Skip to content

Angular velocity

Featured Replies

Could someone please help me with the problem set?

Imagine that light did not have a constant speed, but behaved in the manner expected from experience. Namely, if the source of the light is rushing toward you, the light will approach you faster; if the source is rushing away from you, the light will approach you slower. This is incorrect, of course, but it's worth investigating the consequences of a non-constant speed of light because the failure to observe those consequences is evidence that the speed of light is constant. With that backdrop, consider a binary star system situated a very large distance L from Earth. Let the angular velocity of the smaller star be ω, as it orbits the larger star in a circle of radius r.

What value of ω=v/r will result in the light emitted when the smaller star is traveling directly away from Earth reaching us at the same moment as the light emitted later, when the smaller star's orbit has it moving directly toward earth? (choose one)

a) ω=(c/r)*sqrt((πr)/(2L+2πr))
b) ω=(c/r)*((πr)/(2L+πr))
c) ω=(c/r)*sqrt((πr)/(2L+πr))
I think that the time it takes for the light emitted from the smaller star when it is traveling directly away from Earth is equal to the time it takes for the light emitted later plus the time it takes to complete half an orbit. So:
t1 = t2 + t3
L/(c-v) = L/(c+v) + pi*r/v
How can I get the answer from this? Thank you for your help.

Could someone please help me with the problem set?

Imagine that light did not have a constant speed, but behaved in the manner expected from experience. Namely, if the source of the light is rushing toward you, the light will approach you faster; if the source is rushing away from you, the light will approach you slower. This is incorrect, of course, but it's worth investigating the consequences of a non-constant speed of light because the failure to observe those consequences is evidence that the speed of light is constant. With that backdrop, consider a binary star system situated a very large distance L from Earth. Let the angular velocity of the smaller star be ω, as it orbits the larger star in a circle of radius r.

What value of ω=v/r will result in the light emitted when the smaller star is traveling directly away from Earth reaching us at the same moment as the light emitted later, when the smaller star's orbit has it moving directly toward earth? (choose one)

a) ω=(c/r)*sqrt((πr)/(2L+2πr))

b) ω=(c/r)*((πr)/(2L+πr))

c) ω=(c/r)*sqrt((πr)/(2L+πr))

 

I think that the time it takes for the light emitted from the smaller star when it is traveling directly away from Earth is equal to the time it takes for the light emitted later plus the time it takes to complete half an orbit. So:

t1 = t2 + t3

L/(c-v) = L/(c+v) + pi*r/v

 

How can I get the answer from this? Thank you for your help.

To be honest from a quick scribble I do not get any of the above (\edit yes I do I think - will write out nicely to check) - I will have to check my workings. Regarding your equation L/(c-v) = L/(c+v) + pi*r/v remember the following

 

Theta = omega x time ie [Rads] = [Rads/sec] x [sec]

 

So Time = Theta / omega You are after an equation based on omega - do not reintroduce v the tangential velocity as your final term

 

 

ie L/(c-v) = L/(c+v) + pi/w.

 

 

And we also know from the meaning of omega that v_tangential = w.r so replace your use of v-tangential with w.r

