Skip to content

Is this equation always verified?

Featured Replies

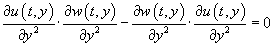
Please, could you help me on finding if the attached equation is always verified?

 

Thank you!

equation.gif

Please, could you help me on finding if the attached equation is always verified?
Then the equation you posted is correct, and this can be verified by simply adding [math]\frac{\partial w(t,y)}{\partial y^2}\cdot\frac{\partial u(t,y)}{\partial y^2}[/math] to both sides of the equation you posted.

Archived

This topic is now archived and is closed to further replies.

Important Information

We have placed cookies on your device to help make this website better. You can adjust your cookie settings, otherwise we'll assume you're okay to continue.

Account

Navigation

Search

Search

Configure browser push notifications

Chrome (Android)
  1. Tap the lock icon next to the address bar.
  2. Tap Permissions → Notifications.
  3. Adjust your preference.
Chrome (Desktop)
  1. Click the padlock icon in the address bar.
  2. Select Site settings.
  3. Find Notifications and adjust your preference.