Skip to content

Multistep continued

Featured Replies

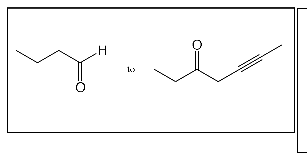
Hey guys! Stuck on another one. See the image below. This one can also occur in only five steps.

 

 

My thoughts:

I turned the aldehyde into a secondary alcohol by adding a grignard reagent (I'm not quite sure which grignard I should be adding here), then I oxidize turning the secondary alcohol into a ketone. This is where I get stuck because I want the double bonded oxygen to move over a carbon, how do I do that? And how can I add the alkyne again in regards to this problem?

 

Any help or input would be appreciated! Thank you so much!!

post-117321-0-69271600-1462766881_thumb.png

Archived

This topic is now archived and is closed to further replies.

Important Information

We have placed cookies on your device to help make this website better. You can adjust your cookie settings, otherwise we'll assume you're okay to continue.

Account

Navigation

Search

Search

Configure browser push notifications

Chrome (Android)
  1. Tap the lock icon next to the address bar.
  2. Tap Permissions → Notifications.
  3. Adjust your preference.
Chrome (Desktop)
  1. Click the padlock icon in the address bar.
  2. Select Site settings.
  3. Find Notifications and adjust your preference.