Skip to content

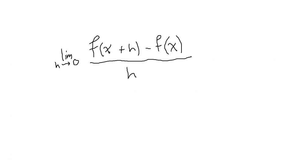
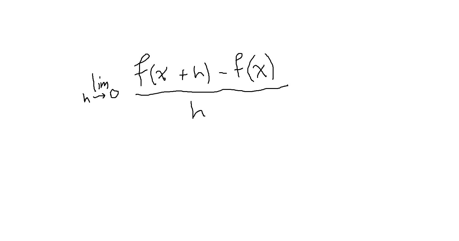
What is this equation

Featured Replies

This is one basic definition for differentiation that leads to many standard derivatives.

But it is not perfect, and there are other representations.

However I don't want to confuse you if you are just starting to study calculus in general and differentiation in particular
Can you please tell us a bit more background to your question.

So I will just say for the moment that it does not cover all cases.

Consider the functions

1)


[math]f(x) = \left\{ {f(x) = \sin \left( {\frac{1}{x}} \right)} \right\}[/math]


F(x) is not even defined at x = 0
 

2)


[math]f(x) = \left\{ \begin{array}{l}
 f(x) = x\sin \left( {\frac{1}{x}} \right)\;:x \ne 0 \\
 f(x) = 0:\;x = 0 \\
 \end{array} \right\}[/math]


This one is continuous at x = 0 , but still not differentiable there.

3)


[math]f(x) = \left\{ \begin{array}{l}
 f(x) = {x^2}\sin \left( {\frac{1}{x}} \right)\;:x \ne 0 \\
 f(x) = 0:\;x = 0 \\
 \end{array} \right\}[/math]

 


This one is both continuous and differentiable at x = 0

4)


[math]f(x) = \left\{ \begin{array}{l}
 f(x) = 1:x\;is\;rational \\
 f(x) = 0:x\;is\;irrational \\
 \end{array} \right\}[/math]


f(x) is nowhere continuous, or differentiable

 

 

 

 

 

Edited by studiot

  • 1 month later...

[tex]\frac{f(x+h)- f(x)}{h}[/tex] is the "difference quotient".  Geometrically, it gives the average "slope" of a graph between the points (x, f(x)) and (x+ h, f(x+h)).  That is the slope of the straight line between those points.  Taking the limit as h goes to 0, if it exists, gives the slope of the tangent line to the graph at (x, f(x)).  (The graph has a tangent line at that point if and only if that limit exists.)  In some textbooks the "derivative" of f at that value of x is defined to be that limit and then that is shown to be the slope of the tangent line.  In other textbooks the derivative is defined as "the slope of the tangent line" and that formula derived.

Archived

This topic is now archived and is closed to further replies.

Important Information

We have placed cookies on your device to help make this website better. You can adjust your cookie settings, otherwise we'll assume you're okay to continue.

Account

Navigation

Search

Search

Configure browser push notifications

Chrome (Android)
  1. Tap the lock icon next to the address bar.
  2. Tap Permissions → Notifications.
  3. Adjust your preference.
Chrome (Desktop)
  1. Click the padlock icon in the address bar.
  2. Select Site settings.
  3. Find Notifications and adjust your preference.