Skip to content

Exact differential equation

Featured Replies

Solve e^(xy)(ycosx-sinx)+xe^(xy)cosxdy/dx=0

 

I've checked this is exact and found that

H(x,y)=e^(xy)(y^2cosy-cosy)/(1+y^2)+y^2/(1+y^2)C(y)

 

As the answer is simply e^(xy)cosx=C,

I guess I made a mistake before differentiating H(x,y) to get C(y)

 

What's wrong with my H(x,y)?

What method are you using to solve this equation?

 

using the Intergrating Factor method I get a differnt answer but I may be reading it wrong:

 

e(xy)(ycos(x)-sin(x))+xe(xy)cos(x)dy/dx=0

:S how do you get that H(x,y)?

e^(xy)(ycosx-sinx)+xe^(xy)cosxdy/dx=0

 

Well first of all I see no point in trying to develop exact methods for non-linear ODE's or PDE's when you can get as close as you want to any solution using numerical methods. But I did find exact equations in Boyce.

 

Is it not clear that

 

dy/dx=[-e^(xy)(ycosx-sinx)]/[xe^(xy)cosx]

 

dy/dx=[sinx-ycosx]/[xcosx]=(tanx-y)/x

 

I don't see where this amenable to any of the methods associated with exact equations. You might be able to use the implicit function theorem to get.

 

dy/dx=(-F[x]/F[y])=(tanx-y)/x

 

This yields

 

F[x]=(y-tanx)

F[y]=x

 

If I integrate each of these with respect to their variable I get:

 

integrating F[x] by x -> F=yx-int(tanx)dx

 

'note the integral of the tangent is not an elementary function it is an infinite series'

 

integrating F[y] by y->F=yx.

 

Not knowing where you got this equation I won't assume but if your limits of integration cause int(tanx)dx to vanish you could replace the function you quoted with F(x,y) = xy+C. That means that you would integrate on limits that are always [MATH]k\pi$[/MATH] apart.\

 

Ok, well wait a minute lets abck track and look at this.

 

dy/dx=(tanx-y)/x

y+xdy/dx=tanx

 

I think you could get a power series solution here. Assume

 

[MATH]y=\sum_{i=0}^{infinity}C_ix^i[/MATH]

 

Then

 

[MATH]xdy/dx=\sum_{i=0}^{infinity}iC_ix^i[/MATH]

 

Giving

 

[MATH]\sum_{i=0}^{infinity}C_ix^i + \sum_{i=0}^{infinity}iC_ix^i=tanx[/MATH]

 

A little simplifying and

 

[MATH]\sum_{i=0}^{infinity}C_i(1+i)x^i=tanx[/MATH]

 

Now find a suitable power series representation for tanx (taylor series comes to mind) and equate coefficients.

  • Author

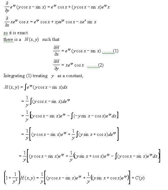
this is the exe under the title exact diff eqt

so i just follow what i've learn

30c.JPG

this is the exe under the title exact diff eqt

so i just follow what i've learn

Well if you had the damn solution all along then why post here? If oyu had said it was a challenge people would have still responded. Anyways, I am not going to spend alot of time looking over what you have there I just did an analysis of the original equation which can be simplified very easily. So what exactly was your point? To try to show us all the new tool you have in your toolbox?

 

Not too mention the fact that when you integrate 2 holding x constant you have to get the same function. What text did you get that equation from? Cuz I'm not here to waste time trying to make you feel like a mathematician. There are several steps in your derivation that are not obvious. Like how did your differential suddenly become de^(xy) and then in the next step you are back to something in dx. You cannot assume that the integrand was constant with change in e^xy. Show me some credentials or a text reference and I will take you seriously.

  • Author

insight of ElijahJones's simplication

i solved it using integrating factor, but this seems not my question's aim

30csol.GIF

  • Author
Well if you had the damn solution all along then why post here? If oyu had said it was a challenge people would have still responded. Anyways, I am not going to spend alot of time looking over what you have there I just did an analysis of the original equation which can be simplified very easily. So what exactly was your point? To try to shows us all the new tool you have in your toolbox? Not too mention the fact that when you integrate 2 holding x constant you have to get the same function. What text did you get that equation from?

 

my point is my H(x,y) is not the solution and I want to ask where did I made mistake

my point is my H(x,y) is not the solution and I want to ask where did I made mistake

 

Dude you are'nt even doing calculus one things right in that. Look at what I did down there. The real deal here surrounds two questions.

 

1) Have you actually had a course in ordinary differentail equations?

 

2) Where did you come up with this equation.

 

 

If you want my reference text it is Stewart, "Calculus 3rd Edition" and Boyce and Deprima "Elementary Differential Equations and Boundary Value Problems, 5th Edition".

 

What you are doing with those differentials and the integrating factor suggests you do not know what you are doing to me anyways. Changing differentials mid stream requires calculations like this ds^2=dy^2+dx^2. thats how you get the differential for finding the length of a curve in the plane.

 

Now if you want me to take you seriously give me some information about your training in math.

Archived

This topic is now archived and is closed to further replies.

Important Information

We have placed cookies on your device to help make this website better. You can adjust your cookie settings, otherwise we'll assume you're okay to continue.

Account

Navigation

Search

Search

Configure browser push notifications

Chrome (Android)
  1. Tap the lock icon next to the address bar.
  2. Tap Permissions → Notifications.
  3. Adjust your preference.
Chrome (Desktop)
  1. Click the padlock icon in the address bar.
  2. Select Site settings.
  3. Find Notifications and adjust your preference.