Jump to content

Heat equation 1D Matlab (semi-discretization)

Featured Replies

Hi,

Can someone help me please?

 

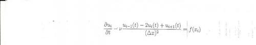
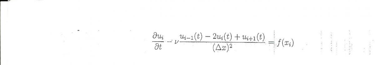
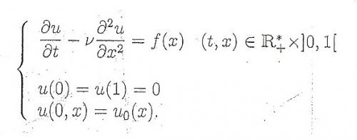
I want to program the heat equation with semi-discretization.

 

 

Thank you very much.

 

post-104028-0-40199300-1394062508_thumb.jpg

post-104028-0-56124300-1394062519_thumb.jpg

Archived

This topic is now archived and is closed to further replies.

Important Information

We have placed cookies on your device to help make this website better. You can adjust your cookie settings, otherwise we'll assume you're okay to continue.

Configure browser push notifications

Chrome (Android)
  1. Tap the lock icon next to the address bar.
  2. Tap Permissions → Notifications.
  3. Adjust your preference.
Chrome (Desktop)
  1. Click the padlock icon in the address bar.
  2. Select Site settings.
  3. Find Notifications and adjust your preference.