Jump to content

The cost of Rejuvenation

Featured Replies

What will be the economical cost to have your ex-wife (or husband) having one year more than you do? If you where the same age...

 

Im beginning calculation right mow, it may take some time :)

The VASIMR Rocket: (https://en.wikipedia.org/wiki/Variable_Specific_Impulse_Magnetoplasma_Rocket)

Results presented in January 2011 confirmed that the design point for optimal efficiency on the VX-200 is 50 km/s exhaust velocity, or an Isp of 5000 s

VASIMR_test.jpg

VASIMR_system.jpg

****************************************************************************************************

For now Im taking the relativistic equation: image.png.5c9bc43250bd71635fd02cca371a5d0a.png As a basis for calculation.

This equation come from: 

image.thumb.png.e8b4eac6f2d02b3bc12955726c27dd4c.png

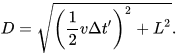
In the frame in which the clock is at rest (diagram on the left), the light pulse traces out a path of length 2L and the period of the clock is 2L divided by the speed of light:

image.png.6ffeb0296ec2e80181be7acd0ae7446f.png 

From the frame of reference of a moving observer traveling at the speed v relative to the resting frame of the clock (diagram at right), the light pulse is seen as tracing out a longer, angled path. Keeping the speed of light constant for all inertial observers, requires a lengthening of the period of this clock from the moving observer's perspective. That is to say, in a frame moving relative to the local clock, this clock will appear to be running more slowly. Straightforward application of the Pythagorean theorem leads to the well-known prediction of special relativity:

The total time for the light pulse to trace its path is given by

image.png.e93af4c02037905e7a074f370740373e.png

The length of the half path can be calculated as a function of known quantities as

image.png.ae259e997028c2aa296db9cc6cc78dc4.png

Elimination of the variables D and L from these three equations results in the relativistic equation first mentioned. 

 

*********************************************************************************************************

The rocket equation: https://en.wikipedia.org/wiki/Tsiolkovsky_rocket_equation

image.png.90bab7029c1eca8eebc803e0812813ed.png

where: image.png.1fcb2793b60b06c724c024fc312a231c.png g0 = 9.8 m/s² and Isp = 5000 second, first assumption for the VASIMR

m0 = Initial mass and mf = final mass

*********************************************************************************************************

Edited by MaximThibodeau

  • Author

With a spacecraft of 13 500 kg with food and water, and a engine of mass 3000 kg: we could in theory achieve 1 second every 2 years, so 1 minute is achievable in lifetime :(

Just now, swansont said:

What does the rocket have to do with the relativity derivation?

Its to put relativity in context, in a funny learning experience.

15 minutes ago, MaximThibodeau said:

 Its to put relativity in context, in a funny learning experience.

!

Moderator Note

This is a place to have discussions and ask questions. It's not a blog. 

 
  • Author
2 minutes ago, swansont said:

This is a place to have discussions and ask questions. It's not a blog.

 Let have a discussion, how to improve this concept, by increasing the results ?

 

Archived

This topic is now archived and is closed to further replies.

Important Information

We have placed cookies on your device to help make this website better. You can adjust your cookie settings, otherwise we'll assume you're okay to continue.

Configure browser push notifications

Chrome (Android)
  1. Tap the lock icon next to the address bar.
  2. Tap Permissions → Notifications.
  3. Adjust your preference.
Chrome (Desktop)
  1. Click the padlock icon in the address bar.
  2. Select Site settings.
  3. Find Notifications and adjust your preference.