Skip to content

how linseed oil reacts with rosin to replicate old varnishes

Featured Replies

I read two articles published in 2017 about how abietic acid in resins may react with oil acids in linseed oil to make varnish. Is anyone in this forum familiar with the chemical reactions and catalysts? Thank you.

It is nothing special. Abietic acid a resin acid is in rosin and linseed is only the solvent. After drying you get the varnish by polymerization of the terpene parts.

Edited by chenbeier

  • Author

I am so glad you answered. I want to add alizarin, C14H8O4, to this reaction (please see the suggested esterification by a 2017 article in Polymer Science) to provide color to the varnish. Is it possible because the end product seems neutral? What catalyst(s) should be added?

oil-abietic reaction.JPG

Alizarin make a color by adding of aluminium ions.

  • Author

There was a paper (w/o chemical reactions) published by Michelman long ago to incorporate Al into alizarin (Modified Michelman Recipe). In this article, he explained how metal rosinates are formed to produce color in a varnish. I penciled in the equations based on his explanations in the article :-)

The first reaction incorporates K2CO3 in abietic acid, C19H29COOH.

K2CO3 + C19H29COOH  = KHCO3 + C19H29COOK

In the next two reactions, he uses Al and Ca chlorides to react with abietic acid to form Al and Ca rosinates, but with an OH-bond attached to the molecule.

AlCl3 + KHCO3 + 2C19H29COOK = Al(OH)(C19H29COO)2 + 3KCl + CO2

CaCl2 + KHCO3 + C19H29COOK = Ca(OH)(C19H29COO) + 2KCl + CO2

The last two equations he combines alizarin with the metal rosinates above to create Ca and Al rosinate alizarates.   Here, C14H8O4 is alizarin, and in the reactions below alizarin loses one H-atom to be able to combine with Ca and Al rosinates. I speculated these equations.

Ca(OH)(C19H29COO) + C14H8O4 = Ca(C19H29COO)(C14H7O4) + H2O

Al(OH)(C19H29COO)2 + C14H8O4 = Al(C19H29COO)2(C14H7O4) + H2O

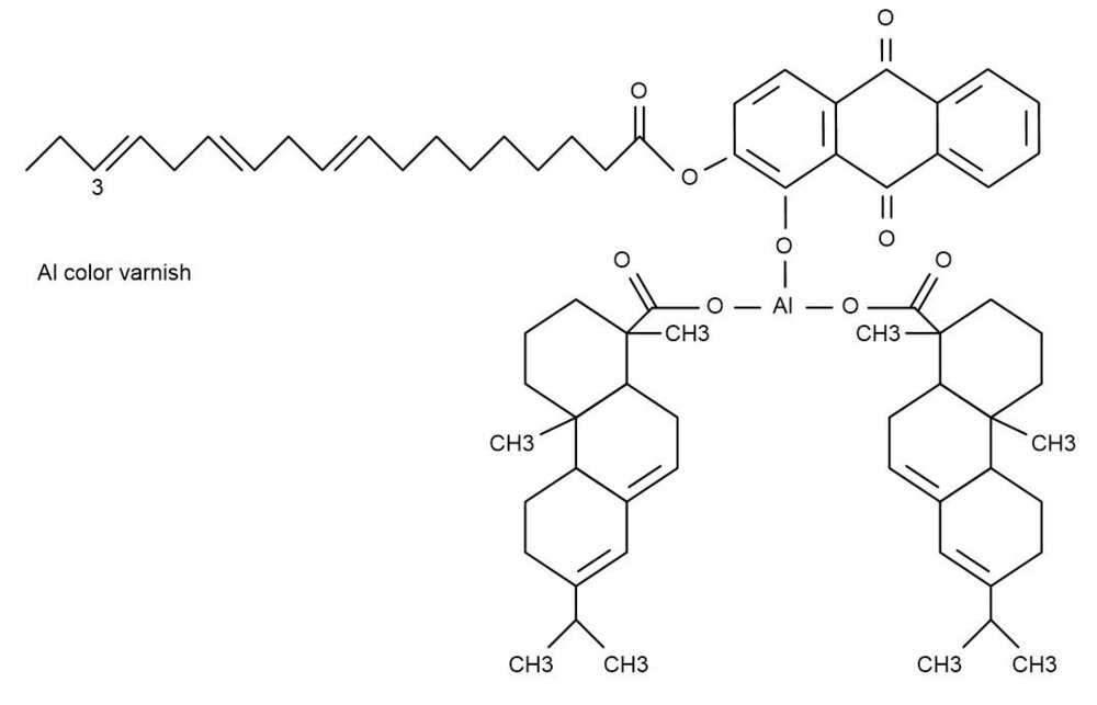
Now, my biggest issue here is to be able to incorporate oil with metal rosinate alizarates to produce a color varnish. And the question is how is this reaction going to take place? Will it happen between the OH-bond in an oil molecule pictured above (linoletic, oleic, linoetic, steridonic and stearic) and the H-atom of the "second OH-bond" in alizarin (the H-atom of the first OH-bond was used by the metal ion to form rosinate alizarate above)? Do I need any catalyst(s)?

I apologize for the closed formulations of these molecules above. I can rewrite these equations in open molecular form to send it to you if there is a difficulty. Take care.

  • Author

I am including the open formulas of the end products after each reaction below to be able to follow through reactions a bit better. I used linoletic acid and Al in formulations. Is the last molecule even possible? Any catalyst? Please let me know your thoughts.

Al hydrox abietate.JPG

alizarin.JPG

Al abietate alizarate.JPG

linoletic acid.JPG

varnish.JPG

Edited by windsurfingphd

Create an account or sign in to comment

Important Information

We have placed cookies on your device to help make this website better. You can adjust your cookie settings, otherwise we'll assume you're okay to continue.

Account

Navigation

Search

Search

Configure browser push notifications

Chrome (Android)
  1. Tap the lock icon next to the address bar.
  2. Tap Permissions → Notifications.
  3. Adjust your preference.
Chrome (Desktop)
  1. Click the padlock icon in the address bar.
  2. Select Site settings.
  3. Find Notifications and adjust your preference.