Skip to content

derivative (n) times!!!

Featured Replies

hi every body

 

how can i derivative (n) times this function e^(1/x)????

 

 

thanks alot 4 all

Try calculating the first, second, third, fourth etc derivatives. You should be able to spot a pattern that can lead you to a general formula for the n'th derivative. From there, it's a simple matter of proving it via induction.

  • Author

thanks dave alot

 

i try this way before post this thread

 

but i cant get the general formula :-(

 

thx all

You need to use the chain rule to find the first derivative of [math]e^{\frac{1}{x}}[/math].

 

Can you tell us what you got?

You need to use the chain rule to find the first derivative of [math]e^{\frac{1}{x}}[/math]
You do? Isn't it just [math]\ln{x}\cdot e^\frac{1}{x}[/math]?
You do? Isn't it just [math]\ln{x}\cdot e^\frac{1}{x}[/math]?

 

No - ln is the integral, not the derivative, of 1/x. And in any case, you did use the chain rule to do that.

 

The problem in itself is quite difficult, because it includes three different methods of differentiation - the derivative of an exponential function, the derivative of an inverse of a power function, and the derivative of a product. The three together make this problem rather annoying at the least...

=Uncool-

My mistake. You don't have to use chain rule, because there's no other function in [math]\frac{1}{x}[/math].

 

Rather you have to use logarithm differiaitation.

I got the answer of [math]e^{\frac{1}{x}}(\frac{-lne}{x^2} + \frac{lne}{x})[/math].

 

It might be wrong. What do you think?

I have a question though. What is the derivative of [math]ln(e)[/math]? Because when they are together, they produce only [math]1[/math].

 

So if the derivative of ln(e) is 1, then the answer would be: [math]e^{\frac{1}{x}}(\frac{-1}{x^2} + \frac{1}{x})[/math] or rather [math]e^{\frac{1}{x}}(\frac{-x+x^2}{x^3})[/math].

Evo, you were correct the first time: chain rule.

[math]u(x) = \frac 1 x[/math]

[math]\frac{du(x)}{dx} = -\frac 1 {x^2}[/math]

[math]f(x) = \exp\left(\frac 1 x\right) = f(u(x))[/math]

[math]\frac{df(x)}{dx} = \frac{df}{du}\,\frac{du}{dx} = -\frac 1 {x^2}\,\exp\left(\frac 1 x\right)[/math]

What I got at first was: [math]e^{ \frac{1}{x}} \cdot ln e \cdot \frac{-1}{x^2}[/math] according to the derivative rule: [math]a^u = a^u \cdot lna \cdot u'[/math].

 

The answer produced was: [math]-\frac{e^{\frac{1}{x}}}{x^2}[/math], which apparently is the correct answer according to the integrator tool here at http://integrals.wolfram.com/index.jsp.

 

In conclusion, the derivative of [math]e^{\frac{1}{x}}[/math] is [math]-\frac{e^{\frac{1}{x}}}{x^2}[/math].

 

 

Sorry for all the confusion, Math89.

What I got at first was: [math]e^{ \frac{1}{x}} \cdot ln e \cdot \frac{-1}{x^2}[/math] according to the derivative rule: [math]a^u = a^u \cdot lna \cdot u'[/math].

 

But I when I checked the intergator tool here at http://integrals.wolfram.com/index.jsp, I got a completely different answer? How come?

 

You got a completely different answer because you used the wrong rule. See the corrected answer in my previous post.

Check it yourself DH. I just edited my post. Therefore, the derivative rule that I used was not wrong.

The second derivative is: [math]\frac{e^{\frac{1}{x}}(-1+2x)}{x^4}[/math].

 

Now, Math89, I hope you can detect a pattern in the derivatives?

  • Author

thanks to every body who reply to me

 

but i know all this answer i can get 1'th derivative ,2'th derivative,3'th derivative....ect but i cant get the general formula of n'th derivative for this function

 

my greeting

thanks to every body who reply to me

 

but i know all this answer i can get 1'th derivative ,2'th derivative,3'th derivative....ect but i cant get the general formula of n'th derivative for this function

 

From that, you should see that each of these derivatives appears to be of the form

[math]\frac {d^n}{dx^n}\exp\left(\frac 1 x\right) = p_n\left(\frac 1 x\right) \exp\left(\frac 1 x\right)[/math]

where [math]p_n(u)[/math] is a polynominal. It is obviously true for [math]n=0\text{, as\ }p_0(u)\equiv 1[/math]. Use induction to show that the general form is valid and to determine an inductive form for [math]p_n(u)[/math].

  • 2 weeks later...
  • Author

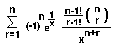
today i worked out this problem

 

and i get the general formula of n'th derivative for this function

 

the answer in the pic

 

thx to all

ex.PNG

  • Author

thanks dave

 

but i made a prove for this problem but i haven't time to write it now

Archived

This topic is now archived and is closed to further replies.

Important Information

We have placed cookies on your device to help make this website better. You can adjust your cookie settings, otherwise we'll assume you're okay to continue.

Account

Navigation

Search

Search

Configure browser push notifications

Chrome (Android)
  1. Tap the lock icon next to the address bar.
  2. Tap Permissions → Notifications.
  3. Adjust your preference.
Chrome (Desktop)
  1. Click the padlock icon in the address bar.
  2. Select Site settings.
  3. Find Notifications and adjust your preference.