Jump to content

13C-NMR with 31P-coupling

Featured Replies

Hello, I am the first time confronted with a 13C-NMR, in which a coupling between the 13C and 31-P cores takes place.
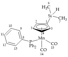
I am very unsure about the signal assignment in the molecule present in the appendix. I have assigned the signals so that the coupling becomes smaller at a greater distance from the 31P core.

My "Assignment":

13C NMR (101 MHz, CDCl3): δ (ppm) = 232.64 (d, J = 25.2 Hz, C (14.15)), 138.32 (d, J = 40.3 Hz, C (8)), 133.07 (i.e. , J = 9.9Hz, C (9.13)), 129.59 (C (10.12)), 128.23 (d, J = 8.9Hz, 3.4)), 87.57 (C (2.5)), 80.98 (C (1)), -3.10 (C (6.7)).


However, I 'm very unsure about the assignment of the 13C signals of the cyclopentadienyl ring.
I would like to understand the correct assignment correctly.

I am very grateful for any help :)

best regards

Sonja :)

molecule.jpg

In my experience with linear phosphonates (no metal ion was present), the three-bond coupling constants are often larger than the two-bond coupling constants.  I don't know enough about phosphines or the cyclopentadienyl system to have any expectation one way or another.

Edited by BabcockHall

Archived

This topic is now archived and is closed to further replies.

Important Information

We have placed cookies on your device to help make this website better. You can adjust your cookie settings, otherwise we'll assume you're okay to continue.

Configure browser push notifications

Chrome (Android)
  1. Tap the lock icon next to the address bar.
  2. Tap Permissions → Notifications.
  3. Adjust your preference.
Chrome (Desktop)
  1. Click the padlock icon in the address bar.
  2. Select Site settings.
  3. Find Notifications and adjust your preference.