Skip to content

static friction of masses connected by a rod

Featured Replies

This isn't homework...I'm reviewing physics after many years of neglect.

 

Given 2 masses, [latex]m_1, m_2[/latex], connected by a rigid, massless rod, stationary with respect to a ramp which makes an angle of [latex]\theta[/latex] with the horizontal, with coefficients of static friction between the masses and the ramp = [latex]\mu_{s1}, \mu_{s2}[/latex] respectively, what is the magnitude of the tension or compression in the rod, and what are the magnitudes of the static friction, [latex]f_{s1}, f_{s2}[/latex], acting on each mass?

 

This assumes [latex]\theta[/latex] is small enough that the masses do not lose traction, i.e.,

 

[latex]\theta \leq \arctan \frac{\mu_{s1} m_1 + \mu_{s2} m_2}{m_1 + m_2}[/latex]

 

Note that if the masses are assumed to already be moving, then the problem is straightforward:

 

[latex]T = (\mu_{k1} - \mu_{k2})\frac{m_1 m_2}{m_1 + m_2}g\cos\theta[/latex]

[latex]f_{k1} = \mu_{k1} m_1 g\cos\theta[/latex]

[latex]f_{k2} = \mu_{k2} m_2 g\cos\theta[/latex]

 

Where T is the tension in the rod (T<0 implies compression). Such problems are common in basic physics, e.g., Halliday, Resnick, & Krane, 4th Ed., chap.6, problem 29.

 

So I assumed it would be straightforward to do the same problem, but with the masses stationary. But I get 2 equations (sum of the forces for each mass) and 3 unknowns (T, [latex]f_{s1}, f_{s2}[/latex]).

 

I find it surprising that such a simple situation is undetermined, and assume I've missed something simple.

 

Note: I've looked through several physics texts and can find only problems in which the masses are already moving.

 

Also, it's driving me crazy!

First impressions are that it would be undetermined as the static friction (F_fric = N . mu_s) is not a simple force it is a limit of force; a brick on the desk has the same max amount of static friction as the same brick being kicked (as long as it does not move) - but the actual amount of force resisting movement is zero in the case of simply sitting there, yet quite a lot when kicked. This is the problem you have here - the ratio between the blocks of maximum static friction resisting movement is simple, but the ratio of actual force depends on the tension which depends on the actual force. I believe static friction actual force is completely undefined apart from via the fact net force on non-accelerating object being zero.

 

I think you could simplify the problem and yet have it still concerning static friction by specifying that the blocks are about to move - ie any increase (no matter how small) in angle will lead to the block system shifting; although this still seems quite complicated.

I haven't worked this one out fully, but I see no reason in principle why it should not be possible to calculate the required quantities.

 

You need to be careful with two points however.

 

Firstly only one of the masses will be in limiting friction. This is the key to the solution.

 

Secondly the direction of friction is opposite for the static situation asked for and the for kinetic situation you also describe.

Edited by studiot

...

 

Firstly only one of the masses will be in limiting friction. This is the key to the solution.

 

...

 

Why should either of the masses be in limit?

 

The problem works with a variation in theta - at theta equals zero then (m_1+m_2).g.sin.theta is at a maximum and frictional force is zero - and as theta increases (m_1+m_2).g.sin.theta diminishes and the friction force counteracting it increases ; but there is no reason to assume that as soon as theta is non-zero that one of the F_fric=N.mu_s is at a maximum limit. In fact from groking it we know that cannot be the case.

 

I do however agree that as soon as one of the masses is in limit the question become soluble.

Well there are many interesting things that can be deduced about this problem.

 

Tonight was the business carol concert but I did get a chance to scribble a few things down.

 

Now the two weights (allow me the luxury of using W it's much less writing than mg especially in mathml) undergo four different regimes as the inclination increases from horizontal.

 

Two are boundary regimes and fully soluble.

 

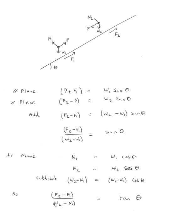
1) When the plane is horizontal there are no horizontal forces acting so there is no external load to provide any force in the rod. the coupled pair of weights act at a single rigid body.

 

2) When neither are in limiting friction. Whilst there are many solutions, some interesting relationships can be deduced as I have sketched below.

Furthermore there are upper and lower bounds on the rod force P. The lower bound can be found from the expression for the force to just prevent sliding down the plane. The upper bound can be found from the expression for the force needed to just start hayuling the smallest weight up the incline.

3) Once the smaller weight is in limiting friction we can gain an additional equation.

 

4) The second boundary regime occurs when both weights are in limiting friction and supply yet another equation to complete the set.

 

Regime (2) is statically indeterminate but often in a case like this compatibility supplies additional equations.

 

I have to admit I can't think of one her but suggestions are welcome.

 

The theorem of three forces may also be employed.

Yes there are four forces acting on each weight (Weight W, Normal reaction N, riction F and rod force P) but F and P are in line so can be reduced to an auxiliary force (F-P).

 

post-74263-0-25564100-1387317355_thumb.jpg

Edited by studiot

I cannot follow your algebra

 

to remove P from the equations

 

[latex]F_1+P = m_1g Sin \theta[/latex] (1)

[latex]F_2 - P = m_2g Sin \theta[/latex] (2)

 

I would add the equations rather than subtract

 

(1) +(2)

[latex] F_1+P+F_2-P = (m_1+m_2)g Sin \theta[/latex]

 

[latex]gSin \theta = \frac{(F_1+F_2)}{(m_1+m_2)}[/latex]

 

Similarly with your calculation regarding normal

 

 

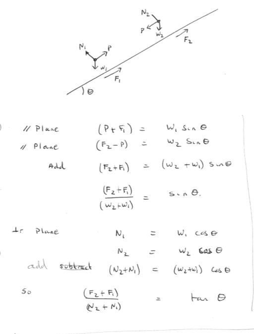
Imataal you are quite right. that's what comes of doing things in a rush.

 

However I'm still right that there are some interesting results to be had. Here is the correction.

 

post-74263-0-39353900-1387383919_thumb.jpg

  • Author

Thx for the helpful responses.

 

It now seems clear to me that, since rigid rods do not exist, the rod's strain determines its tension or compression, leaving 2 equations (sum of forces on the masses) and the 2 unknown static frictions.

 

In other words, if the angle in the ramp is small enough such that both masses, when standing alone with no rod connecting them, experience static frictional forces strictly less than their respective maximums, then, in general, at the same angle, when the masses are then connected by a flexible rod, the rod will experience a nonzero tension or compression resulting in a nonzero tensile or compressive strain of the rod. If this strain is known then the system is determined.

You surely mean extensible not flexible?

Archived

This topic is now archived and is closed to further replies.

Important Information

We have placed cookies on your device to help make this website better. You can adjust your cookie settings, otherwise we'll assume you're okay to continue.

Account

Navigation

Search

Search

Configure browser push notifications

Chrome (Android)
  1. Tap the lock icon next to the address bar.
  2. Tap Permissions → Notifications.
  3. Adjust your preference.
Chrome (Desktop)
  1. Click the padlock icon in the address bar.
  2. Select Site settings.
  3. Find Notifications and adjust your preference.