Skip to content

Limit of Gamma Functions product

Featured Replies

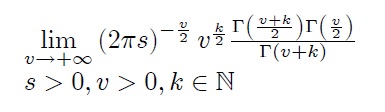
Can anyone help me to find this limit? See the attached picture.

 

Thank you.

post-58095-0-16267000-1343960870_thumb.png

I guess you can just apply the Stirling formula listed below to get the desired result.

 

[Remember that x!=Gamma(x+1)]

 

 

22737c8953735c3481c51a2debae2351.png

  • Author

So, the application of this approximation to the Gamma function is independent of the number set that the argument of Gamma belongs to? i.e. wether the argument is natural or real number etc

 

Thank you!!!

I guess you can just apply the Stirling formula listed below to get the desired result.

 

[Remember that x!=Gamma(x+1)]

 

 

22737c8953735c3481c51a2debae2351.png

I don't think it has a wel defined limit. For large v, it will grow like v! (that is a factorial, not an exclamation).

 

Edit: Ack! I take that back. I missed the s^(-v/2) at the front, which is exponential decay. The exponential trumps the factorial, so I think the limit is 0.

 

Edit 2: Err... no, I think factorial trumps exponential, so now I am back to thinking it is infinite. Let's just check with mathematica..... and yes indeed it is infinite.

Edited by Severian

I found that the result depends on the value of s.

 

1. For 0<s<1, the result is infinity.

 

2. For s>1, the result is 0.

 

I found that the result depends on the value of s.

 

1. For 0<s<1, the result is infinity.

 

2. For s>1, the result is 0.

 

 

If s=1, the result is also 0.

  • Author

Thank you all for your help!

So according to your comments, I sum up:

see the attached picture.

post-58095-0-93130500-1344175210_thumb.jpg

  • Author

A Correction: After the 5th line (at the previous picture), replace v->+infinity with y->+infinity

Thank you all for your help!

So according to your comments, I sum up:

see the attached picture.

Archived

This topic is now archived and is closed to further replies.

Important Information

We have placed cookies on your device to help make this website better. You can adjust your cookie settings, otherwise we'll assume you're okay to continue.

Account

Navigation

Search

Search

Configure browser push notifications

Chrome (Android)
  1. Tap the lock icon next to the address bar.
  2. Tap Permissions → Notifications.
  3. Adjust your preference.
Chrome (Desktop)
  1. Click the padlock icon in the address bar.
  2. Select Site settings.
  3. Find Notifications and adjust your preference.