Skip to content

IMPORTANT what should be my first guess?

Featured Replies

Im planning to solve the following problem with trial and error in c++

 

 

find the minimum value of the following function .

 

d80db253633fc9f1c4de40b9991dfba1-1.png

 

 

"yi" and "xi" are the result of a complicated analysis on my lab data and I need to find a,b,c in a way that COST(a,b,c) function to be minimum.

 

 

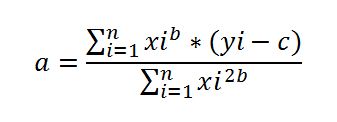
after solving this equation by calculating the partial derivatives and force them to be equal to ZERO we obtain the attached equations for a b c.

 

 

 

post-68256-0-87188700-1329942405_thumb.jpg

 

post-68256-0-43150100-1329942415_thumb.jpg

 

post-68256-0-51899300-1329942420_thumb.jpg

 

 

as you can see we have to use the trial and error method to solve this problem for a b c

 

the problem is the first guess of a b c. based on the first guess the answer changes and usually goes to infinity !!!

 

Im asking you to help me to find the proper first guess.

 

Ive attached a set of sample xi yi data to the post too. data_file.txt

 

just in case I attach the c++ class I have programmed to this post too. PowerRegression.zip

 

.

Archived

This topic is now archived and is closed to further replies.

Important Information

We have placed cookies on your device to help make this website better. You can adjust your cookie settings, otherwise we'll assume you're okay to continue.

Account

Navigation

Search

Search

Configure browser push notifications

Chrome (Android)
  1. Tap the lock icon next to the address bar.
  2. Tap Permissions → Notifications.
  3. Adjust your preference.
Chrome (Desktop)
  1. Click the padlock icon in the address bar.
  2. Select Site settings.
  3. Find Notifications and adjust your preference.