Skip to content

Xiao Jun transform is derived

Featured Replies

Lorentz transformation only in the directions of wave propagation and the direction of movement to the establishment, in the transformation of different direction should be the Xiao Jun transform

http://blog.sciencenet.cn/home.php?mod=space&uid=1384140&do=blog&quickforward=1&id=812950

(because it cannot send pictures and accessories, can only give a link, please administrator understanding)


 

Lorentz transformation only in the directions of wave propagation and the direction of movement to the establishment, in the transformation of different direction should be the Xiao Jun transform

http://blog.sciencenet.cn/home.php?mod=space&uid=1384140&do=blog&quickforward=1&id=812950

(because it cannot send pictures and accessories, can only give a link, please administrator understanding)

 

 

!

Moderator Note


Topic moved to Speculations.

Also, you are to discuss your ideas here. If you need equations, copy them into LaTeX via the math tags. We are a discussion forum, not a place for you to place clickbait.

  • Author

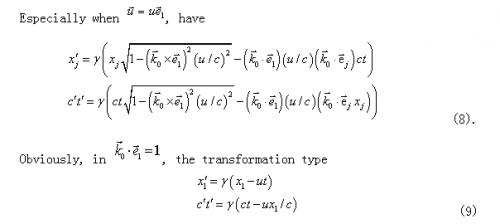
Xiao Jun transform (7) has a strong group, he does not need to assume that the speed of u must be parallel with the axis, but can be an arbitrary angle with the axis

Archived

This topic is now archived and is closed to further replies.

Important Information

We have placed cookies on your device to help make this website better. You can adjust your cookie settings, otherwise we'll assume you're okay to continue.

Account

Navigation

Search

Search

Configure browser push notifications

Chrome (Android)
  1. Tap the lock icon next to the address bar.
  2. Tap Permissions → Notifications.
  3. Adjust your preference.
Chrome (Desktop)
  1. Click the padlock icon in the address bar.
  2. Select Site settings.
  3. Find Notifications and adjust your preference.