Skip to content

Intuition on definite integrals .

Featured Replies

Can someone give me an intuition on why the definite integral represents area under a curve ? Thanks .

How were you introduced to the definite integral, or for that matter any integral?

 

I need to start from what you know, and proceed to what you want to know.

Edited by studiot

  • Author

I just started learning calculus by reading articles on the internet , I got through differential calculus easily and I understand the concept of anti derivatives or integrals but I can't seem to wrap my head around the fact that anti derivatives can have something to do with area .

Edited by VultureV1

OK so there are two approaches to integration.

The anti derivative is linked to the area approach by what is known as the Fundamental Theorem of Calculus.

This theorem is difficult and therefore not normally studied until advanced courses in calculus.

 

Here is the simple route to area. Note this is 'intuition' only, not a formal proof since this is a very quick answer.

 

 

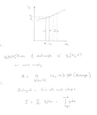
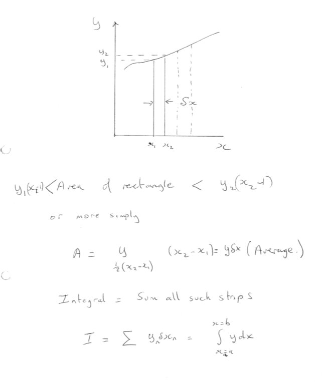
Consider any general curve (function) as drawn.

 

post-74263-0-32229000-1380560311_thumb.jpg

 

Divide it into strips by drawing verticals.

The strips are almost rectangular.

 

It is obvious from elementary geometry that the area of any strip is greater than the area generated by multiplying the low side by dx and less than the areas generated by multiplying the high side by dx.

 

An approximation can be obtained by using the average value of y1 and y2 (low side and high side) times dx.

 

Equally the total area between any two x values can be obtained bu adding up (summing) the areas of all the strips.

 

So if we let the strip beocme very thin (dx tends to zero) and the number of them very large we obtain an infinite sum.

 

We can write this in limit form for a formal proof, but it demonstrates the principle of why the Area = Integral ydx

 

Does this help?

Edited by studiot

  • Author

How were you introduced to the definite integral, or for that matter any integral?

 

I need to start from what you know, and proceed to what you want to know.

Never mind that , thanks , Btw , how do you delete a post ?

Edited by VultureV1

 

how do you delete a post ?

 

 

Try a PM to a mod.

 

dave is online right now.

Edited by studiot

  • Author

anyways , thank again , So , the integral is the infinite sum of small rectangular strips ?

Edited by VultureV1

The integral can be considered as the area of all strips filling the area under the curve (with strips going into the negative being counted negatively). More precisely, it is the limit value you approach when you make the strips very small. That's essentially a "yes" to your question, except that I wouldn't put the emphasis on "infinite sum" but rather on "narrow strips" (which of course implies the number of strips becoming large).

Archived

This topic is now archived and is closed to further replies.

Important Information

We have placed cookies on your device to help make this website better. You can adjust your cookie settings, otherwise we'll assume you're okay to continue.

Account

Navigation

Search

Search

Configure browser push notifications

Chrome (Android)
  1. Tap the lock icon next to the address bar.
  2. Tap Permissions → Notifications.
  3. Adjust your preference.
Chrome (Desktop)
  1. Click the padlock icon in the address bar.
  2. Select Site settings.
  3. Find Notifications and adjust your preference.