Skip to content

Collatz Conjecture

Featured Replies

I think the approach is brilliant and maybe simple enough to work. But I am still not convinced.

You take 2 to a power and multiply by Prime factors. I agree that you can build any number this way, but I don’t believe multiplying by 2 here is the same as dividing an even number by 2 in the conjecture. The order of operations.

And I cannot test this algorithm in a computer since we cannot factor the numbers in this series.

Again I’m probably wrong but this is not a linear series. My understanding is that you are building a pattern linearly and the conjecture is not a one-to-one function.

This is just my understanding but if you can prove your method does this I will buy multiple copies when you get it published.

  • Author
1 hour ago, Trurl said:

I think the approach is brilliant and maybe simple enough to work. But I am still not convinced.

You take 2 to a power and multiply by Prime factors. I agree that you can build any number this way, but I don’t believe multiplying by 2 here is the same as dividing an even number by 2 in the conjecture. The order of operations.

And I cannot test this algorithm in a computer since we cannot factor the numbers in this series.

Again I’m probably wrong but this is not a linear series. My understanding is that you are building a pattern linearly and the conjecture is not a one-to-one function.

This is just my understanding but if you can prove your method does this I will buy multiple copies when you get it published.

Where do you think i'm multiplying by a power of two?   I'm doing nothing of the sort, I'm representing any natural number as a product of primes then to a sum of a prime.  The iterative approach in conjunction with the inequality property of a prime plus 1 , is how I create a power of 2 number.

take the number \(15 \) and the number \(18 \) then
for \( 15 \):
\[  15 = 2^0 * 3*5 = \sum_{1}^{1*3}{5} = 5+5+5 \]
let \(w = 1*3 \)
then
\[   \sum_{1}^{1*3 }{5} + w = (1 + 1  + 1)  +5+5+5 =  (5+1) + (5+1) + (5+1) \]
Note:  each \( (5+1)  < 2*5 \)  therefore the all primes in \( 5+1 \) are less than \(5 \)

Notice the \(w \) is the result of the iterative approach to adding 1 to each prime, and is allowed via the conjectures wording.  "For any natural number  \( n \) there exists an \( i \) such that \( f^i (n)  = 1  \)"  .  basically there is an \(i\)th iteration of the piece wise defined collatz function such that  \( f^i( n) = 1 \)

\(18 \)is solved similarly.
for \(18\):
\[  18 = 2^1 * 3*3 = \sum_{1}^{2^1 * 3}{3} = 3+3+3+ 3+3+3 \]
let \(w = 2*3 \)
then
\[  \sum_{1}^{2^1 * 3}{3} = 3+3+3+ 3+3+3 + w = (1 + 1  + 1 + 1 + 1 + 1 )  +3+3+3 +3+3+3=  (3+1) + (3+1) + (3+1) + (3+1) + (3+1) + (3+1) \]
clearly each \( (3+1) < 2*3 \) and again therefore all primes in \( (3+1) \) are less than \(3 \)


What happened to me was this:  While looking at the problem and breaking it into products of primes for each iteration, I began to wonder what the effect of adding 1 was.    I made an intuitive leap to looking at what happens when I add 1 to a single prime,  and therein lay the answer to the whole conjecture.   the behavior of "adding 1 to a single prime" is embedded in the problem.  The iterative nature implies we can add any number of 1's , which means we can "fully saturate" a sum of a prime. The multiplication by 3 in the collatz conjecture is irrelevant to the behavior, in fact we can look at a generalization and find a general formula to the collatz function.
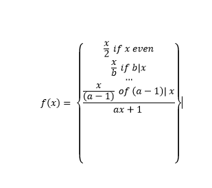
for any prime \(a)\ the general collatz is as follows

5b949bcfb865e_generalcollatz.PNG.0280b19c6c35b2238b16c11393eab6ad.PNG

Where \( b , c , ... ,(a-1) \)  are primes less than \(a\)  .  Note \(a-1 \) is not literally \( a -1 \),  it is the previous prime.
2 and 3 have a slightly special relationship as primes since they are right next to each other. So equations that do what the collatz does are simple to write,  primes further away result in a less simply defined "collatz" function.  

Edited by Zolar V

I think I have an understanding of what you are doing with factoring. You just want it in that form.

I would like to see an updated proof, since this thread has so many explanations.

This is the first time I saw this conjecture, so I hope some experts on this forum take interest.

The problem is worth working through. Right or wrong it is a fresh approach. Just because the conjecture is unsolved does not mean the idea isn’t valid.

 

  • Author
1 hour ago, Trurl said:

I think I have an understanding of what you are doing with factoring. You just want it in that form.

I would like to see an updated proof, since this thread has so many explanations.

This is the first time I saw this conjecture, so I hope some experts on this forum take interest.

The problem is worth working through. Right or wrong it is a fresh approach. Just because the conjecture is unsolved does not mean the idea isn’t valid.

 

I agree.  I really need to write the proof with the new information that has been garnered here.   That will have to wait since I am moving.   I really hope some experts take interest since I cannot find anything wrong with it.  The method seems right,  now I just have the daunting task of writing it well enough that other people can see what I see.   Thank you for your interest in the problem! 

Archived

This topic is now archived and is closed to further replies.

Important Information

We have placed cookies on your device to help make this website better. You can adjust your cookie settings, otherwise we'll assume you're okay to continue.

Account

Navigation

Search

Search

Configure browser push notifications

Chrome (Android)
  1. Tap the lock icon next to the address bar.
  2. Tap Permissions → Notifications.
  3. Adjust your preference.
Chrome (Desktop)
  1. Click the padlock icon in the address bar.
  2. Select Site settings.
  3. Find Notifications and adjust your preference.