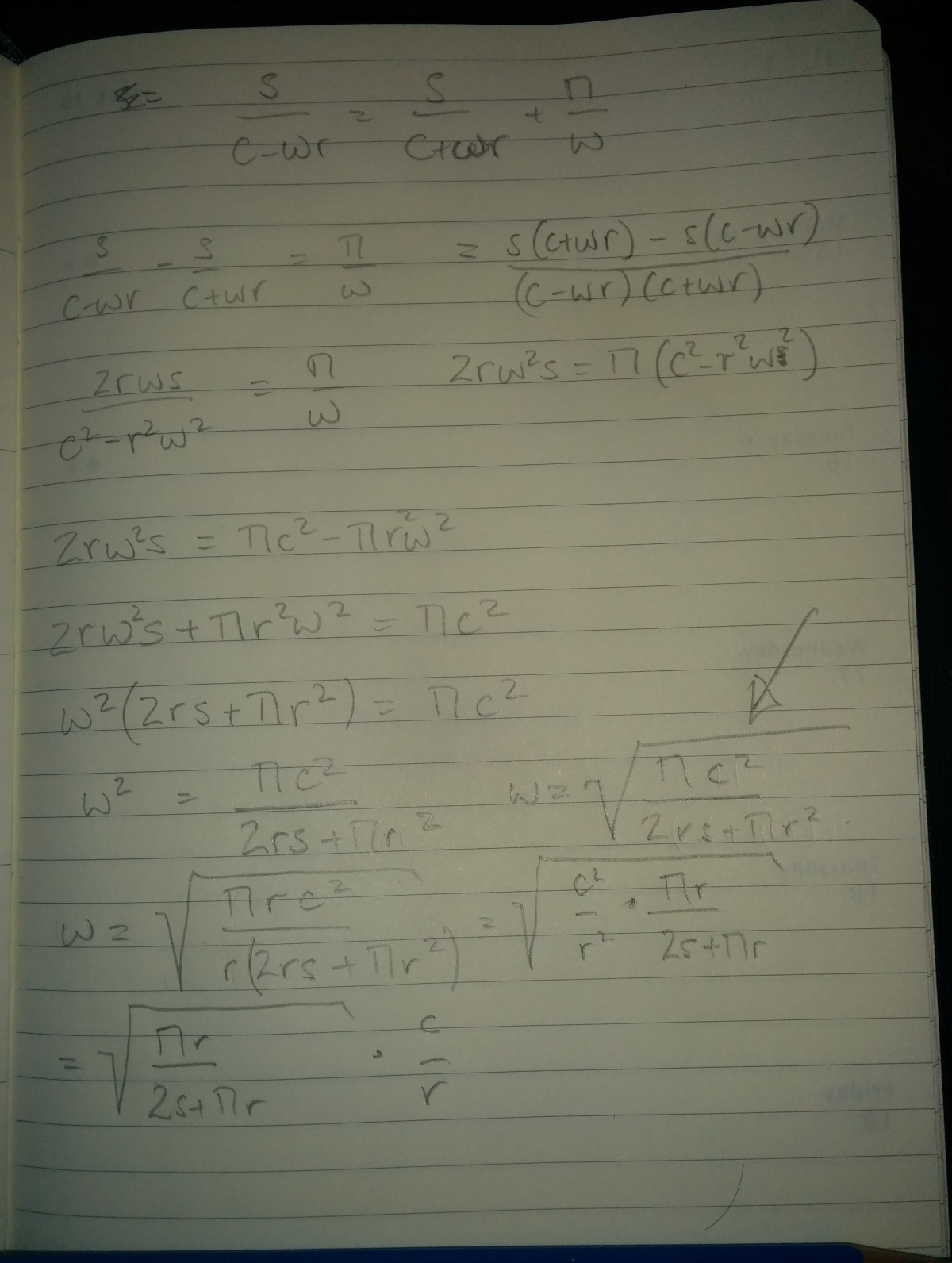
to give L/(c-wr) = L/(c+wr) + pi/w

 

 

Solve for omega

 

Here with my idea

 

I would probably stopped where I have marked with arrow

post-32514-0-09751000-1397129342_thumb.jpg

 

 

 

 

And for some reason I have used s rather than L - subconsciously I probably didnt like L as length; L should be Angular Momentum and s is displacement

Edited by imatfaal
rethink

  • 4 weeks later...

 

 

I think that the time it takes for the light emitted from the smaller star when it is traveling directly away from Earth is equal to the time it takes for the light emitted later plus the time it takes to complete half an orbit. So:

t1 = t2 + t3

L/(c-v) = L/(c+v) + pi*r/v

 

That is indeed the right way to put it. All you need to do now is solve for v. Once you do that, remember that v=wr so use that in the equation that you solved for v so now you´ll have your answer in terms of w and r, which is the way the options are presented in the problem.

Archived

This topic is now archived and is closed to further replies.

Important Information

We have placed cookies on your device to help make this website better. You can adjust your cookie settings, otherwise we'll assume you're okay to continue.

Account

Navigation

Search

Search

Configure browser push notifications

Chrome (Android)
  1. Tap the lock icon next to the address bar.
  2. Tap Permissions → Notifications.
  3. Adjust your preference.
Chrome (Desktop)
  1. Click the padlock icon in the address bar.
  2. Select Site settings.
  3. Find Notifications and adjust your preference.