Jump to content

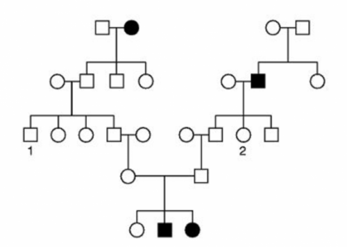
What is the most likely way for the inheritance feature?

Featured Replies

What is the most likely way for the inheritance feature? (from google translate)


In other words what is the type/kind of inheritance that the below image shows? Is it autosomal? Is it X linked? Is it Y linked? Is it cytoplasmic? Is it dominance? Is it recessive?


Also what is the probability/chance that the son of couple 1 and 2 will be mutant if (in case that) they are going to be married?


post-118584-0-73473400-1467645399_thumb.


I am newbie/novice in genetics and my lecturer/teacher didn't upload solution and/or answer to these two questions on the moodle, so I can't check and know if I solved and answered these two questions correctly or not, and I want to be prepared to pass my test in the next few days.


post-118584-0-47326200-1467647818_thumb.


Also I read that there are two parents that are deaf, but their four children are not. Why? How this happened?



Any help will be appreciated!


Archived

This topic is now archived and is closed to further replies.

Important Information

We have placed cookies on your device to help make this website better. You can adjust your cookie settings, otherwise we'll assume you're okay to continue.

Configure browser push notifications

Chrome (Android)
  1. Tap the lock icon next to the address bar.
  2. Tap Permissions → Notifications.
  3. Adjust your preference.
Chrome (Desktop)
  1. Click the padlock icon in the address bar.
  2. Select Site settings.
  3. Find Notifications and adjust your preference.