Skip to content

What can only be seen when no one is looking?

Featured Replies

I am going to try this again.

 

The first postulate of relativity requires that all physical laws must be the same in all inertial reference frames.

 

The second postulate follows directly from the first and requires that the speed of light must be the same in all reference frames.

 

Instead of using this drawing for X=0 to derive a transformation:

 

post-22129-0-22708200-1297917573_thumb.gif

post-22129-0-51965600-1297918291_thumb.gif

post-22129-0-77159300-1297917580_thumb.gif

 

We will instead use this drawing, and derive a general equation for all of 3-space. (note: Z co-ordinate is not shown here. The end equation is only x dependent.)

 

post-22129-0-74597700-1297917647_thumb.gif

 

post-22129-0-56799900-1298039405_thumb.gif

 

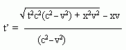
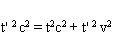
Solve for X=0, you get the same result. However, substitute for t^2C^2 = x^2+y^2+z^2 and you get,

 

post-22129-0-10751300-1298039416_thumb.gif

 

Drop the Z co-ordinate and use the Z axis to plot t' vs. (x,y) for all of 3-space, except the z axis of course.

 

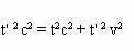
Then consider that c=d'/t', and so you can substitute t' = d'/c, in the equation, then solve for d'.

 

post-22129-0-45370100-1298734203_thumb.gif

 

light cones for a reference frame moving at relativistic velocity.

 

 

Multiply the resulting equation times the expression for the curve of an extra dimensional potential well, of the form y = 1/sqrt(x^2+z^2+w^2) but drop the w co-ordinate to do a 3D plot of y vs. (x,z).

 

Now, let's do some addition of some displaced potential wells in the form of y = 1/sqrt(x^2+z^2) and y = -1/sqrt(x^2+z^2). Plot both like and opposite potential wells.

 

If you use gnuplot, you can get some nice plots.

 

Now compare the shape of the displaced potential wells under addition and the plot we did for d' multiplied times the expression for a potential well.

 

After you do that, consider that these loosely represent electric potential wells, and take a look at the chirality about the extra dimensional axis, of the magnetic fields that would be generated by the motion of the potential wells, reacting to their respective polarities.

 

Opposite wells have opposite chirality in 3-space, but if you look closely, they have the identical chirality about their extra dimensional axis. Motion of positive charges and negative charges in the same direction result in opposite magnetic fields, but only because the potential wells have opposite orientation in the extra dimension. Both positive charges and negative charges have the same chiral "rotation" in the extra- dimension.

 

Now look at the geometric distortion caused by adding displaced potential wells, and also the geometric distortion due to relative motion, on the orientation of the axis of "rotation". You will notice that to keep the axis centered on the well, the axis must tip out of vertical. Dependent on the direction of motion.

 

Now let us postulate that E-M is a 6D phenomenon. Potential wells in 6D are stablized and quantized, by a rotation in 4D and 5D. Addition of displaced potential wells, or relative motion, result in a tipping of the axis of rotation so that the rotation in 4D and 5D is partialy experienced in 3D chiral about the velocity vector.

 

Such a structure would be bounded in dimensions 4,5, and 6, but unbounded in the familiar 3D.

 

This of course requires a 6D manifold, and an explanation of how we get our 4D manifold in the end.

 

There is a very simple geometric explanation for that. Within the context of that explanation, the same thing that is causing the spin that quantizes charged particles is also quantizing photons. It is also causing gravity. It is a very simple inherent dynamic-geometric component of space-time everywhere.

 

This also suggests an explanation for the results of slit type experiments.

 

Slits may disrupt the rotation and so disrupt the quantum bundling, causing wave like behaviour exiting the slit, but once away from the slit the bundling is re-established.

Edited by ponderer

Archived

This topic is now archived and is closed to further replies.

Important Information

We have placed cookies on your device to help make this website better. You can adjust your cookie settings, otherwise we'll assume you're okay to continue.

Account

Navigation

Search

Search

Configure browser push notifications

Chrome (Android)
  1. Tap the lock icon next to the address bar.
  2. Tap Permissions → Notifications.
  3. Adjust your preference.
Chrome (Desktop)
  1. Click the padlock icon in the address bar.
  2. Select Site settings.
  3. Find Notifications and adjust your preference.