Jump to content

problem about deriving plancks constant, speed of e in H or bohrs radius

Featured Replies

First I will add some theory

image.thumb.png.4309b7d516124714949a87e99c1815ff.png

 

image.thumb.png.1fe4419c3cc9c84e6442e483dc3be218.png

Then I will try to derive rydberg energy formula from a kinetic perspective

image.thumb.png.02c715bd4f4d73edde415a38e5a3e036.png

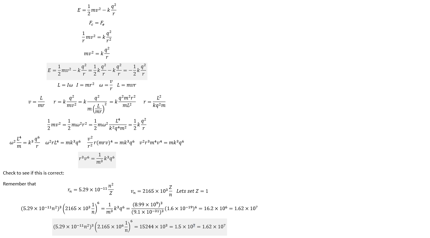
The numbers above is correct for the rydberg formula. Is it possible to derive plancks constant, bohr radius or velocity for electron in n=1 for hydrogen atom with this? This is how far I get equating centripetal force and coulomb attraction:

image.thumb.png.b71bbe52f6fbb17cca16a69f5af79349.png

Edited by Tor Fredrik
had to do recalculations

  • Author
Just now, swansont said:

Bohr’s formulation does not have a magnetic field

Theres no B field in the derivation?

Archived

This topic is now archived and is closed to further replies.

Important Information

We have placed cookies on your device to help make this website better. You can adjust your cookie settings, otherwise we'll assume you're okay to continue.

Configure browser push notifications

Chrome (Android)
  1. Tap the lock icon next to the address bar.
  2. Tap Permissions → Notifications.
  3. Adjust your preference.
Chrome (Desktop)
  1. Click the padlock icon in the address bar.
  2. Select Site settings.
  3. Find Notifications and adjust your preference.