Skip to content

Derivates of Imidazolium and Benzimidazolium carbamate salts

Featured Replies

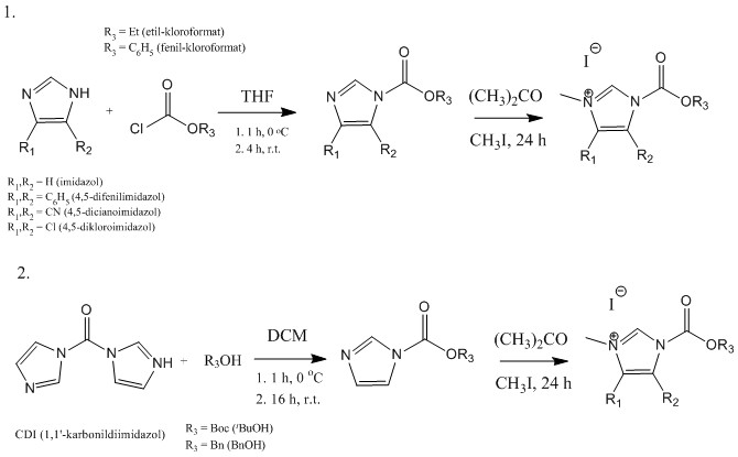
Hey guys, I am working on a project which contains synthensis of compounds on pictre, and I have huge trouble in quaternization od imidazole and benzimidazole rings, so I was wondering if maybe some of you have experience in that part od organic synthesis? I need a good condition for quaternization. I have tried with MeI in acetone for 24 hours in dark and it doesent seem to be working :S

post-82311-0-57344400-1354290650_thumb.jpg

Archived

This topic is now archived and is closed to further replies.

Important Information

We have placed cookies on your device to help make this website better. You can adjust your cookie settings, otherwise we'll assume you're okay to continue.

Account

Navigation

Search

Search

Configure browser push notifications

Chrome (Android)
  1. Tap the lock icon next to the address bar.
  2. Tap Permissions → Notifications.
  3. Adjust your preference.
Chrome (Desktop)
  1. Click the padlock icon in the address bar.
  2. Select Site settings.
  3. Find Notifications and adjust your preference.