Skip to content

NOISE PROBLEM

Featured Replies

A room (8 m X 6 m X 4 m (height)) with hard sound reflecting surfaces is to be decorated for meeting purpose. The reverberation time is measured and found to be 3 seconds in a particular octave band. Calculate how much extra sound absorption must be provided to reduce the reverberation time to 0.8 s, that is suitable for speech and discussion. Assume that a carpet is added on the entire floor with the value of  absorption coefficient = 0.2 in the same band and sound absorbing panels are added to cover areas of the wall and ceiling with the value of  absorption coefficient= 0.4. What is the area for these panels required? You may assume that the absorption coefficient of the hard sound reflective surfaces is negligible and other settings (e.g., equipment and furniture) inside the room is the same.

 

My work:

for the first part:

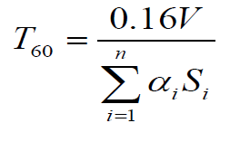
Calculate how much extra sound absorption must be provided to reduce the reverberation time to 0.8 s,

since by the following equation

image.png.de6f28a0356e5f4a5ec15d1bbc5e33f4.png 

for T=3, aisi=10.24 m2 sabins

and for 0.8s , aisi=38.4 , 

so the extra sound absorption is 38.4-10.24 =28.16 m2 sabins (Is that correct??????any missing data I didnt use???)

 

for the area for these panels required? (my work is as follows)

(0.4*(8*4*2)+(6*4*2))+(0.2*6*8)+(0.2*8*6)=73.6 m2 

The answer of this question is 59.7 m2 , can someone point out my mistake????

The answer of this question is 59.7 m2 , can someone point out my mistake????

 

Well I would start by checking my arithmetic.

1 hour ago, HELLONOISE said:

(0.4*(8*4*2)+(6*4*2))+(0.2*6*8)+(0.2*8*6)=73.6 m2 

This comes to 64m2 not 73.6m2, but then I do get 73.6m2 if I put the correct values of the absorbtion coefficient in for the ceiling so perhaps you copied your work incorrectly?

I have underlined that part.

 

However 73.6m2 is what happens if you cover the entire wall and ceiling area with the stated absorbtion coefficient as well as carpeting the floor. Put that into your Sabine equation and you will find that it does not yield the correct reverb time.

 

Do you know how to go about reducing the treated area to get that?

Hint your carpet area if fixed so what happens to RT if you take it out the the running?

What treated area do you then need to finish the job?

For any one else interested I make the value of 59.4 the solution to the following equation which needs to be formed and solved.

 

Let X be the number of m2 of panels attached to walls and ceiling.

 

Then (0.2 * 48) + (0.4 * X) + (0.05 * (160-X)) = 38.4

 

I have rounded the factor of 0.05 I anticipate using a more accurate value would yield the required answer of  X = 59.7

Edited by studiot

You worked so hard at this I thought you had a genuine interest in the subject, so I am surprised you made no comment when you looked in again on Sunday, after I posted help.

 

There is much to be learned from (successfully) completing this problem.

Archived

This topic is now archived and is closed to further replies.

Important Information

We have placed cookies on your device to help make this website better. You can adjust your cookie settings, otherwise we'll assume you're okay to continue.

Account

Navigation

Search

Search

Configure browser push notifications

Chrome (Android)
  1. Tap the lock icon next to the address bar.
  2. Tap Permissions → Notifications.
  3. Adjust your preference.
Chrome (Desktop)
  1. Click the padlock icon in the address bar.
  2. Select Site settings.
  3. Find Notifications and adjust your preference.