186337

N[y]
6.166161906939770 × 10^578

x*y

N[%131]
2.519590847565789 × 10^616

 

 

Still working. Let me know what you think. I will have access to the Wolfram files ready soon.

Time is up.

The task was: Show, in at least two individual and different ways, why the following statement is false:

On 6/8/2024 at 1:23 AM, Trurl said:

smaller factor

This is the smaller factor of:

RSA-2048

Answers:

1: Factors of RSA numbers are prime numbers. Prime numbers are integers. The proposed number is not an integer and hence it can't possibly be a factor of any RSA number.

2: An RSA number is a product of two large primes of the same size. Quick head count gives that the primes used in RSA-2048 have approximately 300 decimal digits. The suggested number is tiny and therefore not a factor of RSA-2048.

 

  • Author

You are right 10^37 is too small. But the computation is fixable.

The equation only used 75 digits of a 617 digit number.

It can be corrected.

 

On 8/31/2024 at 12:01 AM, Trurl said:

The equation only used 75 digits of a 617 digit number.

Your reply indicates fundamental confusion regarding factors, integers, prime numbers*. Here is an online source that may be suitable: "Gain familiarity with factors and multiples". There are chapters for factors, prime numbers, composite numbers and quiz to test your skills:  https://www.khanacademy.org/standards/CCSS.Math/4.OA#4.OA.B

 

*) amongst many other things indicated in the posts; too many to list.

  • Author

Ghideon, I have already provided examples that my equations work. Granted I have made many mistakes but the underlying them that calculated N = given N remains unchanged.

 

I am finding where the equation equals zero to find the magnitude of N. Then I test by factoring.

 

When I put the RSA 2056 bit Prime in the equation Mathematica only used the first 75 resulting in a magnitude of 10^37. The size of this RSA number makes it more difficult to work with.

 

The purpose is not to have unreal expectations of finding a pattern of Primes. That has been done before. You start by smashing your head against the wall in an attempt to find a pattern by estimating the distribution of Primes. Then when you make progress you die and the maid burns the paper your proof is on.

 

It is not that I don’t believe or am not interested in the Stanford work, I am just interested in making my ideas work.

Create an account or sign in to comment

Important Information

We have placed cookies on your device to help make this website better. You can adjust your cookie settings, otherwise we'll assume you're okay to continue.

Account

Navigation

Search

Search

Configure browser push notifications

Chrome (Android)
  1. Tap the lock icon next to the address bar.
  2. Tap Permissions → Notifications.
  3. Adjust your preference.
Chrome (Desktop)
  1. Click the padlock icon in the address bar.
  2. Select Site settings.
  3. Find Notifications and adjust your preference.